Showing 120 of 120on this page. Filters & sort apply to loaded results; URL updates for sharing.120 of 120 on this page
HW5.docx - HW Module 5 MAT330 - 3.3 2 16 3.4 2 2. A 400-lb object is ...
mat330 mod1.docx - Module 1 Section 1.1 2 d d 2 5 dt 2 x 4 dt x=2 cos 3 ...
MAT 330: Differential Equations Module 2 MATLAB dsolve() Problems - Studocu
MAT330 Module One Template-2 - MAT 330: Differential Equations Module ...
Module 2 Problem Set.docx - MAT 330 2.2 Problem Set Section 1.1/1.2 ...
module 2 homework.docx - Lauren McKillip MAT 330 SNHU 9 September 2021 ...
MAT330 Module One Template - MAT 330: Differential Equations Module One ...
Mat 330 Module 2 HW.docx - Section 2.2 dy =4 y 2−3 y 1 2. dx dy= 4 y 2− ...
Module One Mat330 page 3 - MAT330 - Studocu
MAT330 Module Fivetutor - Week 5 - Direction Fields and Phase Portraits ...
Sara Wolhart.docx - Sara Wolhart MAT330 Charles Lester Module Two ...
MAT330 Module Six Template - Week 6 - Introduction to ode45() MAT330 ...
MAT 330 Module 1 section 1.2.docx - 1a. dy 2 Showthat x = x ...
mat330week1.docx - Mat330 3/23/19 Week 1 Section 1.1 1 3 16 2 1. 5 d x ...
Mat 330 Module 5 HW.docx - Section 3.4 2 16 2. F t v =mg−bv Given: mg ...
Mat 330 Module 7 HW.docx - Section 4.3 3 8 34 3. z −6 z 10 z =0 2 ...
AG.Module 2 problem set.docx - Audrey Green Module 2 problem set ...
MAT330 Final odd.pdf - Test 2 for MAT 330 9am-2pm Wed. Dec.8 2021 Show ...
Hmwk module #2 .docx - Mat 330 2.2 Problem Set Section 2.2 #'s 2 7 22 ...
mat330 mod 7 problem set.docx - Section 4.3 4 2 r 6 r 10=0 Has roots 6 ...
Math 30-2 Module 2 Lesson 2.doc - Mathematics 30-2: Module 2 1 ...
Math 30-2 Module 2 Lesson 3.doc - Mathematics 30-2: Module 2 1 ...
MAN 3303 module 2 assignment.pdf - MAN3303 Mgmt & Leadership Practices ...
mat330 mod 7 problem set.pdf - Section 4.3 4 2 − 6 10 = 0 Has roots = 6 ...
Math330 Module 1 hw.docx - Math330 Module 1 Homework Section 1.1 2 4 16 ...
Math 30-2 MODULE 2 Lesson 3 Suggested Answers for TRY THIS Questions ...
Practice Module 2 Test Solutions.pdf - MAT 110 Module 2 Practice Test ...
MAT-240 Module 2 Assignment (CC) - In Module 2 assignment, you've been ...
SNHU MAT 136 (Mobius) Problem Set: Module 2 Updated 2024/2025 Questions ...
GR pruebaº1 MAT330 parte 2 - YouTube
Math330 Module 6 hw.docx - Section 4.1 2 8 Fext t =0 equation 3 becomes ...
SNHU MAT 225 Module 2 Problem Set 2024 With Complete Solution - MAT 225 ...
MAT 303 Module 2 Problem Set ch.docx - MAT 303 Module Two Problem Set ...
Math 30-2 Module 2 Lesson 1.doc - Mathematics 30-2: Module 2 1 ...
MAT330ModuleOne.pdf - MAT 330: Differential Equations Module One ...
Module 3 Overview - MAT-330-J5517 Differential Equations 22EW5.pdf ...
Week 3 MATLAB dsolve() Problems - MAT330 Differential Equations - Studocu
MAT330 Week 3 MATLAB dsolve() Assignment with Initial Conditions - Studocu
assignment 2.docx - MAT 330 SNHU Professor Lum Assignment 2 Chellsea ...
mat 330 mod 2 homework.docx - Section 2.2 2. f x y = fy2 3y 1 f x y = 1 ...
mat330 course overview transcript.pdf - MAT 330 Differential Equations ...
MAT 126 Module Two Journal: Evaluating Source Credibility - Studocu
MAT330 Lecture Notes - PDF Complx - An. | PDF | Computers | Technology ...
Module 1 MAT 330.docx - MAT 330 Module 1 Homework 1. 5 d2 x dx 4 9 x=2 ...
Reflecting on Module Five MATLAB Assignment: Results and | Course Hero
module7hw.docx - MAT 330 MODULE 7 HOMEWORK SECTION 4.3 3 8 34 SECTION 4 ...
MAT330 - SNHU - Differential Equations - Studocu
Mat330 Guia Ejercicios 04 | PDF | Función (Matemáticas) | Linealidad
1-2 Problem Set.docx - Mat 330 1-2 Problem Set: Module One Section 1.1 ...
mat 330 mod 2.docx - Section 2.2 2 Its seperable because the equation ...
MAT 230 Module 3: Solving Problem 3 with 93,963,542,400 Password ...
Mat 330.problem.set.module1.docx - Mat 330 Problem set module 1 Section ...
Module 7 Application Assignment.docx - MAT-330: Differential Equations ...
HOMEWORK - section 3.2 and 3.3.docx - MAT 330 Module 4 Problem Set ...
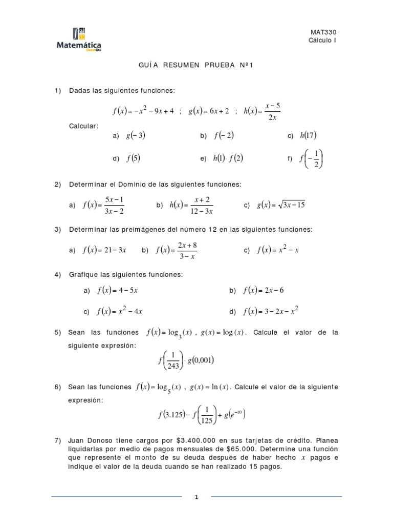
Guiaresumen1 Mat330 | PDF | Métodos y materiales de enseñanza | Ciencia ...
Module 5 Problem Set.docx - MAT 330 5.2 Problem Set Section 3.4/3.5 ...
Module 1 HW.docx - Mat 330 Module 1 HW Chapter 1.1 Problem 1: The given ...
module 4 homework.docx - Lauren McKillip MAT 330 SNHU 24 September 2021 ...
mat330 exam problem sets.pdf - | Course Hero
SOLUTION: Module Three - MAT-350 Project One - Studypool
MAT 303 Module Two Problem Set Report - MAT 303 Module Two Problem Set ...
MAT330 Project One - MAT 330: Differential Equations Project One ...
MAT 330 MODULE 4.rtf - Mathematics is arranged in order of discipline ...
Mat330 Actividad 06 | PDF | Matemáticas
Assignment 7.docx - Module 7 Assignment Mat-330 SNHU Germain Tougma ...
MAT330 LECTURE 17 (3/30/2020)
Mat3373 2 0 S - notes for lecutre of math - MAT 3373 Methods of Machine ...
MAT 136 (Mobius) Problem Set: Module 8 Questions and Answers 2024/2025 ...
Mat 33 - Topic 2 - Design and Materials - Handout.pdf - MAT 33 ...
SNHU MAT 225-R Module Three Problem Set 2024 With Complete Solution ...
MAT 303 Module Two Problem Set Report Chinh Doan - MAT 303 Module Two ...
MAT302 assignment 2 solutions-1 - MAT302 Assignment 2 solutions Peter ...
MAT-133 MODULE 1 NOTES - MATT 133 MODULE 1 NOTES DATA: Data is a ...
SOLUTION: Mat225 module 1 problem set - Studypool
MAT 240 Module Two Assignment Template - Selling Price and Area ...
ACC330 - Project 2 Tax Planning Speaker Notes and Insights - Studocu
MAT 330: Differential Equations Study Guide | Course Hero
MAT 330 : Differential Equations - SNHU
Introduction to dsolve() Using MATLAB for Differential Equations ...
Solving Differential Equations with MATLAB: Plotting Family of | Course ...
Comprehensive Guide on Differential Equations for MAT 330 | Course Hero
MAT330: Ode45() Applications in Differential Equations Homework - Studocu
MAT330: Differential Equations - Week 6 Introduction to ode45() - Studocu
Mat 330 section 4 hw.docx - Mat 330 4-2 Problem Set Elsa Mulert Section ...
MAT-330 1-2 .docx - Robert Williams MAT-330 20EW6 1-2 Problem Set ...
MAT 330 Module3 Overview - Copy.pdf - Reading: Fundamentals of ...
Mat 330 Review 7 | PDF | Uncertainty Principle | Quantum Mechanics
Mat 330 Review 9 | PDF | Hilbert Space | Mathematics
MAT330: Week 5 Direction Fields & Phase Portraits Analysis - Studocu
Matlab 6 Final - Differential equations - Week 6 - Introduction to ...
7-2 Application Assignment.docx - MAT 330 Application Assignment ...
Mat 330 Review 3 | PDF | Fourier Series | Series (Mathematics)
1-4 Matlab Indroduction assignment - MAT 330: Differential Equations ...
Solved MAT330_Mid-term_Axessment X NSUAssign Mid | Chegg.com
QUIZ TWO .docx - Malcolm Brown Sr. 02/12/22 MAT 330 MAT 330 Quiz Two ...
MAT 330 2-1.docx - In Problems 1-6 determine whether the given ...
MAT 330 Quiz Two.pdf - MAT 330 Quiz Two Assignment Instructions: For ...
MAT 330 : P - SNHU
MAT 330 Final Exam.docx - Malcolm Brown Sr. 2/27/22 MAT 330 MAT 330 ...
Test2-guide-2021 - test material for mat 133, official practice test ...
MAT 330 Quiz One.docx - MAT 330 Quiz One Assignment Instructions: For ...
MAT 330 Final Exam.docx - MAT 330 Final Exam Assignment Instructions ...
MAT 243 Project Two Summary Report Template (1) (1) - MAT 243 Project ...
MAT 330 Quiz One Problem Set 2-COMPLETE.docx - MAT 330 Quiz One ...
MATLAB Assignment: dsolve() with Initial Conditions | Course Hero
PPT - MAT 517/ MAT 330 Technology in Math Education PowerPoint ...
Mastering ode45() in MATLAB for Differential Equations Solutions ...
MAT 330 Number Theory - Spring 2014 - Part II - Google Slides
SOLUTION: Mat 230 module2 assignment - Studypool
Topic and Bibliography - 2-2 Milestone One: Topic and Bibliography ...
Solving Differential Equation with MATLAB dsolve() Function | Course Hero
Week 1 MAT 330 equation editor templates.docx - MAT 330 In this course ...