Showing 120 of 120on this page. Filters & sort apply to loaded results; URL updates for sharing.120 of 120 on this page
Modelo HSI y su Aplicación en Matlab | PDF | Color | Poco
Block diagram of HSI PHY model implemented in MATLAB | Download ...
Scene Reconstruction for HSI Simulators - File Exchange - MATLAB Central
SOLUTION: Programming in matlab image processing practice hsi color ...
(Solved) - Steps for Converting RGB Image to HSI Image in MATLAB Apply ...
merubah RGB ke HSI dengan matlab
HSI Classification via KBTC - File Exchange - MATLAB Central
deteksi kematangan cabe menggunakan hsi | matlab - YouTube
Tutorial Konversi RGB ke HSI di MATLAB - YouTube
MATLAB 如何将HSI图像转换为RGB图像|极客笔记
GitHub - JacqKevin/HSI_PLSR: Matlab Toolbox for the creation of a PLSR ...
Converting RGB Image to HSI | IMAGE PROCESSING
GitHub - FDU-ctk/HSI-detection: matlab code for hyperspectral target ...
How to Converting RGB Image to HSI Image in MATLAB? - GeeksforGeeks
How to Convert HSI Image to RGB Image in MATLAB? - GeeksforGeeks
HSI MODEL IN COLOR IMAGE PROCESSING | PPTX
matlab hsi图像分割_图像分割之阈值分割(matlab)-CSDN博客
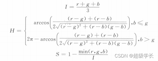
MATLAB 将RGB颜色空间转为HSI颜色空间、LAB颜色空间 原理及程序-CSDN博客
Matlab Image Processing Tutorial includes histograms and imhist - YouTube
Digital Image Processing with MATLAB | IntechOpen
MATLAB 将RGB颜色空间转为HSI颜色空间、LAB颜色空间 原理及程序_matlab 图像rgb转cie-lab实现-CSDN博客
Basic scheme of the HSI modification. Three steps: (1) transformation ...
HSI dictionary learning algorithm with SOMP sample selection - File ...
Conversion Between Color Spaces: RGB, HSI, and HSV Models - MATLAB ...
Procesamiento de imágenes digitales con MATLAB - Brita Inteligencia ...
Block diagram of the 60-GHz IEEE802.15.3c HSI physical layer ...
HSI equations. HSI 1 = (SI 1 SI 2 SI 3 SI 4 ) 1/4 original equation ...
如何在 matlab 中将 RGB 改成 HSI? - 知乎
the HSI Washington DC Mall数据集&matlab读取数据&.mat - 知乎
Convert from HSV to RGB Color Space - MATLAB & Simulink - MathWorks ...
HSI model structure and an example of how CHaMP is implementing ...
RGB 颜色空间转 HSI 颜色空间的matlab程序实现 - mfmdaoyou - 博客园
Reconstructing HSI data from simulated MSI measurements using training ...
The software interface for HSI data analysis and SaO 2 mapping ...
| (A) The schematic of the HSI data cube. The data measured in the HSI ...
The algorithmic steps and software interface for HSI data acquisition ...
基于MATLAB HSI颜色空间的图像美颜系统设计与实现-CSDN博客
基于MATLAB HSI颜色空间的图像美颜系统设计与实现 - 技术栈
Hyperspectral imagery dataset-CSDN博客
PPT - Image Processing Concepts PowerPoint Presentation, free download ...
灰度图、彩色图像直方图均衡化(包含RGB和HSI互转)-《医学图像处理》小作业三-Python代码/Matlab代码_彩色直方图均衡化-CSDN博客
GitHub - LHospitalLKY/Matlab-of-HSI
matlab将RGB图像在HSI空间去噪_利用rgb和hsv去噪-CSDN博客
GitHub - sivertba/HSI_DATA_PROCESSING_TOOLBOX_MATLAB: A Repo collection ...
使用matlab实现图像信号的色彩空间转换_用matlab将rgb空间变换到hsi空间并显示hsi空间的每一个分量的灰度图像-CSDN博客
峰值信噪比&灰度图片&彩色图片&HSI&matlab - 知乎
GitHub - nhanson2/hyperspectral-image-classification-2: Hyperspectral ...
真彩图像与HSI图像转换-附Matlab源代码_matlab pepper-CSDN博客
MATLAB小技巧(15)图像的RGB,HSI,CIE颜色空间绘图_mozun2020的博客-CSDN博客_matlab 彩色图像hsi
MATLAB中颜色模型介绍级各模型之间转换(RGB、HSV、NTSC、YCbCr、HSI)_rgb2hsv-CSDN博客
【图像变换】基于matlab实现HSI和RGB域图像转换附matlab代码_利用matlab对图像信号进行读取,并对rgb空间进行转换,如转换 ...
Test | PPT
GitHub - josgard94/Image-Processing-Convert-chanel-color-HSI-to-RGB-and ...
Matlab图像处理-HSI模型-CSDN博客
RGB通道和HSI通道相互转换——MATLAB实现_matlab中rgb转hsi代码-CSDN博客
MATLAB-真彩色图像直方图均衡化及分别在RGB与HSI坐标系进行处理_直方图均衡化只能处理灰度图像吗-CSDN博客
Solved The Head Severity Index (HSI) measures the risk of | Chegg.com
Mathematica图像处理_Jimbo的博客-CSDN博客_mathematica图像处理
【图像去噪】基于matlab GUI HSI彩色图像去噪【含Matlab源码 1786期】_51CTO博客_MATLAB图像去噪
高光谱图像pca降维matlab_HSI-DeNet:基于卷积神经网络的高光谱图像修复-CSDN博客
GitHub - sabertazimi/hust-lab: Labs for Computer Science: C, Assembly ...
RGB和HSI相互转换 matlab实现 色调域均值滤波_rgb颜色空间和hsi颜色空间相互转换的matlab代码-CSDN博客
Digital Image Processing - ppt download
matlab实验五图像增强灰度图像常用平滑锐化滤波 基于matlab的图像锐化_autohost的技术博客_51CTO博客
PPT - CS6825: Color PowerPoint Presentation, free download - ID:3409155
PPT - Color Image Processing: Fundamentals and Models PowerPoint ...
MATLAB/Simulink simulation results under different loads. A, Results at ...
【数字图像处理实验】RGB与HSI互转、灰度直方图绘制、直方图均衡化、直方图规定化的MATLAB实现与Python实现_rgb图像转hsi公式 ...
Design and Validation of a Custom-Made Laboratory Hyperspectral Imaging ...
01.2 - Mengkonversi Image RGB ke HSI/HSV - YouTube
【Matlab】RGB, HSV 颜色空间绘制_matlab颜色rgb常用-CSDN博客
【图像增强】基于HSI和局部同态滤波的彩色图像增强附Matlab代码_使用hsi变换进行图像增强-CSDN博客
SoftwareToolTech | Applied Remote Sensing Lab
一幅RGB彩色原图和其三个分量的显示,RGB图转换成HSI的显示_从rgb图像当中提取his模型的h,s,i分量图像的matlab程序。并显示 ...
【图像检测】基于分层抗噪声互不相关低秩表示的高光谱图像异常检测附Matlab代码_hsi数据集 matlab-CSDN博客