Showing 116 of 116on this page. Filters & sort apply to loaded results; URL updates for sharing.116 of 116 on this page
Systems of Equations - Math 25: Digital Textbook
Math equations - Math Steps, Examples & Questions
Math Equations Examples Algebra Equations | Formula, Types & Examples
Math Examples Collection: Equations in One Variable | Media4Math
Algebra Math Equations
Solving Equations INB Pages | Mrs. E Teaches Math
Math Equations Examples
Systems of Equations - Math Steps, Examples & Questions
Math equations - Elementary Math - Steps, Examples & Questions
Worked examples - First degree equations | Math Original - Worksheets ...
Solving Equations Textbook Exercise - Corbettmaths - Worksheets Library
Consider textbook equations on Page 593, listed | Chegg.com
Equations Book by Fun Math with Mrs P | TPT
Example equations taken from mathematics textbooks. | Download ...
Simultaneous Equations using Substitution | Year 10 Maths Textbook
Writing Expressions and Equations: Math Textbook
Quadratic Equations Textbook: High School Math
Linear Equations - Math Steps, Examples & Questions
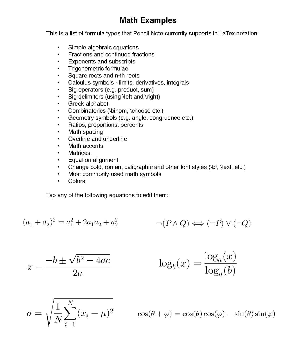
Math Equations Overview and Examples (LaTeX) - Studocu
Differential Equations & Linear Algebra Textbook
Solving Equations Math Notes Flip Book / Print and Digital | Middle ...
Systems of Equations INB Pages | Mrs. E Teaches Math
Algebraic Equations - Ms. Roy's Grade 7 Math
Differential Equations Textbook
Solving Equations Math Notes Flip Book / Print and Digital | Solving ...
Basic Math Equations And Problem Solving
Introduction to Equations Guided Notes by The Math Help Desk | TPT
Solving Equations - Mrs. Alonso's Math
Math Mammoth Linear Equations 1 - worktext for grade 7 (pre-algebra)
Solving and Writing Equations Key Concepts Guide by DEMolishing Math
Algebra Math Equations Formulas Learn Algebra Formulas – Understand
Elementary School Math Equations at Vanessa Rutland blog
Hands on Math in High School: #Made4Math - Systems of Equations with 3 ...
Solving Equations - Middle and High School Math
Mathematical Formulas In A Textbook Stock Photo - Download Image Now ...
Amazon.com: Equations and Graphs (Solved Examples): High School Maths ...
Equations Examples and Solutions for Students
Applied Differential Equations with Boundary Value Problems (Textbooks ...
Equations - GCSE Maths - Steps, Examples & Worksheet
Algebra Workbook Quadratic Equations by Najwa Hirn | Goodreads
Algebraic Equations
Solved: Textbook explanation, examples, and videos Write an equation ...
Math Formulas - Math Steps, Examples & Questions
Math Equation Examples | PDF
Solving Equations: Year 7 Maths Textbook Chapter | Victorian Curriculum
110 Math- Equations ideas | middle school math, teaching math, equations
Resourceaholic: Equations Exercises
SOLUTION: Equations study material with examples and tables - Studypool
Opened Book Mathematics Equations Stock Photo 125713838 | Shutterstock
IXL Ultimate Grade 8 Math Workbook: Algebra Prep, Geometry, Multi-Step ...
Chart Of Math Formulas - Educational Chart Resources
Simultaneous Equations: Graphical Textbook Exercise – Corbettmaths
Differential Equations with Applications and Historical Notes ...
Independent System of Equations | Formula & Examples | Study.com ...
Book Equations | PDF | Equations | Mathematics
6 Steps In Solving Radical Equations - Tessshebaylo
Differential Equations: The All in One Textbook (Haneul Choi ...
Two Step Algebra Equations Worksheet Algebra Two Step Algebra Problems
Everything Equations | Textbook-Style Guided Notes | TPT
The Importance of Quadratic Equations - Maths Points
Lesson Plan Gr. 9 Mathematics EQUATIONS | PDF | Equations | Multiplication
Algebraic Equations Examples
IXL The Ultimate Eighth Grade Math Workbook, Middle School Books for ...
Equations – learn mathematics at home pack by JustAskTurner | TPT
Types of Equations and Examples – ExamPlanning - Worksheets Library
Literal Equations Activity | Mathbook – Algebra and Beyond
Algebraic Equations Examples With Answers
Mathematical Equations English | PDF
Equation in Maths | Definition , Types, Uses and Examples - GeeksforGeeks
Basic Equation Examples
Basic Algebra Equation Examples
Equation - 10+Examples, Types, How to solve - Worksheets Library
Algebraic Formulas | Overview & Examples - Lesson | Study.com
Algebra 1 Equation Examples - Tessshebaylo
Quadratic equation formula definition properties examples – Artofit
Year 8 Maths Books | ofamily learning together
Quadratic Formula — Equation, How To Use & Examples - Worksheets Library
Algebra I Formula Sheet Download Printable PDF | Templateroller
Download CBSE Class 10 Mathematics Smart Book Quadratic Equation PDF ...
Ordinary Differential Equations: An Introduction to the Fundamentals ...
Compact Textbooks in Mathematics - Differential Equations: Methods and ...
Linear Equation | Definition, System & Examples - Lesson | Study.com ...
153 best images about Math:equations on Pinterest | Activities, Student ...
Algebraic Equation Examples Simplifying Algebraic Expressions:
Quadratic Equation Examples
Mathematics N2 Textbook: Exponents, Equations, Graphs
Linear Equations: examples and practices with Answer | Teaching Resources
Equation: Definition, Types, Examples, Differences