Showing 120 of 120on this page. Filters & sort apply to loaded results; URL updates for sharing.120 of 120 on this page
MATH 211 Integral Calculus New New | PDF
MATH 211 Final Exam Booklet Solutions 1 - CHAPTER ONE a.(A.-')..::C) (1 ...
M211pr19 - notes - Math 211 Assignment 19 1 Due 8 April 2022 (a) Is the ...
Math 211 Syllabus SP16 - Department of Mathematical Sciences
Math - 211 | PDF
MATH 211 Final Exam Review: Limits, Continuity & Partial Derivatives ...
Solved Math 211 Assignment 2, due Thursday Feb. 16, 2023. 1. | Chegg.com
MATH 211 Quiz 1 Solutions | PDF | Matrix (Mathematics) | Mathematical ...
Math 211 Final Exam - Spring 2001
MATH 211 Exam 1: Study guide - Metric Philatelist
Math 211 Problem Set 2 - Differential Equation - Math 211 Differential ...
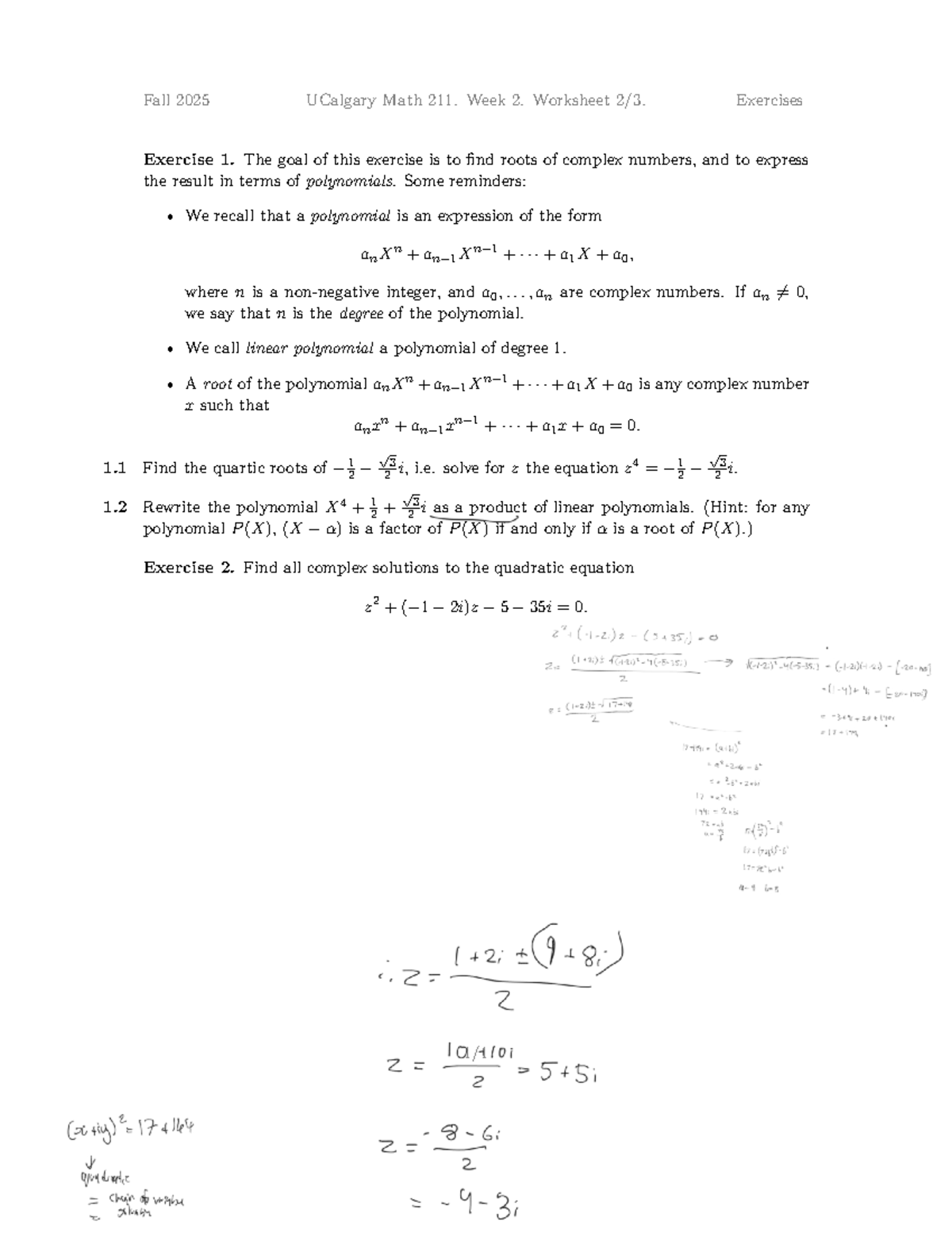
Math 211 Fall 2025: Week 2 Worksheet on Complex Roots - Studocu
[PPT] - Math 211 Math 211 Lecture #9 September 26, 2000 2 Runge-Kutta ...
[PPT] - Math 211 Math 211 Lecture #5 Models of Motion September 5, 2003 ...
Math 211 Exam 1: Equations, Functions, and Limits Explained | Course Hero
[PDF] - Math 211 Math 211 Lecture #2 2 Autonomous Equations Autonomous ...
Math 211 Exam 1: Differential Equations
[PDF] - Math 211 Math 211 Lecture #18 October 31, 2000 2 Complex ...
MATH 211 Lecture Four - LECTUREFOUR Example Problem Set: 1. (nX3 = 9 2 ...
[PPT] - Math 211 Math 211 Lecture #12 Eulers Method September 24, 2001 ...
Math 211 Worksheet: Set Notation, Slope, and Line Equations | Course Hero
Solving Equations and Dividing Polynomials: Math 211 Study Guide ...
[PDF] - Math 211 Math 211 Lecture #22 November 14, 2000 2 Second Order ...
Mastering Determinants: MATH 211 Linear Algebra Homework Guide | Course ...
Syllabus MATH 211 Multivariable Calculus 1 .pdf - MATH 211 ...
Math 211 First Midterm September 25, 2001
Math 211 Homework 1 Due September 12 in Class-Show All Your Work! | PDF
Math 211 - Exam 1 - Practice Test - Answers - 017.pdf - MATH 211 ...
Practice Quiz 1 Questions - Calculus | MATH 211 - Docsity
Math 211 Unit 3 Disctrete Math for Comp science and I.T. Relations.docx ...
Exam.pdf - Math 211 - Final Exam April 2021 To receive full credit for ...
Math 211 Midterm 1 Review: Systems of Equations and Matrices | Course Hero
Math 211 Calculus Ii Notes | PDF | Integral | Calculus
Solved Math 211 Math for Business Analysis Project #1 The | Chegg.com
Math 211 Syllabus | PDF | Derivative | Function (Mathematics)
Math 211 Business Calculus Applications of Derivatives
(Math 211 - Summary Notes) - MATH 211 - Studocu
Math 211 Sets Practice Worksheet--Answers 1. Shade the region of ...
Solved TEST 1 Math 211 | Chegg.com
Math 211 Math for Business Analysis Project #1 The | Chegg.com
Math 211 Worksheet 14: Implicit Differentiation, Related Rates ...
Math 211 | PDF | Mathematics | Mathematical Analysis
Week5-P - Practice for Week 5 of MATH211 - MATH 211 LAB 6 — Tuesday 2: ...
Master Numerical Analysis: MATH 211 Syllabus Overview | Course Hero
[PDF] - Math 211 Math 211 Lecture #30 Solutions of Systems and ...
Math 211 Past Question | PDF
Math 211 Final Exam Review Solutions.pptx - Math 211 Final Exam Review ...
Math 211 Syllabus - Analytic Geometry and Calculus I Overview - Studocu
Math 211 Exam 1 Solutions - Fall 2019.pdf - | Course Hero
MATH 211 • Final • Linear Algebra | Özyeğin Üniversitesi
Solved Math 211 Math for Business Analysis Homework P2 | Chegg.com
MATH 211 Signature Assignment: Analyzing Height-Weight Relationships ...
Solutions to Quiz 2 – Calculus | MATH 211 - Docsity
[PDF] - Math 211 Math 211 Lecture #2 Solutions to Differential ...
Math 211 Final Exam Instructions:
Math 211 - Exam 1 - Practice Test.pdf - MATH 211 - CALCULUS III-A EXAM ...
Mastering MATH 211 Chapter 4: Recommended Problems for Summer | Course Hero
MATH 211 Final Exam Review: Chain Rule Concepts & Problems - Studocu
Math 211 - Sep 20 fully annotated .pdf - September 202023 MATH 211 ...
Quiz 3 Solved - Calculus for Business and Social Science | MATH 211 ...
[PDF] - Math 211 Math 211 Lecture #15 Systems of Linear Equations PDF ...
MATH 211 • Midterm • Linear Algebra | Özyeğin Üniversitesi
211 Midterm Review - Mary Kachuk MATH 211 October 30, 2023 MATH 211 ...
Math 211 - Department of Mathematics - Rice University
Math 211 Syllabus.pdf - Syllabus for MATH 211 Multivariable Calculus ...
MATH 211 Spring 2021 Exam #1 Review.docx - MATH 211-Spring 2021 Exam #1 ...
Math 211 Calculus: Course Overview and Required Materials | Course Hero
Calculus For Business and Social Science - Solved Questions | MATH 211 ...
Math 211 Worksheet Solutions and Practice Problems | Course Hero
MATH 211 Lecture 1: Math 211 Notes for All Lectures - OneClass
Solved MATH 211 ACTIVITY 2.1 For each of the problems below, | Chegg.com
Math 211 quiz 7.pdf - | Course Hero
MATH 211 Course Outline - Seth Chart - 2016-05 - Faculty of Science ...
a4.pdf - Math 211 Assignment 4 due March 27. 1 2 2 1. Write the matrix ...
Math For Elementary Education I MAT 211 Study Guide Chapters 7-9 -Real ...
math 211 midterm november 2022 solution | PDF
Math 211 Syllabus Spring 2018.docx - Liberty University Math 211-001 ...
MATH 211 : Calc For Bus&soc Sci - NIU
MATH 211 Lecture 2: MATH 211 - Lecture 2 - OneClass
Koç Üniversitesi • MATH 211 • Final • Statistics for Sciences
Professor Frank’s Math Blog: Math 211 - Homework 1
Review for Exam 1 - Calculus For Business and Social Science | MATH 211 ...
[PDF] - Math 211 Math 211 Lecture #22 Systems of ODEs October 17, 2003 ...
[PDF] - Math 211 Math 211 Lecture #35 Forced Harmonic Motion November ...
Practice Exam Problems for Calculus 2 | MATH 211 - Docsity
MATH 211 Module 02 - MATH 211 Calculus I Assoc. Prof. Matthew Kennedy ...
MATH 211 Online Syllabus 218.pdf - MATH 211 Statistics with Aviation ...
[PDF] - Math 211 Math 211 Lecture #13 Runge-Kutta Methods September 24 ...
Math 211 | PDF | Mathematics
Solved Quiz 2 for Calculus For Business and Social Science | MATH 211 ...
MATH 211 U of C Fall 2015 | Facebook
UC MATH 211 MT1 by Topic sol - MATH 275 - Studocu
MATH 211 Winter 2010 Quiz 5 Solutions - 1 MATHEMATICS 211 L03 B11/12 ...
Tutoring for Math 211 - NIU - Mathematics Assistance Center
Test 3 with Answer Key - Calculus II | MATH 211 - Docsity
Math 211-Spring-2021-2022-Midterm Exam 2 | PDF
Math 211-102, Calculus IIIA, Fall 2008, Victor Matveev, DMS, NJIT
Math 211-029 - Calculus III A | PDF | Test (Assessment) | Theoretical ...
Math 211: Homework 2 (12.4-12.5) Practice Problems | Course Hero
MATH 211: Calculus II (Integral Calculus) Notes - 14450
MATH 211-Recap -II.pdf - MATH 211/ Spring 2022/ Dr. Çağatay Edemen ...
Math 211-102, Calculus IIIA, Spring 2009, Victor Matveev, DMS, NJIT
Math 211-S21A - Syllabus - MATH 211: Calculus III A Spring 2021 ...
Math 211: Calculus III A - Course Overview | Course Hero
How to Find the Square of 211 | Value of 211² 🧮
Mat 211 test 2 review - MAT 211 Exam 2 Review Questions with Answers ...
Math 211-405 Exam 1 Review - Math 211- 405 Exam 1 Review 1. Find the ...
MAT 211 Exam 2 Review: Matrices, Systems, and Probability Concepts ...
Solutions for Quiz 5 - Calculus For Business and Social Science | MATH ...
Calculus I Formula Sheet: Functions, Limits, Derivatives
Math_211_Homework3 | PDF
Discrete Structures (Math 211) 1ST Trimester 2017 | PDF | Function ...
PPT - MATH211 Final Exam Mathematics Question & Answer PowerPoint ...
MATH-211, Lecture 1 - YouTube
Review Sheet for Exam 3 - Calculus For Business and Social Science ...