Showing 120 of 120on this page. Filters & sort apply to loaded results; URL updates for sharing.120 of 120 on this page
commutation relation between position and linear momentum operator ...
Matrix Representation of a Linear Operator (method II) - YouTube
Continuous Linear Operator Example at Scarlett Tenison-woods blog
Solved Let L be a linear operator on a vector space V. | Chegg.com
Solved Let T:x→Y be a bounded linear operator from a Banach | Chegg.com
Let L:R2×2→R2×2 be the linear operator given | Chegg.com
Linear operator || examples of linear operator || funtional analysis ...
Solved The operators for position and linear momentum are | Chegg.com
Solved Let L be the linear operator on R3 defined | Chegg.com
Solved Let L:R3→R3 be a linear operator such that | Chegg.com
Linear operator
When Is A Linear Operator | PDF | Eigenvalues And Eigenvectors ...
Solved Let L be the linear operator in R2 defined | Chegg.com
Solved [15pts] Consider a linear operator L:R3→R3.Define | Chegg.com
SOLUTION: Linear operator equations approximation and regularization ...
Solved Let D(T)→H be a linear operator in H. We say that a | Chegg.com
Operators and Linear Operator ||Quantum Mechanics|| M.Sc Physics - YouTube
Solved 1. Linear Operators: An operator is called linear if | Chegg.com
Solved a) Define a linear operator on Rể by performing the | Chegg.com
Solved The linear operator L is defined by L[y]=y′−x1y. | Chegg.com
Linear transformation of a Vector Space | Linear Operator | Linear ...
Solved Let's return to the linear translation operator | Chegg.com
Bounded Linear operator || Example of bounded Linear operator || Linear ...
Solved Linear operator | Chegg.com
#1 MTH641-Functional Analysis Topic(54+55) | Operator | Linear Operator ...
Dental chair, patient and operator position | PPTX
Solved Position operator in a 1D quantum system w(x) х (a) | Chegg.com
Solved 1. Given A is a linear operator defined as: | Chegg.com
Solved 1) What is the definition of a linear operator | Chegg.com
Let L:R3→R3 be the linear operator defined | Chegg.com
Solved Let T be the bounded linear operator from L2[0,1]to | Chegg.com
Solved (a) Determine a linear operator that annihilates the | Chegg.com
Solved Linear operator A=[1223]:R2↦R2. Let | Chegg.com
PDE linear operator for 1 : r/mathematics
Linear operator - Encyclopedia of Mathematics
linear operator quantum mechanics . linear operator example. - YouTube
How Position Feedback Enhances Linear Actuator Precision
The Adjoint of a Linear Operator
Linear Operator Theory | PDF | Vector Space | Ring (Mathematics)
Solved 1. Let X and Ê be the position and linear momentum | Chegg.com
What Is Linear Operator IIT JAM Mathematics | Linear Algebra - YouTube
Example 6 Let T be the linear operator on P _ { 2 } ( R ) defined by \mat..
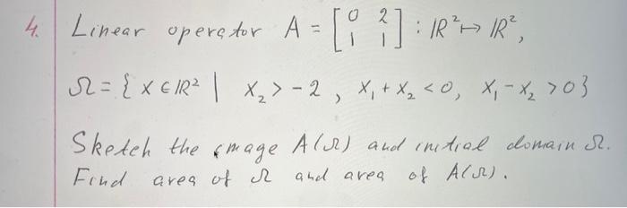
Solved Linear operator A=[0121]:R2↦R2, | Chegg.com
Let $T$ be a linear operator on $ {i}^2$ | StudyX
Solved Let T be the bounded linear operator from L2[0,1] | Chegg.com
Solved Let L be the linear operator on R^(3) defined | Chegg.com
Solved (a) Define a linear operator on R2 by performing the | Chegg.com
3- For inner product space V and linear operator T | Chegg.com
Position and Momentum Operators in Quantum Mechanics - YouTube
What is a Linear Operator? - YouTube
Composition of Linear Operators - YouTube
Solved Linear Operators (1) For each problem, determine if L | Chegg.com
Solved 5.2.1 Linear Operators Definition 32. Let L be an | Chegg.com
Is $L: \mathbb{R}\to \mathbb{R}$ a linear operator? How is it a linear ...
Deriving position and momentum operators in quantum mechanics - YouTube
Solved → V is called a 4. (Review of Linear Operators.) Let | Chegg.com
Show that the operator defined | Chegg.com
Solved 4. Linear Operators: Consider the rotation operator: | Chegg.com
Solved Linear Operators Exercise 5. Let E be a linear | Chegg.com
Linear transformation and application | PPTX
Topic 054 Linear Operators: Operator: in The Case of Vector Spaces and ...
Bounded Linear Operators On Function Spaces and Sequences Spaces | PDF ...
Elementary Linear Algebra Anton & Rorres, 9th Edition - ppt video ...
Semigroups of Linear Operators | PDF | Matrix (Mathematics) | Theory
(a) Using the representation of position operators | Chegg.com
Bounded Linear Operators Explained | PDF | Linear Map | Applied Mathematics
Means of Positive Linear Operators | PDF | Mean | Mathematics
Linear Operators || Part 1 || Linear Algebra - YouTube
Lecture notes 21 - Lecture 21: Linear Operators and Geometry 1 Linear ...
Solved 11. [1p] (a) Linear operators A and B act on a | Chegg.com
Linear Operators - YouTube
Operators | Linear operators | Full Explaination | By Twinkle | - YouTube
Linear Operators
Linear Operators | PDF
Linear Operators Done Right | The n-Category Café
# 07 -Linear operator with four examples - YouTube
Lecture3 LinearOperators | PDF | Vector Space | Linear Map
Solved Determine which of the following are linear | Chegg.com
Solved 2. Given L as a linear operator. A particular set of | Chegg.com
Solved For each of the following linear operators on R2, | Chegg.com
Lecture 8 5 Linear Operators
Solved The functions given below are linear operators on R3. | Chegg.com
Linear Operators and Linear Systems | Cambridge University Press ...
Linear Operators and their Spectra 1st Edition – PremiumJS Store
Solved Is the "Fourier Transform Operator" a linear | Chegg.com
Implementing Linear Operators in Python with Google JAX | by Shailesh ...
PPT - Understanding Linear Operators and Kernel Techniques in Machine ...
Classifying Linear Operators Up To Change of Basis | PDF | Eigenvalues ...
PPT - Computer Graphics PowerPoint Presentation, free download - ID:4310547
Computer and Robot Vision I - ppt download
Chapter 2 Mathematical Tools of Quantum Mechanics Hilbert
PPT - Functional Analysis PowerPoint Presentation, free download - ID ...
Chapter 3 Formalism. - ppt download
PPT - Molecular Mechanics & Quantum Chemistry PowerPoint Presentation ...
PPT - Chemistry 330 PowerPoint Presentation, free download - ID:6013329
OPTICS III, IV: Global Illumination - ppt download
PPT - MAC 2103 PowerPoint Presentation, free download - ID:5324811
PPT - Quantum Mechanics for Quantum Information & Computation ...
PPT - Advanced Computer Graphics (Spring 2013) PowerPoint Presentation ...
PPT - Basics of Quantum Theory PowerPoint Presentation, free download ...
PPT - Advanced Image Synthesis Techniques: Lighting Effects and ...
PPT - Global Illumination PowerPoint Presentation, free download - ID ...
SOLUTION: Basics of quantum chemistry ,schrodinger equation ,operator ...
linear_operator/linear_operator/utils/linear_cg.py at main · cornellius ...
Dip 5 mathematical preliminaries | PPTX
Sushmitha-Linear Operators As Matrices | PDF | Eigenvalues And ...
01. The LinearOperator — PyLops
4.5.3. Schrodinger Equation — Chemistry Lessons with Jupyter Notebooks
Linearity
Solved How to solving [2_2018]Linear Operators. Which one(s) | Chegg.com