Showing 85 of 85on this page. Filters & sort apply to loaded results; URL updates for sharing.85 of 85 on this page
How to Save MATLAB Figure with High Resolution #20 | Module 1 | Basics ...
matlab - Saving Figure as High Resolution or Lossless Image that can be ...
Enhance MATLAB image Quality I High Resolution Image I MATLAB - YouTube
Exporting MATLAB figure with high resolution tif file#matlab#learning ...
high resolution figure with Matlab - YouTube
High Resolution Spectral Analysis in MATLAB
High Resolution Spectral Analysis in MATLAB - MATLAB & Simulink
Generate high quality plots with MATLAB - YouTube
How to Save High Resolution(300/600 dpi)/Quality image/figure in MATLAB ...
Increase Image Resolution Using Deep Learning - MATLAB & Simulink Example
How to increase image resolution using MATLAB ?#matlab - YouTube
Capturing a High Dynamic Range Image in MATLAB - MATLAB & Simulink
Image Processing with Super High resolution Image Reconstruction
Upfc File Exchange Matlab Central Stl Resolution Reducer File
MATLAB TUTORIAL for the First Course, part 1.2: Phase Portrait
Figure S9. MATLAB GUI to visualize super-resolution data from ...
Matlab logo, png | PNGWing
Creating high-quality graphics in MATLAB for papers and presentations
MATLAB Logo, symbol, meaning, history, PNG, brand
MathWorks MATLAB R2024a v24.1.0 (Full) ฟรี พร้อมวิธีติดตั้ง - Mawto
Creating high-quality graphics in MATLAB for papers and presentations ...
Matlab for Neuroimagers — Andy's Brain Book 1.0 documentation
matlab Imagesc Grayscale: A Quick Guide to Visualization
MATLAB Help - Hi Res Images - YouTube
Synthetic Image technology Image Quality improvement in Matlab (Super ...
High-Quality Plots in MATLAB Simulink | 300 DPI Journal Figures ...
Mastering Matlab Set Figure Size for Perfect Visuals
Mastering Matlab Resize: A Quick Guide to Image Scaling
如何用 matlab 做高精度计算? - 知乎
High-quality-Figures-using-MATLAB - File Exchange - MATLAB Central
Fast Image Super Resolution via Local Adaptive Gradient Field ...
A single series of resized HDR images as scaled by MATLAB with the ...
Mastering Images in Matlab: A Quick Guide
GitHub - AomanHao/Matlab-Image-Super-Resolution
Matlab: Image plotting resolution/dpi - Stack Overflow
GitHub - gchantas/Super-Resolution-MATLAB-software: This is the code ...
GitHub - kakri/Super-Resolution-Matlab
Image Processing Toolbox in Matlab: A Quick Guide
如何把Matlab图像输出为高分辨率格式 - 知乎
Mastering Figure in Matlab: A Quick Guide
Resize Image in Matlab: A Quick How-To Guide
matlab导出高分辨率图片_matlab保存的图片分辨率太低-CSDN博客
Enhancing Image Quality-MATLAB Techniques & Tools You Must Know
Matlab生成指定分辨率和大小的论文图片 - 知乎
A Low-Order Thermodynamic Chamber Model for Multiphase Compressible ...
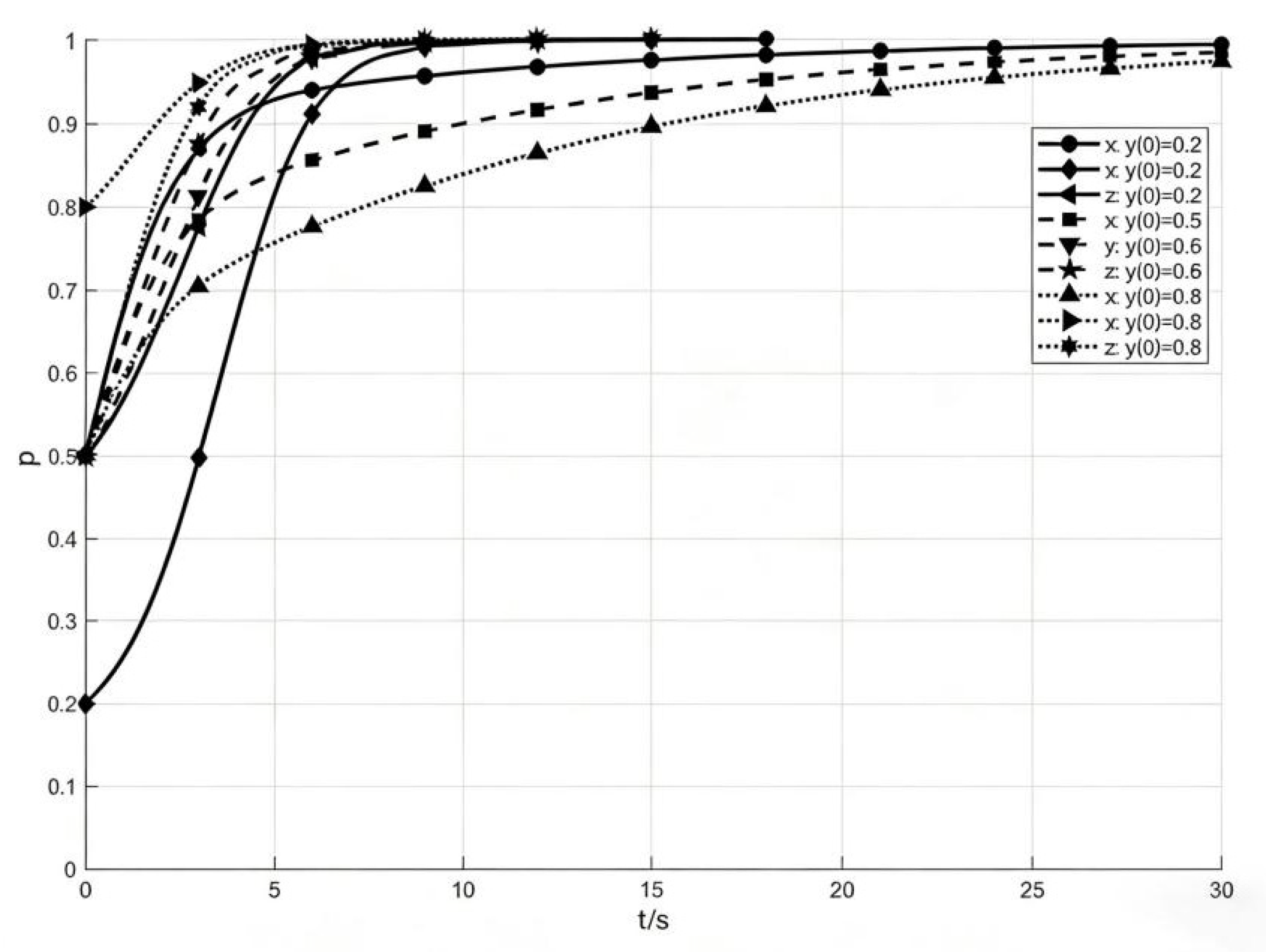
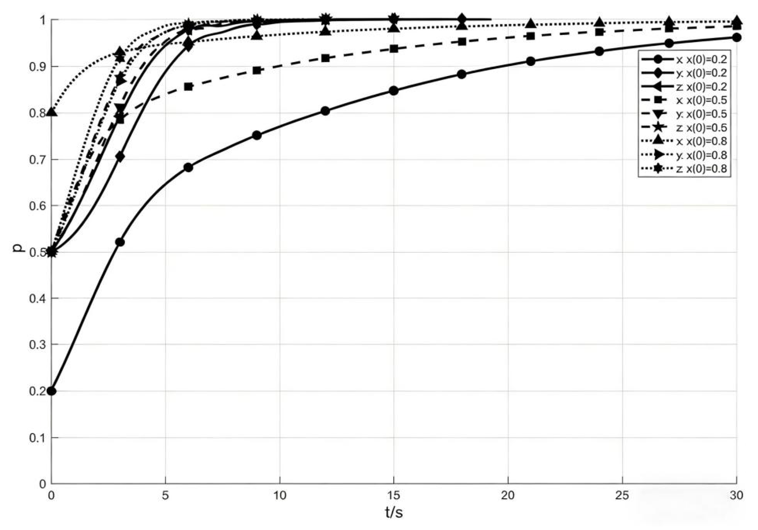
Research on Evolutionary Game and Implementation Strategies for ...
A Comprehensive Finite Element Analysis Approach for Fretting Wear in ...
Design and Analysis of a Colpitts-Type Crystal Oscillator Circuit
Multi-Scale Assessment of Transformer Inrush Suppression by Pre ...
Tom's Hardware - Researchers at OX Security have exposed... | Facebook
Unit V - Spectrum Estimation: Power Spectrum and Autocorrelation ...
Tom's Hardware - Lenovo has raised the prices of its... | Facebook
Construir plugin pyrevit, addin para revit e ferramentas personalizadas ...