Showing 120 of 120on this page. Filters & sort apply to loaded results; URL updates for sharing.120 of 120 on this page
Generate Novel Radar Waveforms Using GAN - MATLAB & Simulink
Generate Synthetic Signals Using Conditional GAN - MATLAB & Simulink
Do machine learning and deep learning projects using matlab python gan ...
MATLAB Modeling of High Power GaN PIN Diodes 🔋 | GaN Diode Breakdown ...
GitHub - BandGapAI/gan-1d-matlab: MATLAB source code for GAN 1D research
GitHub - jonzhaocn/GAN-Base-on-Matlab: A implementation of GAN in matlab
Train Wasserstein GAN with Gradient Penalty (WGAN-GP) - MATLAB & Simulink
gistlib - write simple gan for generate clean images in matlab
(PDF) Implementation of simple GAN using matlab deeplearning toolbox
Image Inpainting Based on Patch GAN in Matlab - YouTube
Train Generative Adversarial Network (GAN) for Sound Synthesis - MATLAB ...
Train Generative Adversarial Network (GAN) - MATLAB & Simulink
GitHub - zcemycl/Matlab-GAN: MATLAB implementations of Generative ...
Generative Adversarial Networks - MATLAB & Simulink
MATLAB代码:对于对抗生成网络GAN的风光场景生成算法 关键词:场景生成 GAN 对抗生成网络 风光场景_gan网matlab生成图片 ...
实现照片补全 with GAN IN MATLAB_painting outside the box: image outpainting ...
Large Mask Image Completion with Conditional GAN
GitHub - layumi/2016_GAN_Matlab: Generative Adversarial Nets for Matlab
GitHub - ogemarques/gan-skin-matlab: Example of how to use MATLAB to ...
GitHub - GuanlabLKY/nngan_matlab: Repeat GAN's work on a Matlab environment
Matlab-GAN - File Exchange - MATLAB Central
Monitor GAN Training Progress and Identify Common Failure Modes ...
MATLAB으로 구현하는 GAN(Generative Adversarial Network) - MATLAB
GAN | Generate Your Own Dataset using Generative Adversarial Networks
Understanding GAN Machine Learning: Basics & Applications
matlab GAN实例:二次元人物头像合成 - 知乎
Synthetic Data Generation by Very Basic 1-D GAN - File Exchange ...
训练生成对抗网络 (GAN) - MATLAB & Simulink
Generative Adversarial Network (GAN) in MATLAB - YouTube
(라이브 웨비나) MATLAB으로 구현하는 GAN(Generative Adversarial Network) : 네이버 블로그
Matalb实现基于生成对抗网络(GAN)的图片生成——附代码_matlab gan-CSDN博客
MATLAB实现基于PSO-GAN 粒子群优化算法(PSO)结合生成对抗网络(GAN)进行无人机三维路径规划的详细项目实例-CSDN博客
使用MATLAB源码构建GAN回归预测模型-开发者社区-阿里云
MATLAB으로 구현하는 GAN(Generative Adversarial Network) - YouTube
GitHub - Pranav-Taneja/basic-GAN-MATLAB: This repository holds the ...
生成高斯分布的GAN对抗性网络matlab仿真_matlab gan-CSDN博客
GitHub - happynear/Caffe_Matlab_GAN
简单GAN网络matlab实现 - Jon's blog
CGAN Minst Dataset · Issue #15 · zcemycl/Matlab-GAN · GitHub
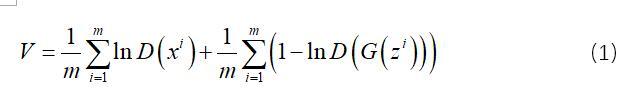
有图有真相 MATLAB实现基于GAN-LSTM生成对抗网络(GAN)结合长短期记忆网络(LSTM)进行时间序列预测(代码已调试成功,可一键 ...
多元回归预测 | Matlab生成对抗网络(GAN)数据回归预测,GAN回归预测,多输入单输出模型_对抗生成神经网络多元回归预测-CSDN博客
基于MATLAB实现(训练)GAN(附原理和代码)_matlab gan-CSDN博客
【免费】基于1D-GAN生成对抗网络的数据生成方法(附Matlab代码)_gan网络数据增强-CSDN博客
基于1D-GAN生成对抗网络的数据生成方法研究(Matlab代码实现)-CSDN博客
无监督式GAN(infoGAN) matlab实战_gan matlab-CSDN博客
GAN之生成对抗网络(Matlab)_matlab示例gan-CSDN博客
GAN网络matlab实现 - Jon's blog
Generator in GAN: Purpose Explained 2025
图像生成算法 | Matlab基于生成对抗网络(GAN)的图像生成算法 手写数字数据集_gan,matlab,图像-CSDN博客
Generative Adversarial Network (GAN) | GeeksforGeeks
Channel_Estimation_cGAN/Data_Generation_matlab/Gan_Data/Gan_0 ...
GitHub - houhuaren/GAN_Principle: GAN网络是近两年深度学习领域的新秀,本文旨在浅显理解传统GAN,分享学习 ...
GAN生成对抗网络的改进算法—Wasserstein-GAN(WGAN)_进阶完整源码(Matlab/Python)-CSDN专栏
【GAN架构】GAN与transformer模型:比较架构和用途
GAN史上最全基础入门总结_gan入门-CSDN博客
GitHub - nhoyh/GAN-based-anomaly-detection
Power Loss Model for GaN-based MHz Critical Conduction Mode Power ...
(PDF) MATLAB/Simulink Based Modeling of n-GaN/p-In0.25Ga0.75N Solar Cell
Generative adversarial networks explained - IBM Developer
GAN生成对抗网络学习笔记_生成判别网络的生成器输入什么-CSDN博客
深度卷积对抗生成网络(DCGAN)matlab实战_dcganmatlab-CSDN博客
【GAN】如何生动有趣地对GAN进行可视化?Google的GAN Lab推荐你了解一下-腾讯云开发者社区-腾讯云
(PDF) Comprehensive Investigation of ANN Algorithms Implemented in ...
gan以及其变种中值得思考部分-CSDN博客
GAN系列的总结_cyclegan的优缺点-CSDN博客
超详综述:GAN在图像生成上的应用 - 知乎
【程序】基于matlab使用循环GAN进行无监督医学图像去噪 - 知乎