Showing 120 of 120on this page. Filters & sort apply to loaded results; URL updates for sharing.120 of 120 on this page
MATH 1013 notes - MATH 1013 Functions A function f is a rule to assign ...
MATH 1013 Practice Problems and Syllabus Overview - Studocu
Math 1013 Calculus IB Tutorial 4: Algebra Techniques & Limits - Studocu
Content-2 - Content-2 - MATH 1013 Syllabus Chapter 2 2 The Tangent and ...
Solved MATH 1013 - Mathematics and Its Applications | Chegg.com
Math 1013 Cumulative Assignment 3 - Math 1013 Cumulative Assignment # 1 ...
Math 1013 (1B) REVIEW 2024 | PDF | Integral | Area
MATH 1013 Applied Calculus Section A Fall 2012 Test 3/ November 26 ...
Practice Lecture Test 2: MATH 1013 SU 2023 Multiple Choice & Solutions ...
Basic operations on functions: notes for MATH 1013 class - Studocu
LMS Week 2 MATH 1013 Language of Mathematics | PDF | Mathematics | Numbers
Solutions Test #1 - Midterm 1 for Calculus - MATH 1013 - Studocu
Math 1013 Tutorial 2 (Function Part 2) - Math 1013 T1,T2A,T3D (Tutorial ...
MATH 1013 F23 midterm solutions - MATH 1013 MIDTERM Date and TIME ...
MATH 1013 Test 1 with solutions - MATH 1013 Applied Calculus Section E ...
MATH 1013 Algebraic Concepts Course Syllabus
MATH 1013 Course Outline - MATH 1013 3.0 F2014 Section E Applied ...
Lecture 12.pdf - Math 1013 Calculus I Fall 2021 Fan Wang HKUST ...
MATH 1013 Midterm Solutions: Calculus 1 Test Questions | Course Hero
Math 1013 Pretest Solutions FINAL.pdf - Math 1013 Pretest You have 15 ...
MATH 1013 Test 3 with solutions - MATH 1013 Applied Calculus Section E ...
MATH 1013 2014 Semester 2 Section 2D Midterm 1 Solutions - Midterm Exam ...
Math 1013 Tutorial 5 Sandwich Theorem First Principle and Evaluation of ...
MATH 1013 - Fall 2016 - Version 2.pdf - York University Department of ...
Math 1013 Final Exam Sample with Solution: Limits, Derivatives ...
MATH 1013 Calculus I Course Outline | PDF | Derivative | Integral
Math 1013 Applied Calculus I Practice Test | Course Hero
Math 1013 Midterm 3 2016 - MATH 1013 - Studocu
Understanding Limits and Taylor Polynomials: Math 1013 Exam Prep ...
MATH 1013 Exam Paper - HKUST MATH1013 Calculus IB Midterm Examination ...
MATH 1013 N Applied Calculus I 2.pdf - | Course Hero
Math 1013 Midterm Exam Prep: Tutorial 6 Revision Exercises - Studocu
Math 1013 Tutorial 7 Rate of Change - Math 1013 Tutorial 7 Applications ...
Math 1013 (Tutorial 0 ) (Appendix A Numbers, Inequalities, and Absolute ...
MATH1013 Tutorial 1 - MATH 1013 Tutorial 1 TAM Kwok Chung Weeks 1 and 2 ...
MATH1013 Tutorial Notes 11 - MATH 1013 Tutorial Notes 11 Topics covered ...
MATH 1013 Higher Derivatives: Physical Interpretations and Examples ...
Math 1013 Assignment 3.pdf - Scanned with CamScanner Scanned with ...
Mastering Functions: Limits, Domains, and Inverses in Math 1013 ...
MATH 1013 Practice Materials Calculus IB - HKUST MATH1013 Calculus I ...
MATH 1013 Final Exam Solutions Version 1 Solutions - IO T E B U L U O T ...
Math 1013 Final Exam Review: Functions, Derivatives & Integrals ...
Math 1013 Tutorial 4 Derivative of a Function & Formulas of ...
MATH 1013 Chapter 3: Derivatives of Logarithmic Functions - OneClass
Math 1013 Fall Final Exam: Multiple-Choice Questions | Course Hero
Practice exam 2012, Questions and answers - Test 1 - o.) MATH 1013 ...
Math 1013 Right Angle Trig - Right Triangle Trigonometry Review of Main ...
Scanned MATH 1013 past exam.pdf - | Course Hero
Quiz 05s - quiz - Name: / 10 Math 1013 Quiz 05 (3 Marks) Identify each ...
Test 1.pdf - York University MATH 1013 Applied Calculus Test 1 Time: 15 ...
MATH1013 Tutorial Notes 08 - MATH 1013 Tutorial Notes 8 Topics covered ...
Test 2.pdf - York University MATH 1013 Applied Calculus Test 2 Time: 15 ...
MATH 1013 Test 2 solutions - MATH 1013 Applied Calculus Section E Fall ...
outline math 1013 calc.pdf - Course Outline Faculty of Science ...
Math 1013 Tutorial 3 (Limit and Continuity) | PDF | Continuous Function ...
Class 1 Notes C - MATH 1013 Section C Class 1: Inequalities and ...
1013tut09soln.pdf - Math 1013 Tutorial 9 Solution • • • Curve Sketching ...
Math 1013 Test 1 - 909m 5%.: Dwadat f2 123:2? CbM3 May 24 2016 Last ...
PASS MOCK TEST 3 MATH 1013 2016 - PASS MATH 1013 MOCK TEST 3 FALL 2016 ...
MATH1013 Tutorial Notes 1[2022] - MATH 1013 Tutorial Notes 1 Topics ...
Understanding Derivatives of Trigonometric Functions in Math 1013 ...
MATH 1013 F week1 class 2 (sep 14) - MATH 1013 (Section F) September 14 ...
3 limit before class.pdf - Limits and Derivatives Math 1013 Math 1013 ...
MATH 1013 Midterm Exam Solutions Version 5 - stu ed d y vi re aC s o ou ...
MATH1013 Tutorial Notes 05 - MATH 1013 Tutorial Notes 5 Topics covered ...
MATH 1013 L2 L3 Course Outline Fall 2021 | PDF | Derivative | Function ...
Hans Joshi Math 1013 Test-2Solution - York University Department of ...
Solutions to Math 1013 Tutorial 12 Revision Exercises - Solutions to ...
S2017 MATH1013 Review - MATH 1013 REVIEW QUESTIONS Summer 2017 Write ...
MATH 1013 Final Exam Notes - Functions and Graphs - Studocu
Math 1013 Algebra Review Lecture - Algebra Review Basics Motivation o ...
Math 1013 Test #2 2013.pdf - Math 1013B Test 2 October 25 2013 Last ...
PASS MATH 1013 Mock Test 1 FALL 2015 - PASS MATH 1013 MOCK TEST 1 FALL ...
Quiz 04s - practical quiz - Name: /10 Set: Math 1013 Quiz 4 ab ad cb cd ...
MATH 1013: Sample Final Exam for Applied Calculus I (2021) - Studocu
Test 1, questions and answers - MATH 1013: Applied Calculus I Test 1 ...
MATH1013 tutorial 1 soln - MATH 1013: Applied Calculus I Tutorial 1 In ...
exam-mock.pdf - MATH 1013: Applied Calculus I Mock Final Exam The ...
Fun Math Activities, Practice & Challenges for Ages 10–13 von Joseph ...
Math Puzzle Booklet To Make Maths Easier - Kaithal News - Kaithal News ...
test2-Fall2019-version1.pdf - MATH 1013: Applied Calculus I Test 2 ...
Master Math 1013: Multiple Choice Questions and Calculus Problems ...
test1-practice-1.pdf - MATH 1013: Applied Calculus I Fall 2019 Practice ...
Assignment 1 Solutions.pdf - MATH 1013: Applied Calculus I Assignment 1 ...
Math10133 assignment 2 2024 - Math 1013: Assignment 2. Q1. (clcalus c ...
MATH1013C Course Syllabus Fall 2021 - MATH 1013: Applied Calculus I ...
Final Exam S2010.pdf - Math 1013: Final Exam Name: ID #: Question 1
MATH1013 Worksheet3 | PDF
Math-1013-Week - 11 & 12 | PDF | Voting | Elections
(MATH1013) (2020) (f) final~=7fz - emu^ - 35512 - 複製 | PDF
Math1013 sample final ans - Math1013 Calculus IB Sample Final Exam ...
Math1013 final fall 2017 ans - Math1013 Calculus IB, Fall 2017 Final ...
MATH1013 Tutorial 10 solution.pdf - MATH1013 Tutorial 10 Definite ...
MATH1013 2019F Final.pdf - 2/15/2020 HKUST Canvas - Quiz: MATH1013 ...
MATH1013 Mathematical Modelling.pdf - 19/10/2021 14:56 MATH1013 ...
math1013-sample-final-ans.pdf - Math1013 Calculus IB Sample Final Exam ...
University Math_Math_1013 - HKU - Studocu
MATH1013 Tutorial Notes 10 including exercises.pdf - Tutorial Notes 10 ...
Midterm Exam Guide for MATH1013: Calculus I Practice Questions | Course ...
MATH1013 2013 f midterm~=jyj28^ 12886 - MATH1013 2013 f midterm~=jyj28 ...
Math1013 Test 1 Solutions: Key Concepts and Step-by-Step Answers ...
MATH1013 Tutorial Notes 10 - MATH1013 Calculus IB (2018 Fall) Tutorial ...
Comprehensive Answers for Math1013 Calculus IB Midterm | Course Hero
MATH1013 Assignment 1.pdf - | Course Hero
Essential MATH1013 Revision: Key Concepts and Guidelines | Course Hero
MATH1013 Tutorial Notes 11 including exercises.pdf - Tutorial Notes 11 ...
MATH1013 LinearAlgebraMidsemExamProvidedSheet.pdf - MATH1013 Mid ...
Comprehensive Guide to MATH1013 Final Exam - Calculus | Course Hero
Comprehensive Solutions for Math1013 Test 2: Key Concepts | Course Hero
Advancedmath 1013-Lecture 1&2Lab Questions - Advanced Technical ...
Advancedmath 1013-Lecture 12Lab Questions - Advanced Technical ...
MATH1013 2018Sem2 Tut03.pdf - AS/1013/T03/2018-2019 S2 THE UNIVERSITY ...
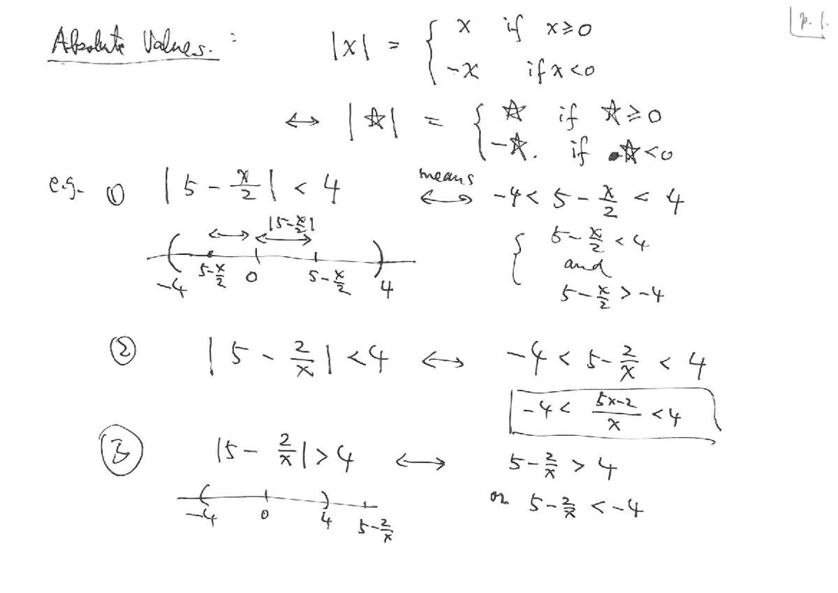
Mathematics 1013: Absolute values and functions notes - Studocu
2017 FALL MATH1013.Homework-1.pdf - Math1013 Calculus I Homework-1 ...
Comprehensive Solutions for MATH1013 University Mathematics II | Course ...
Mastering Functions and Complex Numbers: MATH1013 Assignment | Course Hero
Midterm Exam Solutions for MATH1013 Calculus I: Fall 2013 | Course Hero