Showing 120 of 120on this page. Filters & sort apply to loaded results; URL updates for sharing.120 of 120 on this page
Answers to Math Exercises & Math Problems: Inverse Matrix
Matrix math - Hopflat
Navigating the World of Matrix Math Problems
Matrix Multiplication Worksheets - Math Monks
6 Solved Problems to Compute the Matrix - Exam 3 | MATH 204 - Docsity
Exploring Matrix Math Problems: Concepts and Applications
Problem difficulty matrix | Download Table
Learn to Multiply Matrices (Matrix Math) - [3] - Matrix Algebra - Math ...
Matrix Math - 4 Reasons Why Students Struggle with Math As fascinating ...
Matrix Math - Here are the signs They may find it hard to: • Estimate ...
Matrix math question : r/StructuralEngineering
Matrix Math - If maths bores your kid, we have the solution at Matrix ...
Matrix Math - At Matrix Math, our students love a challenge. Some just ...
Understanding the Importance Difficulty Matrix | Design Thinking
Problems With A Matrix Structure at Jesse Jonsson blog
Math Exercises & Math Problems: Matrices
Determinant Of 3x3 Matrix Practice Problems With Answers | ChiliMath
Problems on Matrix Multiplication | Multiply Two Matrices
Problems 4-matrices - Matrices - 4 Problems for Matrix Algebra Problem ...
Matrix practice problems. matrices addition, subtraction and ...
Matrix Review Problems | PDF
Matrix Problems | PDF
Matrices Math
Matrices Exercises and Solutions | Learning mathematics, Matrices math ...
Matrices | Study.com ACT& Math Test Prep - Lesson | Study.com
Exercise 1.1 : Rank of a Matrix - Problem Questions with Answer, Solution
Problems on Understanding Matrices | Order of a Matrix | Position of
Problems on Understanding Matrices | Matrix Problems and Solutions ...
Matrices Worksheet, problems with basic matrix operations Algebra 2
Matrix Algebra Homework Solutions | PDF | Eigenvalues And Eigenvectors ...
Top 10 Hardest Math Problems On Earth
25 Matrices ideas | high school math, algebra, matrices math
Matrix Problems and Solutions 2021 | PDF | Matrix (Mathematics ...
Maths Practise Problems: Matrix Rank & Eigenvalues (Course Code: 1 1 2 ...
Matrix Multiplication Explained
Problems | PDF | Matrix (Mathematics) | Algebra
Solving Word Problems Using Inverse Matrix
Matrix Maths Problems: A Comprehensive Exploration
Problems Based on Matrix Equations | 12th Maths | 12th Matrices ...
matrix problem | PDF | Matrix (Mathematics) | Determinant
Matrices – Math Mistakes
How to Solve Matrix Problems Easily?|Matrix Class-12th Maths CBSE BOARD ...
MA1513 Chapter 1: Linear Systems & Matrix Algebra Lecture Notes - Studocu
WISN 212 - Worksheet 4: Linear Transformations & Matrix Analysis - Studocu
MATH 140 Test 2 Solutions - University of Natal (2026) - Studocu
Math skills that supercharge your AI journey
Math 2940: Practice Exam 01 Solutions and Explanations - Studocu
Top 50 SAT Math Questions Answers & Explanations (2025 Guide)
Math 150: Tutorial 3 - Precalculus & Linear Algebra Exercises - Studocu
AT 3 6) M2 Math Problem Solutions and Notes - Studocu
Edia | Free math homework in minutes - Worksheets Library - Auto News
Math Formula with Practice Android App free Download V7.0 - ANNAHDA
Practice Questions For Matrices at Hudson Dyett blog
Hard Questions On Matrices at Mark Bevill blog
Matrices problems and solutions - Mathematics - Studocu
matrices word problems with solutions pdf
Intermediate Maths Solutions for Matrices Exercise 3(f) - MATHS GLOW
Conceptual problems on multiplication of matrices | Matrices | Grade 12 ...
Important Questions for Class 12 Maths Chapter 3 Matrices
Matrices — Word Problems #algebra2easy #maths #algebra #matrices # ...
Tough Questions On Matrices at Norma Plouffe blog
Intermediate Maths Solutions for Exercise 3(a) Matrices - MATHS GLOW
Intermediate Maths Solutions for Matrices Exercise 3(g) - MATHS GLOW
Important Questions In Matrices at Molly Nielsen blog
Practice Problems on Classification of Matrices | Types of Matrices ...
Intermediate Maths Solutions for Exercise 3(d) Matrices - MATHS GLOW
Matrices (Exercise-1A) - Mathematics - Assignment - Teachmint
Intermediate Maths Solutions for Exercise 3(e) Matrices - MATHS GLOW
Most Difficult Areas In Mathematics And How To Learn Them (2024 ...
Exact Recursive Calculation of Circulant Permanents: A Band of ...
P.S. SENIOR SEC. SCHOOL MATHEMATICS WORKSHEET: MATRICES & DETERMINANTS ...
APPM 2360 Final Exam Practice Spring 2025: Key Problems & Guidelines ...
How Mathematics Influences Coding and Algorithms | TikTok
9+ Fast Automatically Tuned Linear Algebra Software Tools
Terence Tao told me something that is both clarifying and unsettling ...
MA122 Linear Algebra Final Exam Practice Answer Sheets - Studocu
Matrices In Engineering Problems by Marvin J. Tobias - Livro - WOOK
Multiplication Of Matrices Worksheet - Adriansonfifth
SMA 203: Linear Algebra II - Past Exam Papers and Notes - Studocu
Transition Matrices Questions for 2023 GENMATH 2 Exam - Studocu
MAT 1341 DGD 5 Winter 2026 Solutions to Linear Independence Problems ...
MTH 114M Assign 06 - Practice Problems on ODE Solutions - Studocu
Mathematics 1229A Final Exam Solutions - December 2023 - Studocu
Multiplication Worksheets | 4th Grade | Advanced | CCSS.MATH.4.NBT.B.5
VCE Mathematics Study Design 2023: Units 3 & 4 Overview - Studocu
The Quiet Renaissance of Array Programming Languages — BigGo Finance
MAT 1302C: Second Midterm Exam - Mathematical Methods II - Studocu
Linear Algebra MT1007 Midterm Exam Question Sheet - Oct 18, 2024 - Studocu
MAT1302 DGD Workbook - Solutions to Key Questions - Studocu
Webwork1 Questions for MAT223H1 S LEC0301 - Winter 2026 - Studocu
Qr Factorization | Bohrium
Most Difficult Topics/Areas In Mathematics: 10 Hardest - Bscholarly
e-learning université Mila : Résultats de la recherche
Maths Solved S1 MAT101 Linear Algebra & Calculus Exam Notes - Studocu
Revision for Test 2 - Linear Equations and Functions - Studocu
ENGR 102 Exam 2 Accessible Practice Problems and Solutions - Studocu
4E5N Prelim EMP2 Exam Solutions and Evaluations - Studocu
HONG KONG ADVANCED LEVEL EXAMINATION 1987 Pure Mathematics Paper - Studocu
Table 7.1 from Direct Eigenvalue Reordering in a Product of Matrices in ...
Master Linear Algebra Concepts for Machine Learning Success | Course Hero
C Programming Problems and Solutions - Coding Exercises - Studocu
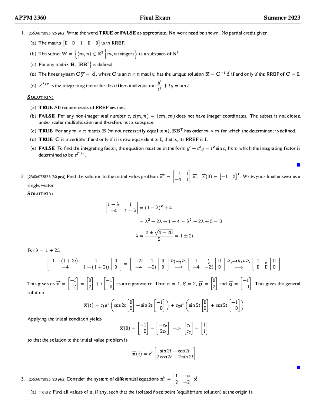
APPM 2360 Final Exam Summer 2023 - Studocu
Set Operations Worksheet/Game
Jacobi Matrices And The Moment Problem by Mykola E. Dudkin e Yurij M ...