Showing 118 of 118on this page. Filters & sort apply to loaded results; URL updates for sharing.118 of 118 on this page
Linux Security Checklist | PDF | Malware | Booting
Linux Security Checklist | PDF
UCD Linux Security Checklist | PDF | Secure Shell | Firewall (Computing)
AusCERT - AusCERT UNIX and Linux Security Checklist v3 | PDF ...
Linux Security Checklist Pdf | Checklist – KPKAWG
Security Checklist Linux | PDF | Sudo | File Transfer Protocol
Linux Security Checklist Overview | PDF
Linux Web Server Security Hardening Checklist - Cyber Gladius
5 Linux Server Hardening Security Tips & Checklist | by Pavankumar ...
Hardening Your Linux Server: A Comprehensive Security Checklist ...
UNIX and Linux Security Checklist | PDF | Secure Shell | Superuser
Securing Linux Networks: A Checklist for IT Security Teams | TuxCare
Comprehensive Linux Security Checklist for CyberPatriot Teams | Course Hero
Manuales y Libros de Informática..: Linux Security Checklist
Linux security and system hardening checklist - Linux Security Expert
Linux Server Security Checklist for Prod, QA & Dev
Linux Security Hardening Checklist for Production Servers - Stonetusker
Linux Privilege Escalation Checklist - Steflan's Security Blog
The 50 Best Linux Hardening Security Tips: A Comprehensive Checklist ...
Linux WorkStation Security Checklist | PDF | Linux Distribution | Password
Linux Foundation's security checklist can help sysadmins harden ...
Linux Security And System Hardening Checklist – IXXLIQ
Security-Checklist-Linux - Linux Checklist Page 1 Basic Security ...
The 50 best linux hardening security tips a comprehensive checklist ...
50 Best Linux Hardening Security Tips: A Comprehensive Checklist ...
Free Computer Science Notes: Linux Security Checklist
Linux workstation security checklist : r/netsec
Linux Server Security Checklist: Must-have | CentLinux
Linux Security Checklist: 15 Best Practices for Hardening Linux Systems
(PDF) 20 Linux Server Hardening Security Tips - NixCraft - DOKUMEN.TIPS
Streamlining Linux Server Security through Automated Patching (Lambda ...
34 Linux Server Security Tips & Checklists for Sysadmins | Process ...
15 Critical Steps to Secure Your Linux Server: Complete Security Guide ...
Linux Security Checklist: A Must-Have Guide for System Administrators
9 Linux Security Tools You Need to Know | Jit
Linux security best practices [ checklist] - Linux Security Expert
GitHub - CAMS-CyberPatriot/Linux-Checklist-1: CyberPatriot Linux Checklist
Linux VPS Security Checklist—CIS Level 1 in 15 Steps
Ultimate Linux Server Security Checklist: Hardening and Best Practices ...
Linux Security Audit: An Ultimate Guide 101
Security Hardening Checklist: 8 Steps for Windows and Linux Servers ...
Linux Security Command Cheat Sheet | LinuxTeck
40 Linux Server Hardening Security Tips [2017 edition]
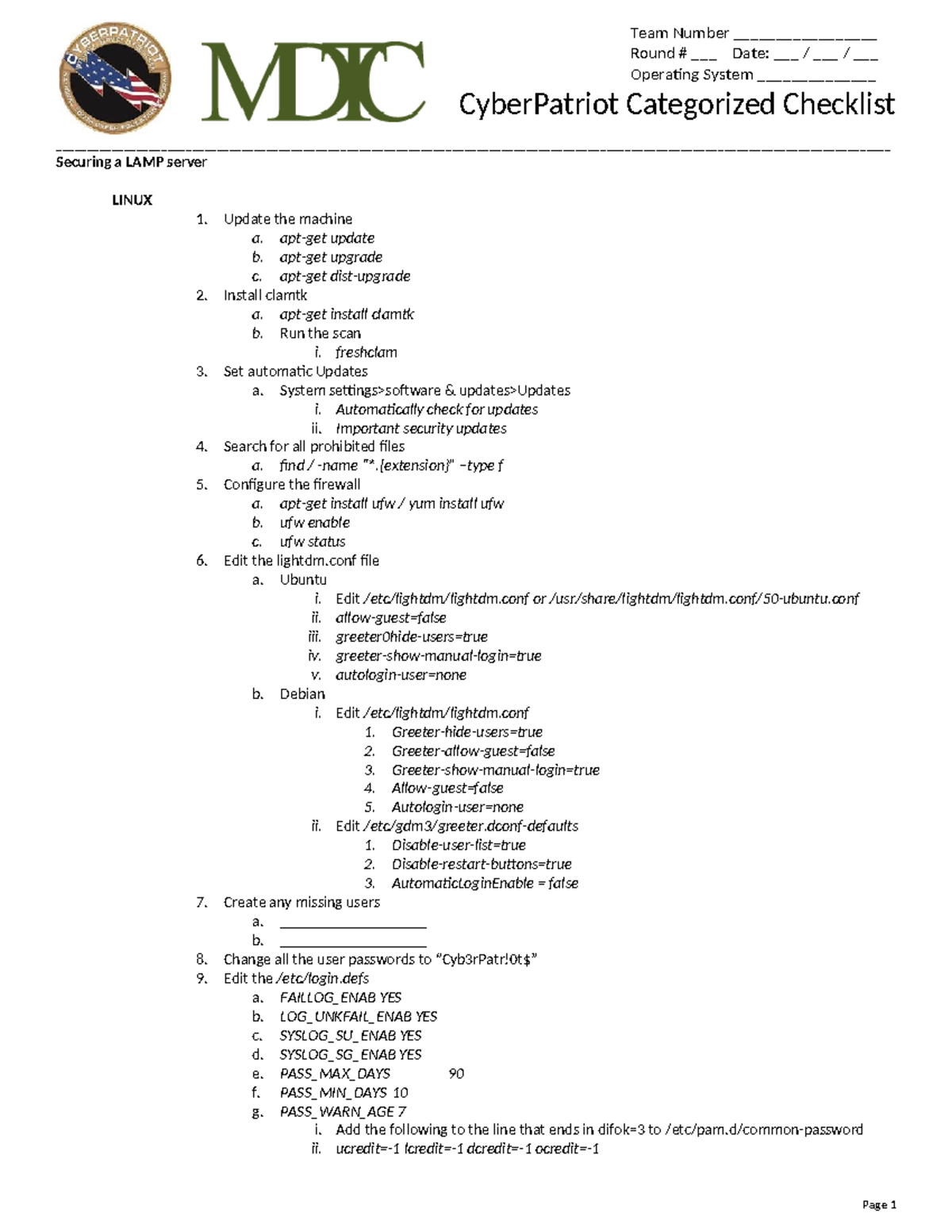
CP CyberPatriot LINUX Checklist for Securing a LAMP Server - Studocu
How to prepare a Linux Audit Checklist | Michael Box posted on the ...
Red Hat Enterprise Linux 7 Hardening Checklist | PDF | Secure Shell ...
Rocky Linux Security Checklist: Complete Hardening Guide | Krython
Red Hat Linux 7 Hardening Checklist | PDF | Secure Shell | Password
Linux hardening: a 15-step checklist for a secure Linux server ...
Linux Server Maintenance Checklist - Linux Stans
Linux Server Security Mega-Checklist
Server Maintenance Checklist for Linux & Windows
Linux server hardening checklist | Valentine (Traw) Nachi posted on the ...
Checklist Seguridad Basica Linux | PDF
Linux Checklist 2.0
Securing Linux Servers: 10-Step Hardening Checklist - Stonetusker ...
26 Essential Security Hardening Tips for Linux Servers
Linux Security Hardening Guide: Tools, Tips, And Best Practices
Linux Server Hardening Techniques: A Beginner’s Practical Checklist ...
Revolutionizing Security in Linux Systems: A Comprehensive Analysis of ...
System Security Assessment Checklist at Marjorie Lockett blog
Linux Security Checkup: Comprehensive Guide to Quick Audit Essentials ...
Cyberpatriot Linux Checklist - DocsLib
The Ultimate Security Checklist - eXemplify - More Than A Technology ...
Linux Security Best Practices for Beginners: Complete Guide | Our Code ...
Linux System Hardening: Top 10 Security Tips, Tools & More
Linux Hardening Techniques to Unleash Ultimate Security
Checklists - Linux Security Expert
Linux Server Maintenance Checklist | PDF
Linux Server Maintenance Checklist Backup everyday not on weekly task ...
Linux Security: Checklist: Installation | PDF | Malware | System Software
Linux Hardening Checklist: Secure Your System Like a Pro (ebook ...
Linux links - DavidontheCloud.com - David Papkin Technical Resources
The Unbreakable Fortress: Your Essential Linux Server Hardening ...
Guía esencial de seguridad en Linux
GitHub - raushanraj/cto-server-security-checklist: Checklist to secure ...
Operating System Hardening Checklist For Cybersecurity PPT Sample
Choosing the Right Remote Access Solution for Your Linux Environmen...
Linux Checklist: 20 Things to Do After Installing a Distro
Linux Hardening | MID Teknologi Digital
Picking the Right Linux Distro for Your Proxmox VMs and Containers (CTs ...
How to Secure Your Linux Server: The Complete Guide | NinjaOne
Linux File Permissions Cheat Sheet
The one page linux manual | PDF
Linux Security: Five Simple Steps to Harden Any Distribution
Enhance Linux System Security: Policies, Checklists & Tools | Course Hero
Linux server hardening and best practices - Linux Audit
Linux 6.17 Security: New Kernel Hardening & Mitigation Controls - ARMO
Found a pretty comprehensive workstation security 'checklist' from the ...
GitHub - asimu27/Linux-Hardening-Checklist: This checklist document ...
Burcu YARAR on LinkedIn: #cybersecurity #infosec #linux #security # ...
Cyveer - 𝗟𝗶𝗻𝘂𝘅 𝗦𝗲𝗿𝘃𝗲𝗿 𝗛𝗮𝗿𝗱𝗲𝗻𝗶𝗻𝗴 𝗖𝗵𝗲𝗰𝗸𝗹𝗶𝘀𝘁 👉 𝗙𝗼𝗹𝗹𝗼𝘄 Cyveer ...
Module 06: Endpoint Security-Linux System - Mantente Seguro
TCP/IP Commands for Linux: A Comprehensive Guide
GitHub - Coding208/Linux-Checklist
SATYAPRAKASH S. posted on LinkedIn