Showing 120 of 120on this page. Filters & sort apply to loaded results; URL updates for sharing.120 of 120 on this page
What Are Some Recent Major Computer System Failures Caused By Software ...
(PDF) Reliability Measures of a Computer System with Priority for ...
Troubleshoot Computer Problems with Reliability Monitor in Windows 7
PPT - Improving Computer System Reliability PowerPoint Presentation ...
How to Test Your Computer System for Performance and Reliability
Solved Q2. (a)The reliability of a computer system is | Chegg.com
Computer Reliability Notable Software System Failures Chapter 8 ...
PPT - Enhancing Computer System Reliability through Replication ...
(PDF) The User's View of Computer System Reliability
Troubleshoot Computer Problems with Reliability Monitor in Windows 7 ...
Computer System Reliability: Safety and Usability: Dhillon, B.S ...
Computer Reliability | PDF | Software Bug | Reliability Engineering
Computer Reliability | PPT
PPT - System 2020: Research Grand Challenges in Computer Architecture ...
How to Check Your Computer Reliability with Reliability Monitor
Reliability Engineering Problems | PDF
10 Most Common Computer Problems and Solutions
Computer Reliability
Solved Determine the system reliability of the system shown. | Chegg.com
(PDF) Reliability Issues in Computing System Design
SOLUTION: System reliability problem - Studypool
Reliability Of Computer Systems And Networks Fault Tolerance Analysis ...
Flashcards - 02 Reliability in Computer Systems | PDF | Reliability ...
Reliability of Computer Systems and Networks: Fault Tolerance, Analysis ...
Computer Reliability Clipart
Enhancing Computer System Reliability: Steady State Availability ...
Solved Problem 1: Determine the system reliability for the | Chegg.com
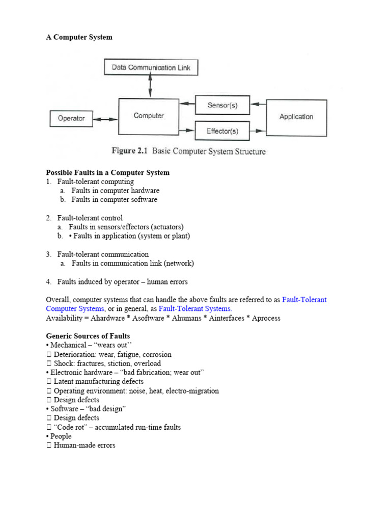
Reliability Of Computer System, Fault-tolerant computing is the u
Best Desktop Computer Reliability at Sam Rooke blog
Reliability Modeling with Computer and Maintenance Applications ...
Problem 1 The reliability block diagram of a system | Chegg.com
PPT - System Reliability PowerPoint Presentation, free download - ID ...
Reliability in System Design - GeeksforGeeks
System Reliability Examples at Ryan Cushman blog
PPT - Chapter 7: Computer Reliability PowerPoint Presentation, free ...
System reliability and types of systems in machine design | PPTX
Series System Problem | Reliability of system - YouTube
06 - Reliability of Systems - Problems | PDF
(PDF) Availability and Reliability Analysis of Computer Systems
Fault Tolerance: Complete Guide to System Reliability and Recovery ...
L10 Computer Reliability | PDF | Software Testing | Computing
PPT - 3. System reliability PowerPoint Presentation, free download - ID ...
411 07 Computer Reliability | PDF
Top 10 Most Common Computer Problems and How to Fix Them - IT Services ...
PPT - System Reliability - 3 PowerPoint Presentation, free download ...
Computer and Spftware Reliability | PDF | Reliability Engineering ...
(PDF) PROBLEMS OF RELIABILITY OF HARDWARES IN COMPUTER-AIDED SYSTEMS OF ...
System Reliability and Risk Modeling Insights | PDF | Reliability ...
Solved Example: System ReliabilityDetermine the reliability | Chegg.com
Chapter 8 Computer Reliability Ethics for the Information
Computer Reliability | PDF | Software | Electronic Voting
Solved 9. Calculate the reliability of the system in the | Chegg.com
Most Common Computer Problems and How to Fix Them | TechBusters
What is reliability in computer system? #shortsfeed #shorts # ...
Preventing Computer System Failures | PDF | Backup | Random Access Memory
Failures and Reliability Adam Adgar School of Computing
Reliability Testing GCSE Computing Starter Recap How do
How to See Reliability History in Windows 11 & 10
What to Do if Your Computer Freezes and Becomes Unresponsive
GCSE OCR 2 A451 Computing Computer systems in the modern world - ppt ...
Windows 10 Reliability Monitor Hardware Error at Michael Hammons blog
MAINTAINING AND REPAIRING COMPUTER SYSTEMS AND NETWORKS 12.pptx
Reliability: Errors in Computer Systems, Impacts of Computer Errors ...
Solved 2. Consider a personal computer with each item's | Chegg.com
Software Reliability Lecture 12 Organization of this Lecture
Safety Critical Computer Systems: Failure Independence and Software ...
How to review your computer's reliability and problem history in ...
Reliability and Safety Week 7 What can go
PPT - CSE1301 Computer Programming: Lecture 1 Computer Systems Overview ...
Diagnoses and Identification of Faulty Computer and Network Systems ...
Solved Problem 1: Define reliability. What are its major | Chegg.com
Reliability criteria in design and its application.pptx
Windows Reliability Monitor - gHacks Tech News
Solved Consider a personal computer with each item's | Chegg.com
Reliability | PPT
Lec 2 introduction to computer -ii | PPTX
Differences between software and hardware reliability issues in ...
PPT - Reliability and State Machines in an Advanced Network Testbed ...
PPT - Cloud Computing CS 498 Introduction to Computer Dependability ...
SOLVED: For homework, determine the system reliability, Rs, for the ...
Hardware Reliability Examples at Teresa Hutton blog
PPT - File Systems Reliability PowerPoint Presentation, free download ...
Use the Windows Reliability Monitor to See Your Computer's Reliability ...
PPT - Basic System Troubleshooting PowerPoint Presentation, free ...
(Solved) - (Techniques for solving reliability problems). Calculate ...
(PDF) Safety and reliability in computer-based systems
Quality & Reliability in Software Engineering | PPTX
Computer issues - TLE ICT 10 | PPTX
question 3 figure q3 shows the reliability block diagram of a ...
PPT - CS 305 Social, Ethical, and Legal Implications of Computing ...
PPT - Chapter 18 PowerPoint Presentation, free download - ID:4888239
EECE.4810/EECE.5730 Operating Systems - ppt download
Systems Engineering Designing, implementing, deploying and operating ...
PPT - Management Information Systems PowerPoint Presentation, free ...
PPT - CSS490 Fundamentals Textbook Ch1 PowerPoint Presentation, free ...
PPT - CSI2911 and SEG2911 Professional Practice in Computing Pratique ...
PPT - RELIABILITY, MAINTAINABILITY & AVAILABILITY INTRODUCTION ...
Network Reliability: A Quick Guide - Phamox Tech