Showing 119 of 119on this page. Filters & sort apply to loaded results; URL updates for sharing.119 of 119 on this page
4 Ways to Find the Range of a Function in Math - wikiHow
Function Machines - Math Steps, Examples & Questions
What Is Function Mapping - Free Math Worksheet Printable
Function Notation in Math | GeeksforGeeks
What is a Function - Math Steps, Examples & Questions
Function Math
*FREEBIE* LINEAR Function Fact & Fib Finder | Key Characteristics of a ...
What Is Function And Its Types With Examples - Free Math Worksheet ...
Free Math Function Templates For Google Sheets And Microsoft Excel ...
How to Determine if you have a function « Math :: WonderHowTo
Function and its Values with UMS - Universal Math Solver
Function Machines and Function Notation Foldable | Math = Love
Math Example--Function Concepts--Domain and Range of a Function ...
Parent Function Graph Domain Range Algebra Cheat Sheet Reference ...
geometry - How to find a function with given initial values of other ...
Finding Inverse Functions - Using Function Machines Worksheet | Fun and ...
The image of function in school mathematics | Mathematical Musings
How to Graph a Parabola in 3 Easy Steps — Mashup Math
Slope-Finding Functions | Advanced Math for Young Students
How To Get Answers and Steps For a Function of a Function ...
Understanding Mathematical Functions: How To Find Function Value Calcu ...
Finding function values using a graph | Math, Algebra | ShowMe
Find the Domain of a Function and Its Inverse | Algebra 2 Video - YouTube
Finding the domain and zeros of a function | Math, Algebra, Polynomials ...
Determine Of Functions Math
Algebra I Help: Function Notation: Find the Value for a Given Domain ...
Function Mathematics
Function
Linear Equations in Function Notation (Simplifying Math) - YouTube
Function Formulas - Learn the List of Function Formulas
How to Find the Inverse of a Function - GeeksforGeeks
How to Find Function Values from the Calculator - Effortless Math: We ...
How to Find a Function from a Graph - A Step-by-Step Guide
function | Definition, Types, Examples, & Facts | Britannica.com
Level Ups: Graphing Linear Functions 8th Grade Math
KS3 Function Machines Worksheets with Answers
How To Use Find Function - Free Worksheets Printable
MATHGarden – SEARCH FUNCTION in the Mathematical Garden
Which Graph Represents a Function? 5 Examples — Mashup Math
Ex: Find the Linear Function Given Two Function Values in Function ...
Functions Math
06 - What is a Function in Math? (Learn Function Definition, Domain ...
Finding the Inverse of a Function: Complete Guide — Mashup Math
Algebra 1 Function Notation Worksheet - Admuscente
Finding Function Values From a Graph Worksheet
Understanding Mathematical Functions: How To Find A Function ...
Free Algebra Math Poster Printable: Operations of Functions ~ Classroom ...
Tips for Teaching How to Identify Functions | Mrs. E Teaches Math ...
Math Functions
Function Worksheets
Finding Functions by Math That Makes Sense by C A Ameche | TPT
Fun Function Machines | FREE Teaching Resources
Free functions math worksheet, Download Free functions math worksheet ...
Finding Function Values - YouTube
Functions | Free Math Encyclopedia | Easy Language | House of Math
Math: Function Catalogue
Identifying Functions Worksheets | Math Fun Worksheets
Math Functions Word Search - WordMint
Functions Math Worksheets
Understanding Mathematical Functions: How To Identify A Function ...
A Quick Guide To Math Solver – Digital Learning
Algebra - Find Equivalent - X,Y Chart to Function (Level 1) - Mobius ...
Math - Owlcation
Function Machines (Inputs and Outputs) Worksheet | 8th Grade PDF Worksheets
Free math functions, Download Free math functions png images, Free ...
Function in Mathematics: Definition, Types, and Examples - Shiksha Online
Graph Function Identification Guide | PDF | Mathematical Relations ...
Function Machines & Algebraic Functions | Teaching Resources
Functions: A Guide to Understanding Math Charts and Journals
finding the formula for a function - Mathematics Stack Exchange
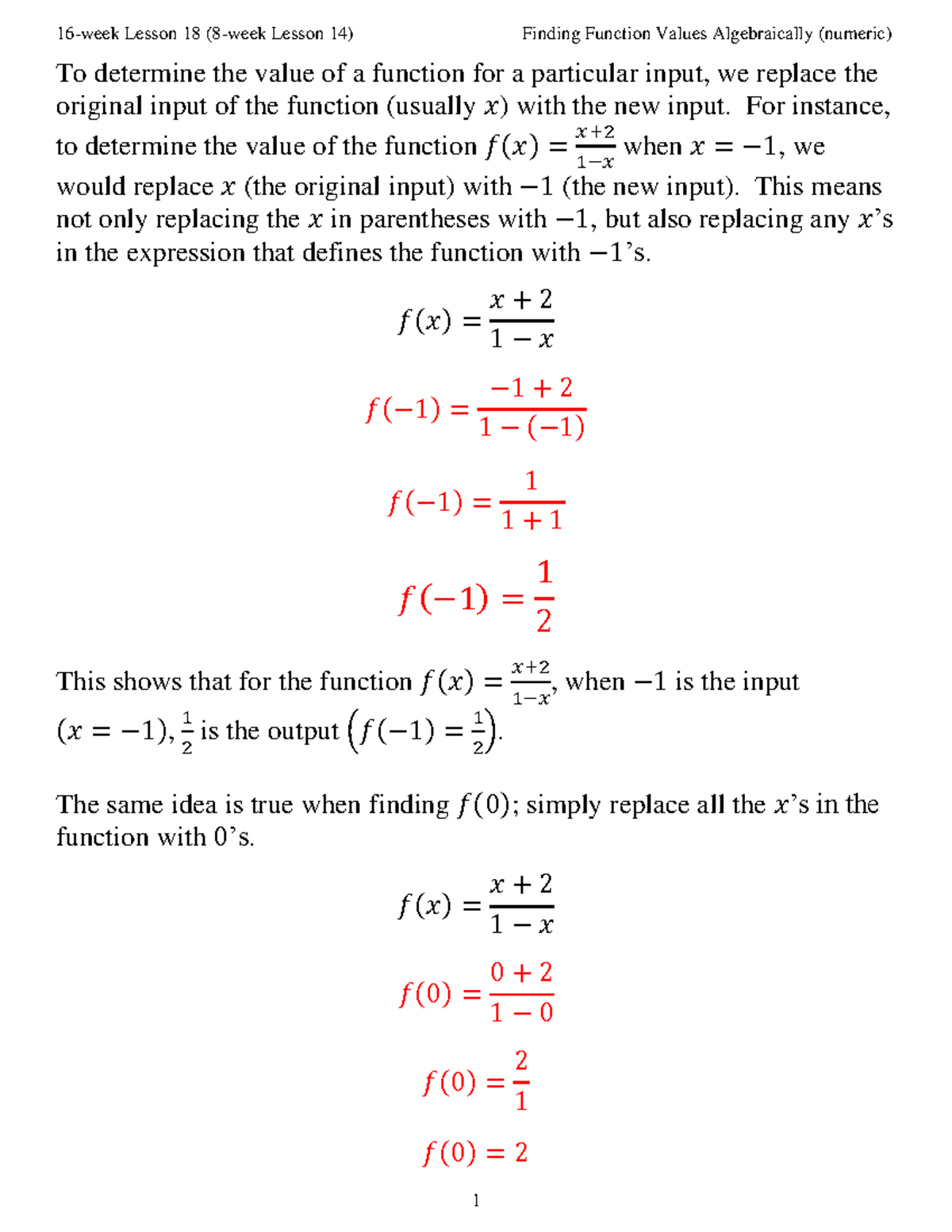
Finding Function Values Algebraically (numeric) - To determine the ...
Vector Illustration Of Mathematical Functions Isolated On White ...
Find the Missing Functions Worksheet | Fun and Engaging 8th Grade, IM 1 ...
Parent Functions And Their Graphs (video lessons, examples and solutions)
Identify Functions By Their Equations Tables And Graphs at Landon Artis ...
What Are Functions in Math?- Cuemath
Unlock the Function: Your Easy Guide
3 Quick Ways to Identify a Function: The Ultimate Cheat Sheet ...
Functions
Student Tutorial: Functions as Equations | Media4Math
How to Find Values of Functions from Graphs? - Effortless Math: We Help ...
Worksheet Graphing Polynomial Functions - Printable Computer Tools
Classifying Common Functions - Expii
Algebraic Functions: Definition, Types, Properties with Examples
Functions Examples – PinNotes
Understanding Mathematical Functions: How To Find A Value Of A Functio ...
Free Printable Identifying Functions Worksheets
Algebra Formulas - Algebraic Formulas for Class 8, 9, 10, 11, 12
Tips for Teaching How to Identify Functions | Identifying functions ...
Finding inverse functions | Math, Algebra, functions, Inverse Functions ...
Functions Find Someone Who - All Things Algebra®
This shows how to determine if a relation is a function. | Functions ...
Interval Graph Recognition
Find the Missing Functions Worksheet | PDF printable Algebra ...
50+ Functions worksheets on Quizizz | Free & Printable
Evaluating Functions Introduction, Algebra 2, Examples and Practice ...
Evaluating Functions (using a graphing calculator) - YouTube
OpenAlgebra.com: Free Algebra Study Guide & Video Tutorials ...
How to Teach Graphing Transformations of Functions [Hoff Math]
Expressions and Functions Worksheet | Printable PDF Worksheets
Trigonometric Functions Worksheets - 15 Worksheets.com
Algebra 1 Unit 3: Relations & Functions - All Things Algebra®
Linear Functions: y = x + c Worksheet | Printable PDF 8th Grade Algebra ...
Algebra of Functions - Definition, Formulas, Examples - Worksheets Library
Functions In Algebra - GCSE Maths - Steps & Examples - Worksheets Library
How to find f(x) from gf(x) and g(x)? - YouTube
Functions - Definition, Types, Examples
Graph Mathematics
Algebra 1 - Graphing Functions and Identifying Features