Showing 119 of 119on this page. Filters & sort apply to loaded results; URL updates for sharing.119 of 119 on this page
Class 12 Math Notes - 2nd Year All Chapter Math Notes
Math IEB Formula Sheet - Grade 12 Mathematics Paper I Notes - Studocu
CBSE Class 12 Maths Notes : Indefinite Integrals | Math notes, Math ...
Gen Math - self-made notes - Grade 12 STEM - Studocu
Class 12 Math Notes - Google Play 앱
Probability Preparation Notes for Grade 12 Math - 2024 - Studocu
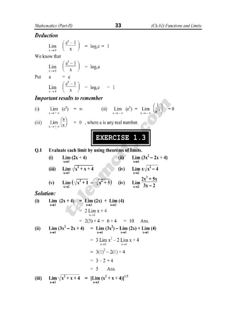
12 Math CH-1 Exercise 1.3 - Notes by | PDF
Class 12 Math Notes PDF (Handwritten and Short Notes) - BoardStudy.in
Class 12 Maths Notes | class 12 maths, math notes, 12th maths
Chapter 1 Math Class 12 Notes In PDF - Ahsa.Pk
Math 12 notes lecture - MATH-103 - Studocu
# Grade 12 Math - Notes for Chapter 1 - YouTube
Mathematics Notes and Formula for Class 12 Chapter 1. Relations and ...
Class 12 Maths Notes Chapter 1 Relations and Functions | Download Free ...
SOLUTION: Grade 12 Maths Notes (by 95% student) - Studypool
Limits (Calculus) - Detailed Notes - Grade 12 Mathematics - Mathematics ...
Complete Yr 12 Mathematics Standard Two Summary Notes | Mathematics ...
NEB Class 12 Mathematics || All Chapters Notes (2082/2083) - Note Swift
Mathematics notes and formula for class 12 chapter 7. integrals | PDF
Differential Calculus Notes Grade 12 at Makayla Moffatt blog
Mathematics Grade 12 Notes - b MATHEMATICS GRADE 12 Exponents and surds ...
Summary Grade 12 IEB Mathematics Paper 1 Full syllabus notes ...
Complete mathematics notes for class 12 | Study notes Mathematics | Docsity
Mathematics Notes for Class 12 chapter 10. Vector Algebra / mathematics ...
Mathematics Grade 12 Study Notes Pdf 2024 Download | Aucfinder Za
SOLUTION: Chapter 1 math notes 12th class 1 3 - Studypool
Bwyuokagjd EGrade 12 Number Pattern, Series Class Notes | PDF ...
Integrals Class 12 Notes Mathematics | myCBSEguide
Summary Analytical geometry grade 12 notes - Mathematics - Stuvia SA
Mathematics Notes for Class 12 chapter 4. Determinants / mathematics ...
SOLUTION: Chapter 3 math notes 12th class - Studypool
HSC General Mathematics Notes | Mathematics Standard - Year 12 HSC ...
Mathematical Literacy Grade 12 Notes - ####### MATHEMATICAL LITERACY ...
Maths Notes | Further Mathematics - Year 12 VCE | Thinkswap
Chapter 1 Math Notes 12th Class | PDF
Conic Section Class 12 Mathematics Notes | Exercise - 8.1 - WebNotee
Maths Class 12 Notes and Study Material | Download Free PDF | Matrix ...
General Maths Notes | Mathematics Standard - Year 12 HSC | Thinkswap
Functions And Limits Class 12 Mathematics Notes For Fbise Chapter 1
Maths Grade 12 Notes 2024 | PDF
Class 12 Mathematics Notes APK for Android - Download
SOLUTION: Chapter 6 math 12th class handwritten notes - Studypool
Class 12 Mathematics solutions | Study notes Mathematics | Docsity
Summary Functions and graphs grade 12 IEB notes - Mathematics - Stuvia SA
MATH 12 Sequences & Series: Notes, Exercises, and Past Questions - Studocu
Free Math Notes Template For Google Docs
SOLUTION: Chapter 4 math 12th class handwritte notes - Studypool
Class 12 Mathematics Revision Notes, Short Key Notes (2025-26)
12th Std Maths Chapter 12 DISCRETE MATHEMATICS NOTES IN PDF FOR READY ...
Maths standard notes | Mathematics Standard - Year 12 HSC | Thinkswap
CBSE Class 12 Maths Notes : Differential Equations | AglaSem Schools
Full Standard Math Notes With Examples and Formulas | Mathematics ...
Math Notes Template
Grade 12 Momentum Notes Pdf
Math functions notes for grade12 - YouTube
Complete Maths notes for class 12 & IIT JEE - eSaral
Math 12-13 - chapter notes - MAT 0028 - Studocu
Class 11 Mathematics Notes Chapter 1 to chapter 12 - FSc Part 1 kpk board
SOLUTION: Chapter 3 math notes 12th class 3 6 - Studypool
Class 12 Mathematics COMPLEX NUMBERS Notes - Nepal Enotes
CBSE Class 12 Mathematics Vector Algebra Notes
need math help ... grade 12 mathematics, Ontario, Canada
Class 12 Quadratic Equations Notes | Handwritten | Mathematics - YouTube
A+ HSC Year 12 Mathematics Study Notes and Practice Exams by ...
NEB Class 12 Business Math || All Chapters Notes, Exercises
SOLUTION: Class 12 maths notes - Studypool
CBSE Maths Notes for Class 12 2023-24 PDF Free Download
Class 12 Mathematics Handwritten Notes Pdf Download - ReadAxis
Chapter 5 Math Notes 12th Class | PDF
Standard Maths Notes | Mathematics Standard - Year 12 HSC | Thinkswap
12th Std Maths CHAPTER 12 DISCRETE MATHEMATICS NOTES READY IN PDF FOR ...
Grade 12 Mathematics (Maths) Revision Notes and Learning Materials » My ...
Best Math (Mathematics) Handwritten Color Notes PDF - NewtonDesk
SOLUTION: math complete notes-12th class - Studypool
Calculus Maths - Grade 12 - Learning with Mrs Du Preez
Grade 12 Mathematics Learner Notes: Sequences, Series & Geometry (SSIP ...
Maths Short Handwritten Notes Class 12th for IIT-JEE ( Mains and ...
Class 12th Math Liner Programming Formulas CBSE 2023
Year 12 ATAR Maths Methods Units 3 & 4
Mathematics Grade 12 Term 1 Revision Memo 2025 - Exam Preparation - Studocu
Maths study notes for grade 12. These Notes are for Papers 1 and 2
Grade 12 Mathematics
Year 12 ATAR Maths Applications Units 3 & 4
Studynotes: Maths notes
Math Notes: A Helpful Study Guide
CLASS 12TH RELATION AND FUNCTIONS HANDWRITTEN NOTES | Summaries ...
Class 12th Mathematics (NCERT) Complete Notes - Session 2024-25 | Step ...
Grade 12 Maths | Download Free PDF | Mathematics | Geometry
Grade 12 Mathematics Textbook | PDF
Mathematical Literacy Grade 12: Comprehensive Teacher Notes and ...
Functions Maths - Grade 12 - Learning with Mrs Du Preez
NCERT Solutions Probability Miscellaneous Exercise Class 12 Chapter-13 ...
CBSE Class 12 Maths Notes: Differentiation
Maths Notes | Download Comprehensive Study Material PDf
8th Grade/high School FULL Algebra 1 Study Notes, 25 Pages, Math ...
Year 12 ATAR Maths Specialist Units 3 & 4
Stanmore Maths Lit Grade 12
Mathematics-XII - Perfect Notes 24U
Class 12 vector Exercise Solutions of Basic Mathematics - Note Library ...
Grade 12 Mathematics Cheat Sheet Download Printable PDF | Templateroller
Binomial Theorem Class 12 Mathematics | Complete Note | PDF | Concept ...
SOLUTION: Mathematics notes class 12th integration - Studypool
Formula Sheet Vectors Class 12 at Janis Clayson blog
CBSE Class 12 Mathematics Important Concepts For All Chapters
SOLUTION: Maths formula and notes class 12th ISC and CBSE - Studypool
12-Math 126 Recitation Notes Week 1 - Fundamentals of mathematics - Studocu
Printed Class 12 Maths Formula Sheet / Book | Class 12 Maths Topper’s ...
Personal Notes: Math: August 05, 2013 (Grade 12)
FULL AP Calculus Study Notes, Calc 1 Outline, 20 Page Study Guide ...