Showing 120 of 120on this page. Filters & sort apply to loaded results; URL updates for sharing.120 of 120 on this page
Solved 1 The joint CDF ) Find the marginal CDF's and use | Chegg.com
b. Fill in the table with joint cdf and marginal | Chegg.com
Solved Find the marginal cdf of X and Y for the following | Chegg.com
self study - Find Marginal CDF probability from PDF (2 random variables ...
Solved Find a marginal cdf of X. Is X is absolutely | Chegg.com
Solved Question 2 The Joint CDF for random variables X and Y | Chegg.com
cumulative distribution function - How to compute the marginal CDF of a ...
Solved Compute the marginal pmf AND marginal CDF of the | Chegg.com
Empirical marginal posterior CDF of a and b using gamma priors ...
SOLVED:Find the joint and marginal densities corresponding to the cdf F ...
Marginal CDFs and 3‐D surface plot of bivariate CDF for Taiyuan ...
Marginal CDF Ps 1 ,s 2 (x 1 , x 2 ) = Prob(s 1 ≤ x 1 , s 2 ≤ x 2 ) of 2 ...
Fitting of the marginal CDF of observed value and simulated flood ...
Solved 2. Find the joint PDF, marginal CDF, and marginal PDF | Chegg.com
The joint CDF of two continuous random variables X and Y is FX,Y(x,y ...
Solved 5.1.1 Random variables X and Y have the Y joint CDF | Chegg.com
Solved Exercise 11. Find the marginal CDFs FX(x) and FY(y) | Chegg.com
problem 1 20 points the joint cdf of two continuous random variables x ...
SOLVED: The joint CDF of random variables X and Y is Fxr (0,6) =1-e-a e ...
Solved he marginal cdfs of X and Y areLet U1,U2,dots,Un be | Chegg.com
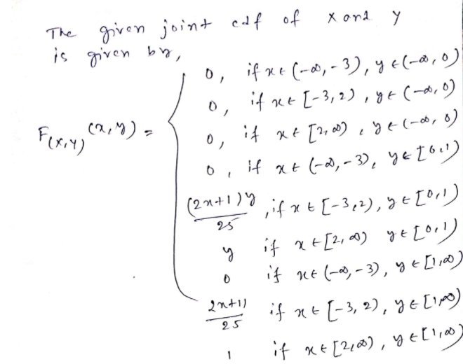
Solved Q3. The joint CDF of a bivariate RV(X,Y) is given by: | Chegg.com
SOLVED: 4. [4 points.] Find the joint and marginal densities ...
Solved Consider the joint CDF defined for | Chegg.com
Solved Prob 5 Suppose r.v. X and Y have the joint CDF E: 1S | Chegg.com
Solved 10 1.1 Random variables X and Y have the joint CDF | Chegg.com
Solved Random variables X and Y have the joint CDF What is | Chegg.com
Solved The joint CDF of two continuous random variables X | Chegg.com
Solved 2. Random variables X and Y have the joint CDF | Chegg.com
Solved The function below is a joint CDF of two continuous | Chegg.com
Solved 6. Find the marginal cdf's of X and Y for the | Chegg.com
Solved 2. Find the joint pdf Ifxy(x,y)), marginal CDFs | Chegg.com
Solved Consider the joint cdf х Fx,y(, y) = 0 if c
Answered: Problem 6: Random variables X and Y have the joint CDF 0.5 (y ...
Solved 1) Random variables X and Y have the joint CDF | Chegg.com
Solved Random variables X and Y have the joint cdf 0 | Chegg.com
Solved A random variable X and Y has the joint CDF F_X, | Chegg.com
Solved 3. Random variables X and Y have the joint CDF Fxy(, | Chegg.com
Solved Random variables X and Y have the joint CDF F_XY (x, | Chegg.com
Solved 7. The joint CDF of random variables X and Y is give | Chegg.com
Solved Problem 2: Here is the joint CDF of X and Y : | Chegg.com
Solved Problem 1. (20 points) The joint CDF of two | Chegg.com
Solved The joint CDF of random variables x and Y is given | Chegg.com
The graph of marginal p.d.f. and c.d.f. given in (15) and (16 ...
Solved 6. If two random variables X and Y have joint CDF of | Chegg.com
[Solved] The pair (X, Y ) has joint cdf given by: F X,Y (x, y) = (1 − ...
Solved Random variables X and Y have the joint CDF F_XY(x, | Chegg.com
Solved 5.20. The pair (X,Y) has joint cdf given by: | Chegg.com
Solved Example 5.12 The joint cdf for the vector of random | Chegg.com
Answered: 1.Determine the marginal distribution functions of X and Y,i ...
Solved 1.1. Random variables X and Y have the joint CDF | Chegg.com
Find the marginal CDFs FX(x) and FY(y) and determine | Chegg.com
Problem 1. (20 points) The joint CDF of two continuous random variables ...
Solved Question | Chegg.com
Marginal CDF. The figures are derived from msft stock price data (in ...
Solved Find the marginal CDFs F_X(x) and F_Y (y) and | Chegg.com
Solved: The joint CDF of two continuous random variables X and Y is ...
Fitting of marginal CDF. The functions Gk\documentclass[12pt]{minimal ...
PDF and CDF of a discrete random process. Given a | Chegg.com
Solved 5.1.1 Random variables X and Y have the joint CDF | Chegg.com
Solved Determine the marginal distribution of X. Determine | Chegg.com
Solved Find the marginal CDFs F_X(x) and F_Y(y) and | Chegg.com
The Joint CDF (PDF) of a random variable x | StudyX
Solved (a) Find the joint CDF of X and Y. Specify the value | Chegg.com
probability - How do I find the joint CDF from this joint PDF ...
MARGINAL DISTRIBUTION & MARGINAL DENSITY FUNCTION - YouTube
Answered: (a) Determine the marginal cumulative distribution functions ...
Solved Question4 The pair (X, Y) has joint cdf given by: | Chegg.com
Solved 6. (8 points) The joint CDF of X and Y is | Chegg.com
1- Find the joint PdF of (x,y); Deduce the marginal | Chegg.com
Understanding PMF, PDF & CDF in Probability
probability - Problem obtaining a marginal from the joint distribution ...
Answered: Let X, Y have range [0,3] and a marginal density functions ...
Section 08 Joint Marginal and Conditional Distributions Joint
Solved Example: Using the CDF Suppose the CDF of the random | Chegg.com
Solved [ 4 points.] Find the joint and marginal densities | Chegg.com
What Is The Marginal Distribution Of X at Trevor Roy blog
Solved A marginal cost function C'(q) is given in the | Chegg.com
Marginal Cumulative Frequency Distribution (CDF) of the specific phase ...
Solved In the following table, complete the marginal product | Chegg.com
Solved 6) The joint cdf of two random variables X and Y is | Chegg.com
SOLVED: The joint cumulative distribution function (CDF) of a bivariate ...
2 consider the following function on 01 01 x y2 if 0 x1 and 0y1 ...
SOLVED: Problem 8 (8 points): Consider random variables X and Y with ...
SOLVED:Marginal PMF/PDF from Joint PMF/PDF 1. points) Random variable X ...
PPT - Section 8 – Joint, Marginal, and Conditional Distributions ...
SOLVED: The joint cumulative distribution function (CDF) of random ...
Solved X and Y are continous random variable | Chegg.com
SOLVED: Problem 8 (Order Statistics) Let 1,12, Tn be a random sample ...
SOLVED: Consider the joint pdf if r > 1, y > 1 otherwise fxx(z,y ...
Solved Random variables x and Y have the joint | Chegg.com
Solved TASKS TO BE PERFORMED/QUESTIONS TO BE ANSWERED | Chegg.com
Sampling A Procedural Sky
Solved (3) The random variables X and Y have the joint PMF: | Chegg.com
SOLVED:Question 3 (45 points; ?-D Continuous Distribution): The samplee ...
Solved Exercise 7. (FrOM TEXTBOOK, PROBLEMs 5.17) A point | Chegg.com
Solved Two random variables 1
Solved The lifetime (measured in years) of a laptop and its | Chegg.com
SOLVED: A pdf is defined by ct + 2y) if 0
Solved be Let the joint density function fxy (x,y) be fxy | Chegg.com
Solved 1. The joint PDF of random variables 𝑋 and 𝑌 is | Chegg.com
Solved Let X be a discrete random variable with pmf given | Chegg.com
SOLVED:Let X and Y be two independent random variables. Given the ...
PPT - Chapter 4. Multiple Random Variables PowerPoint Presentation ...
Joint probability density function problems for continuous r.v ...
SOLVED: Problem One: Consider a random vector with two components, X ...
Solved 2. (46 pts) Suppose the random variables X and Y have | Chegg.com
Solved 8. If the ioint PMF of two-dimensional random | Chegg.com
Solved TASNU IU BE PERFORMED Y QUESTIONS TO BE ANSWERED | Chegg.com
SOLVED: The random vector X = [X1 X2] has a PMF given by the following ...
PPT - ch3 PowerPoint Presentation, free download - ID:5738840
Solved 5 Suppose that X and Y are random variables the | Chegg.com