Showing 120 of 120on this page. Filters & sort apply to loaded results; URL updates for sharing.120 of 120 on this page
Tessellations of the Plane - Lecture Slides | MATH 366 - Docsity
Lines in a Cartesian Coordinate System | Lecture Notes | MATH 366 - Docsity
Math 366 Winter 2021 Week 2 Assignment Solution | PDF | Interest ...
Math 366 Winter 2021 Week 7 Assignment Solution | PDF | Volatility ...
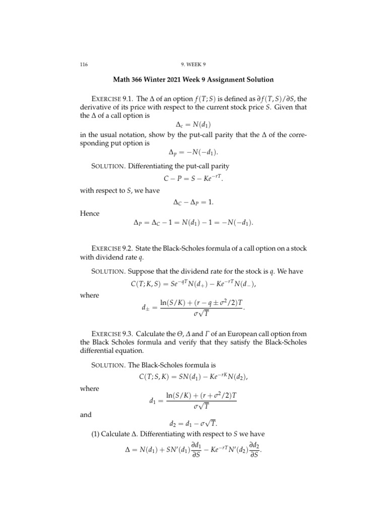
Math 366 Winter 2021 Week 9 Assignment Solution | PDF | Black–Scholes ...
Week 8 Math 366 Assignment Solutions | PDF | Black–Scholes Model ...
Math 366 Winter 2021 Week 6 Assignment Solution | PDF | Option (Finance ...
Lecture Notes on Polygons - Structure of Mathematics II | MATH 366 ...
Math 366 Winter 2021 Week 4 Assignment Solution | PDF | Option (Finance ...
MATH 366 TEST ONE REVIEW - MATH 366 Test One Notes 1 Section 11.1 ...
MATH 366 : Complex Variables I - Athabasca University, Athabasca
Math 366 Final Exam Preparation
Math 366 Lecture 1 - YouTube
Math 366 Homework 10 Solutions: Cyclic & Permutation Groups
Math 366 Assignment 3 Due Wednesday, November 3
Math 366 | PDF
Math 366 Assignment 2 Due Monday, October 25
Math 366 A | PDF
MATH 366 - Concordia University
MATH 366 TEST TWO REVIEW - MATH366 TESTTWO Section12.3 ...
exm2f20.pdf - MATH 366 Exam 2 1. 10 pts Find the general solutions to y ...
MATH 366 Inverse Cosine Notes - 7 ANALYTIC TRIGONOMETRY 107 c We know ...
Math 366 - Exam 1 Practice Problems | Course Hero
Math 366 Study Guide for Test II: Generating Functions and Recurrence ...
MATH 366 Assignment 3 p2 | Course Hero
Introduction to Vector Spaces and Operations: Math 366 Study | Course Hero
Discrete Math Quiz 1 - MATH 366 Quiz 1 Solutions Name: Special K 1. 6 ...
Math 366 Winter 2021 Quiz 3 | PDF
Practice Exam 1 MC .pdf - MATH 366 Practice Midterm 1 1. An implicit ...
Lecture 26 MATH 366 - YouTube
Snapklik.com : Addition And Subtraction Flash Cards 1st Grade 366 Math ...
Math 366 Assignment 4 Due Wednesday, December 1
Lecture 7 Math 366 - YouTube
Exam with Answers - Structure of Mathematics - Summer 2008 | MATH 366 ...
Math 366 Elementary Number Theory II Midterm 1 Solutions - Studocu
Math 366 - Quiz
Lecture 18 MATH 366 - YouTube
Lecture 29 MATH 366 - YouTube
Lecture 24 MATH 366 - YouTube
Rings and fields. 1 Definitions Renzo’s math 366
Lecture 2 Math 366 - YouTube
MATH366-2018-May-Exam.pdf - PAPER CODE NO. MATH 366 EXAMINER: Dr. A ...
Amazon.com: Addition and Subtraction Flash Cards 1st Grade | 366 Math ...
Number 366 - Curious Math Facts and Interesting Properties
math 366 final Flashcards | Quizlet
Lecture 25 MATH 366 - YouTube
Math 366 Class Presentation
MATH 366 Fall 2013 Homework 4 Solutions - Generated by CamScanner from ...
Lecture 19 MATH 366 - YouTube
Lecture 3 Math 366 - YouTube
Lecture 14 MATH 366 - YouTube
Lecture 20 MATH 366 - YouTube
Lecture 9 Math 366 - YouTube
Math 366 - YouTube
19 Problems Exam 1 - Structures of Mathematics II | MATH 366 - Docsity
Math Puzzle | 366 | Mathematics | #shortsfeed #shorts #mathematics # ...
Ethiopia Learning - Math grade 9 page 366 in English
Ethiopia Learning - Math grade 12 page 366 in English
Lecture 4 Math 366 - YouTube
Math 366 Lecture 7 Queueing Theory A - Queueing Theory Behavior of ...
A5M366F17.pdf - 201709 Math 366 Assignment 5 Due: Thursday November 23 ...
Mathematics 366 Problems 1) 2)
Math 366–002 HW 4, Spring 2014
Math 366–001 HW 3, Spring 2015
Math 366–002 HW 8, Spring 2014
Math 366–002 HW 5, Spring 2014
Math 366–002 HW 6, Spring 2014
Math 366: Introduction to Abstract Algebra
19 Questions for Assignment 2 - Introduction to Abstract Algebra | MATH ...
Factors of 366 - Find Prime Factorization/Factors of 366
Math 366–001 HW 2, Spring 2015
Factors of 366 - Calculatio
Your Daily Math: 366 Number Puzzles and Problems to Keep You Sharp by ...
Learn Multiples of 366 | Multiples of three hundred sixty six [ ️]
Homework 3 Solved Questions - Introduction to Abstract Algebra | MATH ...
Solved MATH 366. This is Abstract Algebra, which is 4 levels | Chegg.com
Class Notes for MATH 366.
Divisibility Rule of 366 | Divisibility Test of 366
Solved Math 366-Worksheet IFind all integers n for which | Chegg.com
Multiplication Table for 366
Square Root of 366 | How to Find the Value of √366 🧮
366 Angel Number meaning
Learn Multiplication Table of 366 | 366 Times Table [ ️]
Mathematics 366 Homework (due Oct. 14) 35) A. Hulpke
MATH 366-503 — Structure of Mathematics II – Spring 2016
ตัวประกอบของ 366 และการแยกตัวประกอบของ 366
Solved MATH 366: MATHEMATICAL STATISTICS . HOMEWORK 9 Please | Chegg.com
366 MATH-101.jpg - | Course Hero
Multiplication times table of 366
Multiplication Table of 366 | Download PDF
How to Write 366 in Words | 366 Spelling
Mathematics 366 Homework (due Dec. 2) 66) 67)
Mathematics 366 Reed Solomon Codes A. Hulpke
Mathematics 366 Introduction to A. Hulpke
What is 366 squared?
Number 366 facts
Number 366 in wood, isolated on white background Stock Photo - Alamy
Engineering Mathematics-1 (30) - 366 Higher Engineering Mathematics ...
Cambridge Year 7 Math Learner Book Answers | PDF
Class Notes
The English, Metric System and Dimensional Analysis - Linear Measure ...
Complex Variables I | Syllabus Website | Athabasca University.pdf ...
MATH366 Final.pdf - | Course Hero
Mathematical Calculations and Equations for Study - Explore | Course Hero
Math366 outline assignments winter 2019 v12.pdf - Department of ...
Amazon.com: Addition and Subtraction Flash Cards 1st 2nd 3rd Grade ...
Syllabus.pdf - THE CITY COLLEGE OF NEW YORK DEPARTMENT OF MATHEMATICS ...
MATH366 MATH601G 4 18 - Course outline - Departmental website: mathstat ...
MATH366 practice final1 dec2009.pdf - CONCORDIA UNIVERSITY Department ...
Mathematics - shiyasahmad555 - Page 430 | Flip PDF Online | PubHTML5
チャレンジしMATH(366) | まさ坊のお気楽挑戦記2
Mathematics Planner 2025: Monthly Organizer | 12-Month January through ...