Showing 120 of 120on this page. Filters & sort apply to loaded results; URL updates for sharing.120 of 120 on this page
Methods Log revision - LOG Questions - Osakbe2n n S loge. 3 7 marks ...
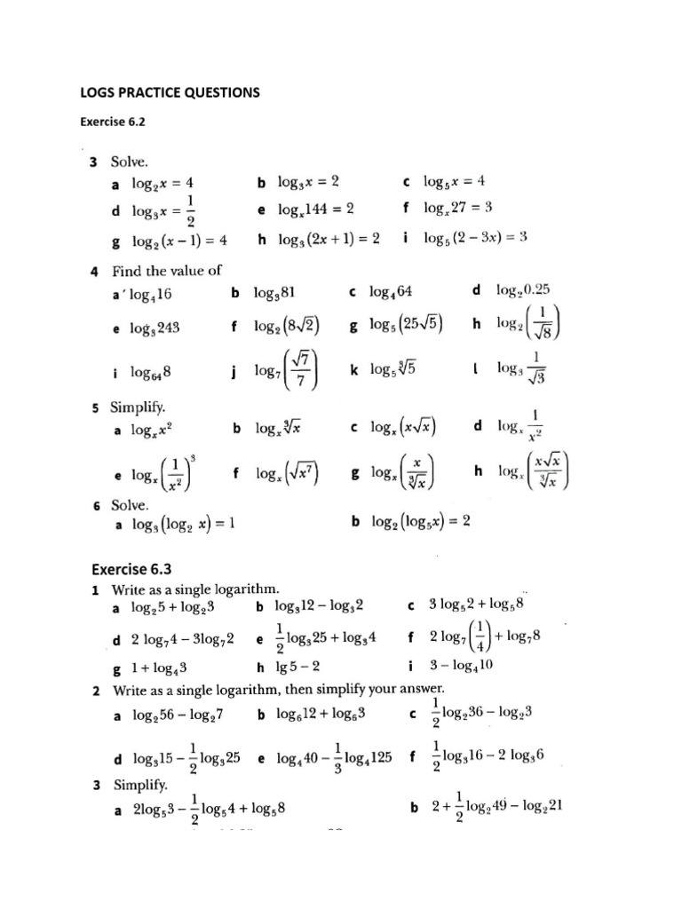
Log Questions | PDF
2. Logarithms - Basic log questions - Logarithms The logarithm of a ...
Log Questions Calculator at Eileen Marvin blog
Examinations Questions in Logarithms | PDF | Teaching Methods ...
How to solve log questions Flashcards | Quizlet
Higher Maths Log Questions + log and exponential graphs | Teaching ...
Log Questions | PDF | Logarithm | Numbers
Log Rules Explained! (Free Chart) — Mashup Math
Logarithm Questions with Answers - Hitbullseye
Exam Questions - Logarithms - ExamSolutions
Log Of Log Rules at Jasmine Parker blog
Questions on logarithms || Logarithms || Exercise 1.1 | Exercise on ...
Log equations worked exam question - YouTube
Logarithms Questions With Answers at Dominic Nanya blog
Simple Logarithm questions
Logarithm Practice Problems Worksheet Logarithm Questions With Answers
Basic Log Worksheet at Brock Clemes blog
Logarithmic Practice Questions - YouTube
Log Practice Worksheet: Mastering Logarithms Made Easy
Quick Revision Logarithms Exam Style Questions - YouTube
Evaluating and simplifying Logs - (Intermediate Log Questions): Quick ...
Log Maths Question - The Student Room
SOLUTION: Log formulas method of solution of log problems grade 9 mcq s ...
Log Question Solution | PDF
Logarithmic Equation Questions Pdf at Maria Ayotte blog
Logarithm Meaning Example Math Methods Studying Math Mathematics
SOLUTION: Example of logarithm questions - Studypool
Queensland Mathematical Methods Unit 3 - Maths Videos Australia
Understanding Log Rules at Erin Hopkins blog
Log question. - The Student Room
How do I find log for these questions. Images: | Chegg.com
How To Calculate Log With Log Table at Sara Sugerman blog
Simple no calculator solution to a common log question #math #loglaws # ...
Log Rules Cheat Sheet Pdf at Carolann Ness blog
A-Level maths log question - The Student Room
(Hard) Log Rules and Equations Quiz - YouTube
Logarithms Questions Form 2 at Norma Shanks blog
Log Rules Practice Problems at Bruce Earnshaw blog
This log question is easier than it looks! - Logarithm question and ...
Log tips? : r/Mcat
Sample complete logarithm questions with tips - Mathmatics - Stuvia US
Laws of Logarithms Questions - Revisely
Logarithms Questions | Teaching Resources
Logarithmic Function Question | fine x at log base 5 (x-7)=1 | log ...
Questions and Solutions Logarithm.pdf
10 + Logarithm Questions and Answers | Leverage Edu
Logs - Logarithms Practice Exam Questions Unit 2 Calculus - Studocu
Log Analysis Basics Virtual Lab | Cybrary
Well Logging Questions and Answers | PDF | Physical Sciences
OpenAlgebra.com: Free Algebra Study Guide & Video Tutorials: Solving ...
Logarithm Laws Made Easy: A Complete Guide with Examples – mathsathome.com
Logarithmic Functions Practice Problems | GeeksforGeeks
Logs Practice Questions-2 | PDF
Logarithm Worksheet With Answers – Ame.my.id
Tips and Tricks to Logarithm Question - GeeksforGeeks
Basic Logarithm Problems at Anna Octoman blog
Solving Logarithmic Equations Worksheet - E-streetlight.com
Solving Logarithmic Equations, Method 1 - YouTube
Logarithm Rules Math Is Fun at Brian Beland blog
Logarithm Worksheet With Answers – Owhentheyanks.com
Math Exercises & Math Problems: Logarithmic Equations and Inequalities ...
Techniques for Solving Logarithmic Equations - YouTube
Evaluating Logarithms Worksheet — db-excel.com
Solving Logarithms Free Video: Solving Logarithmic Equations Step By
Logarithms are fun | Create WebQuest
3 Ways to Solve Logarithms - wikiHow
Easy Logarithmic Equations
Advanced Logarithm Problems – The Math Doctors
04 - Solving Logarithmic Equations - Part 1 - Equations with Log(x ...
Simple Logarithmic Equations
Laws of Logarithms - IB Maths AA Revision Notes
Logarithm Rules. Logarithm Rules and Examples | by studypivot | Medium
Master Logarithmic Equations: Step-by-Step Guide with Examples
Implicit and Logarithmic Differentiation - Worksheets Library
BTec Engineering - Logarithms (PowerPoint and worksheet) | Teaching ...
Exponential And Logarithmic Equations Worksheet With Answers
How To Solve Logarithmic Equations Examples - Tessshebaylo
Solving Logarithmic Equations - Example 1 - Worksheets Library
Logarithm Formula- Explanation, Types, Properties, Examples
[Solved] help please. Question I 3 pts in the logarithm form is: O logs ...
Simple Logarithm Examples with Solutions: Beginner's Guide
Solved Consider the following logarithmic equation. | Chegg.com
13. Sketching Logs and Exponentials – MathsMethods.com.au
(PDF) How Do College Students Solve Logarithm Questions?
SOLUTION: Logarithm question - Studypool
Introduction to Logarithm - GeeksforGeeks
Logs | Study.com ACT& Math Test Prep - Lesson | Study.com
Maths/Logs - Chubby Revision AS Level
Logarithmic Equations Practice at Kaitlyn Corkill blog
PPT - Logs – Solve USING LOGS METHOD PowerPoint Presentation, free ...
Solving Logarithmic Equations - Example 1 - YouTube - Worksheets Library
Applications And Services Logs Windows 10 8 Best Android Emulators for ...
Question on logs. $1 + log_4(x+1)^2 = 4$ | StudyX
Logarithm Examples
Applying the Laws of Logarithms | Studyclix
Answered: 2. Equations a. How do you solve logarithmic equations ...
Logarithm Formula Sheet
PPT - Logging PowerPoint Presentation, free download - ID:5806963
Using the laws of logarithms (example-problem pair) – BerwickMaths
Solve the equations (a) log2 x + log4 x + log16 x=7 - WizEdu
Solving Equations Using Logs | Studyclix