Showing 119 of 119on this page. Filters & sort apply to loaded results; URL updates for sharing.119 of 119 on this page
Example Paper 2 Crib JMA - 1A Structural Mechanics Example Paper 2 (1 ...
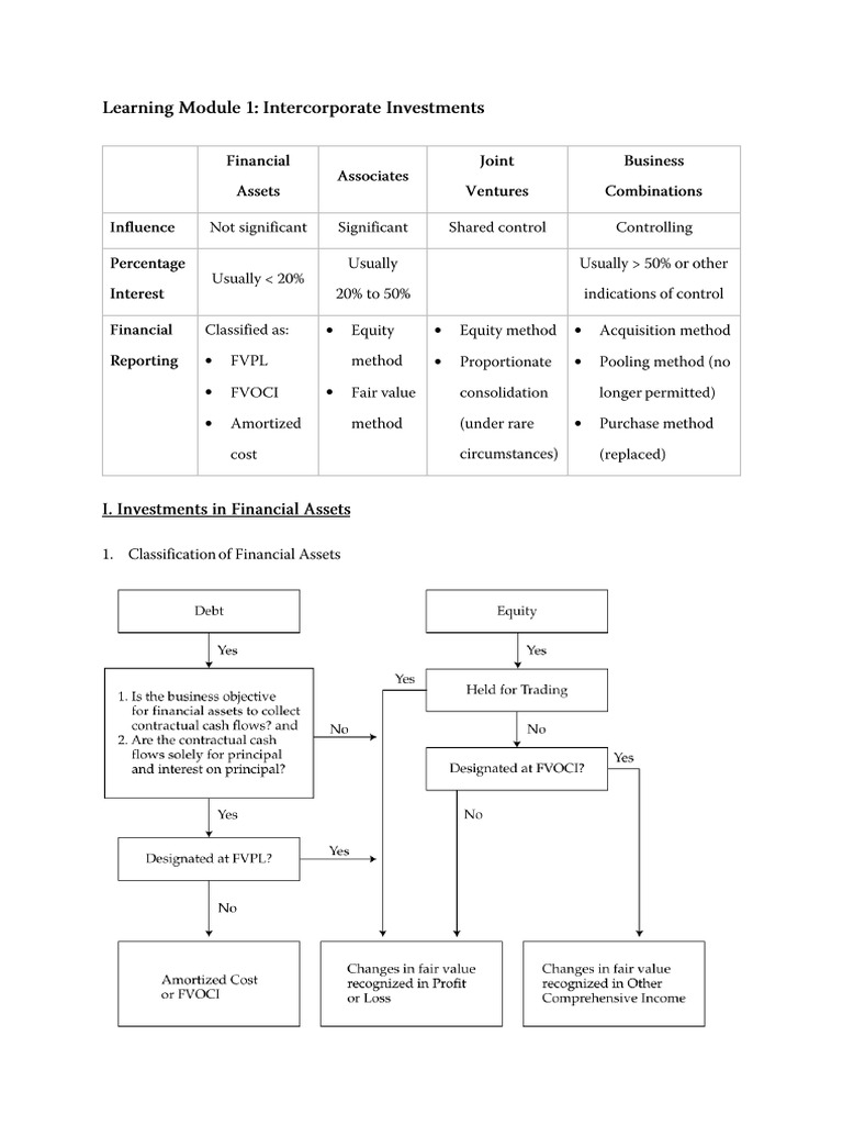
LM1 - LM1 - ANSWER KEYS OF OBJECTIVE QUESTIONS ALL QUESTIONS ARE ...
LM1 Exam Guide: Key Principles Explained | PDF
LM1 Summary | PDF
Lm1 Examination Guide For Exams From 1 January 2023 Until 31 December ...
LM1 Notes - Biochemistry LM Notes: Covalent bonds (shared electrons ...
CII LM1 Exam Questions and Answers Fully Solved Latest Update - CII LM1 ...
LM1 – CII Exam 2025 Questions and Answers 100% Pass - CII - Stuvia US
LM1 Self defense - vxcs - LM 1 Post-test and Assignment only. POST TEST ...
Learning module 1 Din E - LM1 lecture notes - Make sure you read all ...
LM1 LP1.docx - BAYSAC CRISALEE H. BS EMC GD3A Activity Sheet ...
Lm1 Examination Guide For Exams From 1 January 2024 Until 31 December ...
Considered models for normal load-carrying capacity based on the LM1 ...
Lm1 Past Papers: Complete with ease | airSlate SignNow
LM1 Assessment Topic Proposal.docx - LM1 Assessment Case Study Research ...
LM1 CII Module Summary (London Market Insurance Essentials) - YouTube
LM1 Examination Guide 2023 | PDF | Insurance | Reinsurance
LM1 ML01 Unit Structure and Approach NOTES | PDF | Learning | Lecture
lm1 v2 : Paul R. Lowndes : Free Download, Borrow, and Streaming ...
P6 MTP1 January 2025 - Mock Test Paper for Financial & Strategic ...
LM1 Model in EN1991-2 [5] | Download Scientific Diagram
Fig. S4 Schematic diagram for Lm1 and Lm2, C1m - C4m tiles of the DDX ...
Load model for normal traffic (equivalent LM1 vehicle) | Download ...
Examples Paper 4 2021 - notes - Part IA Paper 1: Mechanical Engineering ...
General Paper Examples (Paper 1 and 2) | General Paper H1 - GCE A Level ...
LM1 Study Plan | BTS | Careers Zone
Free MLA Cover Page for Professional Paper Template to Edit Online
LM1 - Topic 13 Activity | PDF
Paper page - LMM-R1: Empowering 3B LMMs with Strong Reasoning Abilities ...
Conditional probability calculation for Lm1 | Download Scientific Diagram
lm1 | PDF | Rocket | Spacecraft
LM1 releases Vol 1 | LM1
Free Printable MLA Format Templates [Word, PDF] Blank Example
Llm 1st sem paper | PDF
Medical Research Paper Structure & Functions
Agreement between measurements. LM1 1⁄4 first linear measurement; LM2 ...
LM1 FROM MARS | Samples From Mars
LM1 Comparison - Sample Journal From Mars by Samples From Mars - Samples
Lm1 Flashcards & Quizzes
LM1 Launch Monitor | Shot Scope
Set D Paper 3 LMR Notes | PDF | Startup Company | Small Business ...
LM1 Study Plan - BTS - Careers Zone
Examples Paper 6 2021 - notes - Part IA Paper 1: Mechanical Engineering ...
LM1 - Mathematics of Investment - PDFCOFFEE.COM
Free One Page Proposal for Research Paper Template to Edit Online
Comparing Two LM1 Drum Machines | Samples From Mars
40 Research Paper Thesis Examples That Simplify Writing
CHEM (10111) - LM1 + LM2 - Notes on the LM1 and LM2 :) - CHEM10111 ...
Layout LM explained - paper reading | Minhaz’s Blog
LM1 2 | PDF
Stream LM1 Comparison by Samples From Mars | Listen online for free on ...
LM1 - Releases Vol 2 | LM1
LM1-Cii-2022_pdf | PDF
Form LM-1 - Fill Out, Sign Online and Download Printable PDF ...
London Market Insurance Essentials (LM1)
LM 1 | PDF
REF#1.docx - LM1: LP1 REFLECTION ESSAY #1 Why is true history important ...
Text, Discourse & Genre: Linguistic Analysis Handout
CIPS L4M1 - Question & Answer Past exam questions latest 2023/2023 ...
Essay Formatting - Writing Guide - LibGuides at Garrett College
Free MLA Essay Template For Google Docs
LM1-Endocrine-system-Woksheet.docx - Endocrine System Worksheet Gross ...
LM1.pdf - For each Learning Module the Instructional Materials ...
Moving Load Cases – MIDAS Support
Language Model: LM1, LM2 and sLM2. | Download Scientific Diagram
How to Apply Load Model 1 (LM 1) on Highway Bridges - Structville
Examples of building typologies used in the LM1_P method. | Download Table
REF#4.docx - REFLECTION ESSAY #4 LM1: LP4 I learned that Andres ...
LM1.6: Exploratory Essay - YouTube
REF#8.docx - REFLECTION ESSAY #8 LM1: LP8 I learned that based on what ...
LM1.6: Exploratory Essay (Fall 2014) - YouTube
CIPS L4M1 - Question & Answer Past Exam Questions Latest 2023/2023
REF#6.docx - REFLECTION ESSAY #6 LM1: LP6 I learned that Leonard Wood ...
How much do LLMs learn from negative examples? | alphaXiv
Examples of time courses of LM1-LM12 for pulses of [L]free with ...
LM1-2021 | PDF | Insurance | Reinsurance
Classic Linn LM-1 Drum Machine Getting Reborn As Luma 1 – Synthtopia
REF#3.docx - REFLECTION ESSAY #3 LM1: LP3 I learned that one of the ...
ComputersinEveryDayLife in pakistan india | PPT
Free Systematic Literature Review Template to Edit Online
LM101 By MB&F: Distilling The Very Essence Of Time – Quill & Pad
KW develops high-performance suspension for the Laffite LM1, the 2.5 ...
APA Format Guide – Library
LM1.24 Examples - Concavity/Convexity/Quasi-concavity/Quasi-Convexity ...
11+ MLA Format Essay Examples to Download
Model Papers-CBE-[OL1 to ML1] - Cost & Management Accounting - ICMA ...
In panel (a), examples of log-likelihood profiles obtained for the α0 ...
LM1.13 - Example: Multivariable function : Min{x+2y,2x+y} - YouTube