Showing 119 of 119on this page. Filters & sort apply to loaded results; URL updates for sharing.119 of 119 on this page
Solved Find the answer of the following logs. [6] log 104 = | Chegg.com
Crack the Code: Logarithmic Equations Answer Key Revealed
Log Rules Precalc at Heather Kushner blog
Log Practice Worksheet: Mastering Logarithms Made Easy
Answer Key Logarithm Worksheet With Answers - Free Worksheets Printable
Log Rules Practice Problems at Bruce Earnshaw blog
Log Of Log Rules at Jasmine Parker blog
Log Rules Explained! (Free Chart) — Mashup Math
Log Worksheets With Answers
Solved: log y. Next Question Expand the logarithm fully using the ...
[Solved] Can I get the answers please. log , 1=? log , 2 =? log , 4 ...
Logarithms Formula Log Base 2: Logarithm Function, Formulas And
Solving Log Equations Worksheet - Acicabuja
Answer log-functions-b | PPTX
Basic Log Equations Worksheets Solving Log Equations Using Log
Answered: Solve the log equation log2(x + 3) +… | bartleby
Log equations worked exam question - YouTube
Log Answers Expanding and Simplifying | PDF
Solved 11. Solve the equation log (28 - x³)/log(4 - x) = 7. | Chegg.com
Solved: 4. Write 2log 3-log 7-log 11 as a single logarithm. (a) log ...
Logarithms Worksheet With Answer Key printable pdf download
How To Solve Logarithmic Equations On Calculator - Tessshebaylo
Solving Logarithmic Equations | ChiliMath
Logarithm Questions with Answers - Hitbullseye
Solving Logarithmic Equations Worksheet Template
How to Solve Logarithms: Easy Guide (with Examples)
OpenAlgebra.com: Free Algebra Study Guide & Video Tutorials: Solving ...
Solved Example: Solving Logarithmic Equations Solve for | Chegg.com
Simple Logarithm questions
Questions on logarithms || Logarithms || Exercise 1.1 | Exercise on ...
Solving Logarithmic Equations – Explanation & Examples
SOLVED: Expand the logarithm fully using the properties of logs Express ...
Logarithmic Equation Questions Pdf at Maria Ayotte blog
Solved: Expand the logarithm fully using the properties of logs ...
Logarithmic Equations Problems And Answers GET ANSWER] Logarithmic
Logarithmic Functions Practice Problems | GeeksforGeeks
Logarithm Worksheets With Answers Simply Explained: Sequences, Series,
Basic Logarithm Problems at Anna Octoman blog
Logarithm (log) past paper questions for IB Standard Level and ...
Pre-Calculus Honors - Mrs. Higgins
Solving Logarithmic Equations - ppt download
Exponential And Logarithmic Equations Worksheet With Answers
SOLVED:Solve each logarithmic equation. logx^2=(logx)^2
Logarithms Questions With Answers at Dominic Nanya blog
Solving Logarithmic Equations - YouTube
04 - Solving Logarithmic Equations - Part 1 - Equations with Log(x ...
How to Solve Logarithmic Equations - Simple and Easy Method - YouTube
Logarithmic Equations | Definition, Properties & Solutions - Lesson ...
Logarithm Laws Made Easy: A Complete Guide with Examples – mathsathome.com
Answered: log, 343 + 2 log4 - log5 5 256 | bartleby
Logarithmic Equations Worksheet With Answers – Owhentheyanks.com
Logarithm Practice Worksheets
Logarithms Worksheets - 15 Worksheets.com
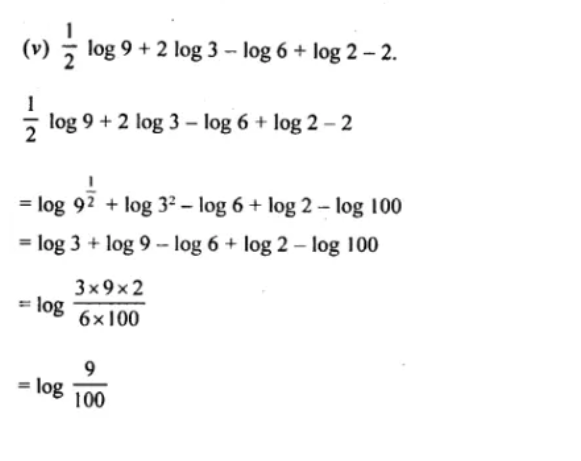
Logarithms ML Aggarwal ICSE 9th Maths Solutions Chapter-9 - ICSEHELP
Logarithm Practice Worksheets Rewriting Logarithms Worksheets
Solving Logarithmic Equations Practice Worksheets with Answers Algebra 2
Solving Logarithmic Equations: Guided Notes and 3 Practice ...
Logarithm Rules | ChiliMath
Solving Logarithmic Equations Worksheet With Answers Solving
Math Worksheet Collection: Evaluating Logarithmic Expressions ...
Logarithms And Logarithmic Functions Worksheet - Printable And ...
Laws Of Logarithms Worksheet
Logarithms Explained Simply at Benjamin Logan blog
Mastering Expanding and Condensing Logarithms with Worksheet Answers
Logarithmic Equations Test at Mark Bateman blog
Solved Solve the logarithmic equation for x | Chegg.com
Logarithms – Formulas, Practice Problems, and Videos | AndyMath
Logarithm: Introduction | What is Logarithm, Rules, Functions ...
Logarithms Rules
Introducing Logarithms
Solving Logarithms Free Video: Solving Logarithmic Equations Step By
Master Logarithmic Equations: Step-by-Step Guide with Examples
Properties of Logarithms Worksheet (with solutions) - Worksheets Library
Answered: 7) Use properties of Logarithms to… | bartleby
The Ultimate Guide: 15 Examples of Graphing Logarithmic Functions ...
Chapter 6: Exponential and Logarithmic Functions - Hartzler University
Solved: Show Examples Expand the logarithm fully using the properties ...
Logs Answers: X y y B y B y B | PDF | Logarithm | Teaching Mathematics
What Are Logarithms ⭐ Definition with Examples - Worksheets Library
Logarithm Worksheets With Answers
Solved Evaluate the logarithm.log7149-27-72 | Chegg.com
Answered: Evaluate each logarithm by using… | bartleby
PPT - Logarithm PowerPoint Presentation, free download - ID:2703948
Simple Logarithm Examples with Solutions: Beginner's Guide
Solving Logarithmic Equations 4
Logarithm Rules Math Is Fun at Brian Beland blog
29 questions with answers in Natural Logarithm | Science topic
Logarithm Worksheet | PDF | Logarithm | Function (Mathematics ...
What is a Logarithm? - Rules, Differentiation, Functions & Properties
Tips and Tricks to Logarithm Question - GeeksforGeeks
Solved Solve the logarithmic equation.log9(x-6)+log9(x-6)=1 | Chegg.com
How to Solve and Graph Logarithmic Functions: 15 Examples with Answers
Answered: Find the numerical value of the log… | bartleby
Introduction to Logarithms
50+ Logarithms worksheets on Quizizz | Free & Printable