Showing 120 of 120on this page. Filters & sort apply to loaded results; URL updates for sharing.120 of 120 on this page
Linear Equation Formula - Derivations, Formulas, Examples
Linear Function Formula - Learn the Formula of Linear Function
System Of Linear Equation Formula at Arnulfo Vandiver blog
How to Solve Linear Differential Equations: Formula and Examples ...
Linear Motion Formula Sheet at Stacy Buxton blog
What Is Linear Equation Formula at Melissa Wolf blog
Linear Element Formula | Linear regression – JVTP
Linear Equation Mathematical Formula at Jackson Nicolle blog
Differential Equations Formula For 12th Class » Formula In Maths
Solved 11 of 13Use linearity and the formula | Chegg.com
Solved Use linearity and the formula ∑j=1Nj3=4N4+2N3+4N2 to | Chegg.com
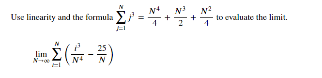
Solved Use linearity and the formula ∑j=1Nj3=N44+N32+N24 to | Chegg.com
How to Calculate Linearity Uncertainty | isobudgets
Classifying differential equations by order, linearity, and homogeneity ...
Algebra I Lesson 13 Linear Equations In Two Variables
Linearity in Circuit Elements: Superposition & Theorems
Equation Examples
Linear Equations - Examples, Formula, How to Solve, PDF
Linear Equations - Definition, Formula, Graph, Examples
Linear Equations
Linear Equations - Math Steps, Examples & Questions
Linear Functions - YouTube
Linear Equations – Definition, Forms, and Step-by-Step Solutions
Linear Equations - Definition, Formula, Examples & Solutions
Parent Functions and Parent Graphs Explained — Mashup Math
Linear Equations - GeeksforGeeks
Steps To Graph A Linear Function - Design Talk
Linear Equation Examples - Tessshebaylo
linear equation ~ A Maths Dictionary for Kids Quick Reference by Jenny ...
Linear Equations Worksheet, GCSE PDFs & Exam Questions
Linear Equation For Dummies
Linear Equation Example
Linear Differential Equation - Formula, Derivation, Examples
What is Linear Function? - Equation, Graph, Definition
Standard Form and Slope Intercept Form of Linear Equation in Two ...
File:Graf of linear equation.png - Wikimedia Commons
Graphing Linear Equations (solutions, examples, videos)
What Is a Linear Equation? And How Do You Graph a Linear Equation ...
10 Examples Of How We Use Linear Equation In Two Variables In Real Life ...
Linear Equations X And Y at Lara Roberts blog
Linear equation - Wikipedia
How to Graph Linear Equations Using the Intercepts Method: 7 Steps
Linear Equations Formula: Derivation & Examples
How to Graph Linear Equations: 5 Steps (with Pictures) - wikiHow
Linearity in Algebra | Functions, Equations & Examples | Study.com
Linear Relationship in Statistics - Statistics How To
Infinite Solutions Linear Equation In
Writing A System Of Linear Equation
Calculating the derivative of a linear function using the derivative ...
Assumptions of Linear Regression: Examples and Solutions
Linearity of Differential Equations - YouTube
Graphing Linear Equations: Linear equations have four different types ...
Local linearity & Linear approximation | by Solomon Xie | Calculus ...
Linear Relationship Definition
What Is Linear In Science at Callum Balmain blog
Linear Equations Examples Worksheet
🔵03 - Linear and Non-Linear Differential Equations: Solved Examples ...
Equations Of Lines
Linear Differential Equations - YouTube
Linear Equation Graph
How to Solve First Order Linear Differential Equations |Engineering ...
Linear Functions 8: Determining Linearity - YouTube
Linear Graph - Cuemath
Linearity, expressed by equation and correlation coeffi cient (R 2 ) of ...
Linear Graph Examples
PPT - Module 1 Introduction to Ordinary Differential Equations ...
Linear Algebra 5: Linear Independence | Towards Data Science
What is Linearity? - YouTube
SOLVED: Linearity marks: What is meant by the linearity of a wave ...
Linear Equation Linearity Graph Of A Function Linear Function PNG ...
Linearity and Local Linearity - ppt download
PPT - Vector Calculus via Linearizations PowerPoint Presentation, free ...
Linearity, equation of the line and correlation coefficient for low ...
Solved Superposition principle and linearity An equation of | Chegg.com
Linearity Of Differential Equations Examples at Alison Mclemore blog
Econometrics I Professor William Greene Stern School of Business - ppt ...
Identifying Parts Of Linear Equations - Free Worksheets Printable
Linearity equation and linear range. | Download Scientific Diagram
Linear Differential Equation Graph at Mercedes Jackson blog
Linear Algebra: Linearity of Matrix
Diagram Linear equation Linearity, solid line transparent background ...
Linear trend equation and forecast - Microsoft Excel 365
PPT - Circuit Theorems PowerPoint Presentation, free download - ID:6615457
Linearity
Linear Graph - Steps, Examples & Questions
Finding The Linearization of a Function Using Tangent Line ...
Nick Popovich, linear Function, linear Equation, linearity, slope ...
Equation graphs showing the linearity between (a) Ie and wj and (b ...
Linear Vs Non-linear Differential Equations with solved examples - YouTube
Linear Definition Video Definitions: Linear Functions And Equations:
Finding the equation of a linear relationship
Calculus AB/BC – 4.6 Approximating Values of a Function Using Local ...
Linearity of differentiation
Linear Relationship Rules | Passy's World of Mathematics
PPT - Section 3.9 - Differentials PowerPoint Presentation, free ...
The Arrhenius linearity equation, R 2 , activation energy (kJ/mol ...
Linearity [SOLVED EXAMPLES] - YouTube
Lecture Linear systems and convolution Linearity Conditions Let
Solved Use linearity and the formulas | Chegg.com
Linearize a Differential Equation - YouTube
Linearity of a general x-ray unit
Linearity range, equation of the regression line, and coefficient of ...
Lecture 3 Module 4 Linearity - YouTube
What Does Linearity Mean in a Balance or Scale?
linear algebra - What exactly is meant by linearity of a transformation ...
Build a Linear Regression Model with scikit-learn | LabEx
Linearity range, equation of linear regression and correlation ...