Showing 120 of 120on this page. Filters & sort apply to loaded results; URL updates for sharing.120 of 120 on this page
Contextual Bandits Analysis of LinUCB Disjoint Algorithm with Dataset ...
MAB系列2:Contextual Bandits: LinUCB - 知乎
LinUCB algorithm [9] | Download Scientific Diagram
Contextual Bandits Analysis of LinUCB Hybrid Algorithm with MovieLens ...
Contextual Bandit LinUCB LinTS – MIIDAS Science Blog
Exponentiated Gradient LINUCB for Contextual Multi-Armed Bandits | DeepAI
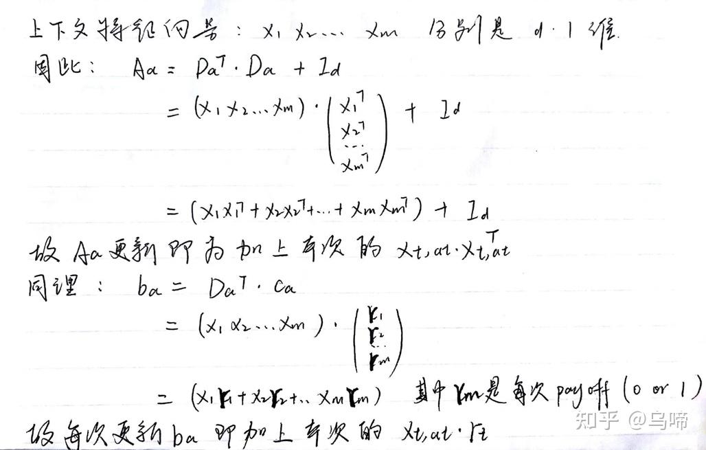
Contextual Bandits: LinUCB - 知乎
Contextual Bandit - LinUCB
6. Contextual bandits - LinUCB algorithm 1 [멀티암 밴딧과 순차적 의사결정, 숙명여대 통계학과 ...
6. Contextual bandits - LinUCB algorithm 2 [멀티암 밴딧과 순차적 의사결정, 숙명여대 통계학과 ...
Truncated LinUCB for Stochastic Linear Bandits | DeepAI
Bandit算法学习与总结(二):Disjoint LinUCB、Hybrid LinUCB - 知乎
Demo: Offline cMAB LinUCB evaluation • contextual
Benchmarking K-Boot, LinUCB and NeuralUCB. Left half: synthetic ...
GitHub - thunfischtoast/LinUCB: Contextual bandit algorithm called ...
在生产环境的推荐系统中部署Contextual bandit (LinUCB)算法的经验和陷阱 - 知乎
Contextual Bandit Survey | PPT
论文|LinUCB论文的思想解读、场景应用与痛点说明_a contextual-bandit approach to personalized ...
Contextual Bandit(LinUCB) - blcblc - 博客园
Dynamic Global Sensitivity for Differentially Private Contextual Bandits
Contextual bandit approach (LinUCB-Hybrid) leads to higher CTR compared ...
Neural Contextual Bandits with UCB-based Explor... - 知乎
GitHub - BartyzalRadek/contextual-bandits-recommender: Implementing ...
Multi-Armed Bandit Strategies: Epsilon Greedy, UCB, Thompson Sampling ...
Frontiers | Hybrid brain-computer interface using error-related ...
bandit_simulations/python/contextual_bandits/analysis/linUCB hybrid ...
Leveraging Contextual Bandits for Personalization - Saavn
Contextual Bandit Learning Reinforcement Bandit Approach To
Online Matching: A Real-time Bandit System for Large-scale Recommendations
A Contextual-Bandit Approach to Personalized News Article ...
PPT - Hierarchical Exploration for Accelerating Contextual Bandits ...
An Overview of Contextual Bandits | Towards Data Science
什么是Contextual Bandit算法 - 智能推荐AIRec - 阿里云
Incentivizing Exploration in Linear Contextual Bandits under ...
PPT - 大数据存储与应用 通过试验学习 PowerPoint Presentation - ID:2004313
Contextual Multi-Armed Bandit Problems in Reinforcement Learning ...
Introduction to Contextual Bandits and Reinforcement Learning. | by ...
GitHub - cfoh/Multi-Armed-Bandit-Example: Learning Multi-Armed Bandits ...
bandit知识分享与总结 - 知乎
Detailed description of the LinUCB-based scheduling method. | Download ...
An Introduction to Contextual Bandits - Mohamed DHAOUI
Contextual Bandit算法在推荐系统中的实现及应用 | 小毛驴
GitHub - akjayant/News-Article-Recommendation-via-Contextual-Bandits ...
Recommender systems using LinUCB: A contextual multi-armed bandit ...
animation: how linear bandit (LinUCB/OFUL) works - YouTube
GitHub - singhsidhukuldeep/contextual-bandits: A comprehensive Python ...
Comparing LinTS, BLTS, LinUCB, BLUCB, ILTCB on 300 datasets. BLUCB ...
GitHub - mcguire-steve/hybrid-linucb: Hybrid Linear UCB Multi-arm ...
Contextual Bandits for Marketing
Simulation and Analysis of Contextual Multi-Armed Bandit Policies ...
[1907.04884] Productization Challenges of Contextual Multi-Armed Bandits
Contextual Bandits — HopML 0.1 documentation