Showing 120 of 120on this page. Filters & sort apply to loaded results; URL updates for sharing.120 of 120 on this page
Math 55 Intermediate Algebra Practice Problems for Exam I 1 ...
Solve the Exponents – Intermediate Level Practice Worksheets, Math ...
GED Math - Intermediate Problems - 8 Weeks - Classful
3-Level Percentage Math Centers | Easy–Intermediate–Word Problems ...
Problem Solving in Operations: Intermediate Level by Math Cut Ups
Inter Math 2 | PDF
Inter Maths-2B - Definite Integrals - 7 marks important problems ...
BSSC Inter Level Maths | Maths Practice Set 10 | Bssc Maths | kiran ...
100 Problems | Intermediate to Early Advanced Math Word Problems 2 ...
Inter Maths-2B - Circles - 4 marks important problems - video-1 - YouTube
BSSC Inter Level Maths Practice Set || Mathematics Practice Set BSSC ...
Word Problem of the Day - December - Intermediate Level | Word problems ...
Intermediate Algebra Problems
Solved Intermediate Maths Problems Note: Give exact answers | Chegg.com
Intermediate Math - App on Amazon Appstore - Worksheets Library
SOLUTION: Matrices and determinants math intermediate part 1 mcq and ...
ACT Math - Intermediate Algebra Worksheet - YouTube
Integer Operations Practice Packet | No Word Problems | Middle School ...
LESSON 1 -TEACHING MATH IN THE INTERMEDIATE GRADES.pptx
Intermediate Algebra Problems With Answers.docx - Intermediate Algebra ...
Inter Maths IIA Solutions for Quadratic Expressions Exercise 3(c ...
Intermediate Math Smart Q Intermediate First Year Mathematics 1B
Solving Math Problems: Intermediate Division Techniques | Course Hero
INTERMEDIATE MATH / TINA JONES MED MATH QUESTIONS - INTERMEDIATE MATH ...
SOLUTION: Solutions of trigonometric equations math intermediate part 1 ...
Solution to Problem 8, Math 125: Intermediate Algebra Topic 1 - YouTube
Competition Math Prep 7 - Intermediate Problem Solving for AMC 8 ...
2021 Maths Challenge Intermediate Problems - AMT - Studocu
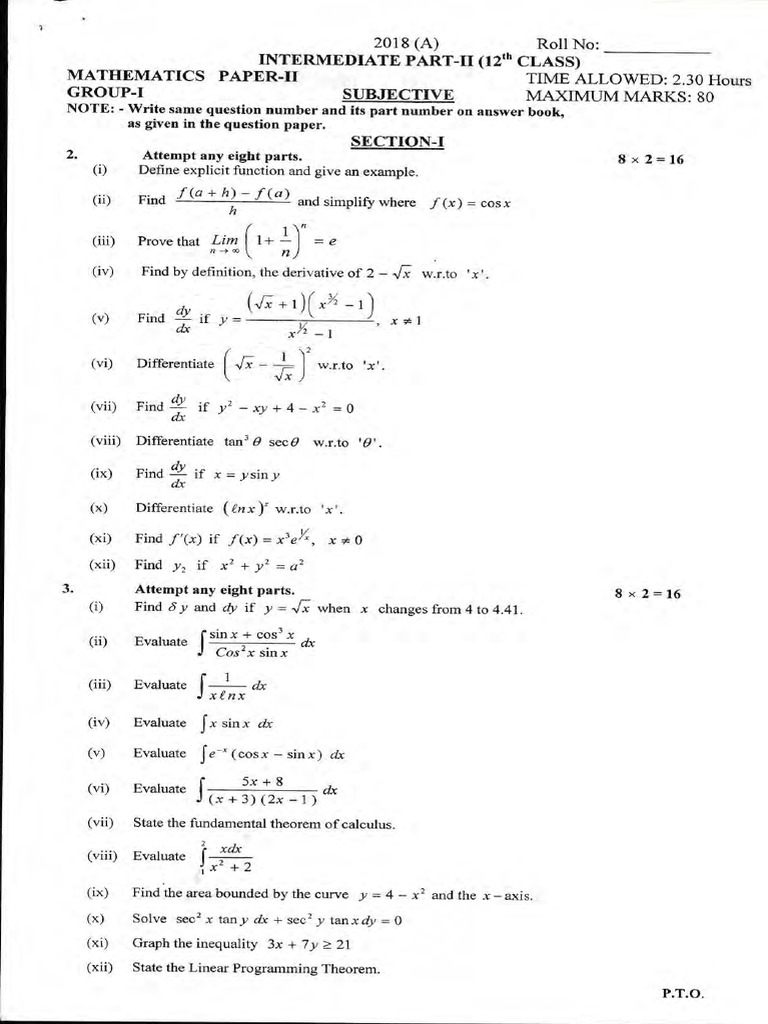
Mathematics Inter PII A2018 | PDF
Math 1210 - Intermediate algebra practice problems. - MATH 1310 - Studocu
Inter Maths-1A - All chapters- important problems, important formulas ...
An International Mathematical Olympiad level Number Theory problem ...
Locus,Intermediate first year Mathematics 1B Chapter 1 problems with ...
Inter mathematics Archives - MATHS GLOW
Mathematics - Inter P1 A2021 | PDF
Intermediate Algebra Problems With Answers - sample 11 | Algebra ...
inter maths the plane solutions Archives - MATHS GLOW
Division Word Problems—Free Worksheets for Grades 3-5 — Mashup Math
Free Printable Intermediate Algebra Worksheets - Also Available Online
Free intermediate mathematics, Download Free intermediate mathematics ...
Free Intermediate Algebra Worksheets With Answers Intermediate Algebra
Intermediate Algebra Worksheets Exponential Equations Worksheets 15
Intermediate Algebra Formula Sheet
SOLUTION: Intermediate Mathematics Progress Test 1 Questions ...
Canons High School - UKMT Intermediate Maths Challenge
Intermediate Algebra Test Answer Key
Intermediate Mathematical Challenge – 2017 - UKMT
Intermediate Mathematical Challenge – 2015 - UKMT
Intermediate Algebra - Basic Introduction - YouTube
Intermediate Mathematical Challenge – 2016 - UKMT
Intermediate Mathematical Challenge – 2018 - UKMT
Algebra one intermediate word problems. by Maxwell Morgenbesser | TPT
Intermediate Mathematics Part-2 - Worksheets Library
Functions,Intermediate,Solutions - MATHS GLOW
Intermediate Algebra Lesson 9 - YouTube
Straight Lines,Intermediate first year Mathematics 1B chapter 3 ...
bbConnect
Intermediate Algebra Problem Set - Art of Problem Solving
Straight lines,intermediate first year mathematics 1B chapter 3 ...
Intermediate Mathematical Challenge - 2013 - UKMT