Showing 120 of 120on this page. Filters & sort apply to loaded results; URL updates for sharing.120 of 120 on this page
EXPLAINATION OF LIFE TABLE EXAMPLE (DEMOGRAPHIC METHODS ...
An example life tables | Download Table
Life Table Example #1 - YouTube
Example Life Table 2 2 .pdf - LIFE TABLE Example Calculating life ...
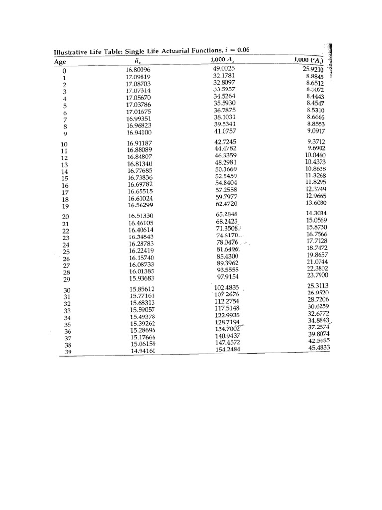
Illustrative Life Table
Life Table Outline What is a life table
Actuarial Life Table - Definition, Types, How It Works
Life Table Construction - Life Table Construction Sample Life Table ...
PPT - Basic Life Table Computations - I PowerPoint Presentation, free ...
What Are The Components Of A Life Table at Andrew Freeman blog
Life table in both abridged and complete | PDF | Science
Life Table Calculations Explained | PDF
Life table in both abridged and complete | PDF
Life Table (Mortality Table) | Anthroholic
Life table basics - YouTube
Life Table and Its Applications - Vital Statistics
Actuarial Life Table - Assignment Point
How To Calculate Life Table at Amelia Truebridge blog
1. Results of estimation -Traditional life table for whole sample ...
Normal Life Table , How to use the Z Table (With Examples) – HUAY
What Are The Types Of Life Table at Leticia Martinez blog
Life Table Applications Some Examples - Elementary Demographic ...
Life Table | Decoration Examples
Life table | PPTX
Construction of life table | PDF
Illustrative Life Table | PDF
lifetableconv - Convert life table series into life tables with forced ...
Life Table Analysis: An Introduction – MIIKME
Estimates of the LBE and LFE Functions | Download Scientific Diagram
1 The procedure for creating life table | Download Scientific Diagram
Life Tables - Sample question - completing a life table - Life Tables ...
A sample life table dataset. | Download Scientific Diagram
Life table - construction and applications | PPT
Life Table & Survivorship curves Prajwal.pptx
PPT - PHA 06: The life table PowerPoint Presentation, free download ...
Formulas and descriptions for life table parameters | Download Table
Introduction to Life Table - YouTube
Life Table in Demography, Types, Formulas, Examples, UGC NET
All about actuarial science: LIFE TABLE
Table 2 from A dynamic extension of the period life table | Semantic ...
Life Table Definition Biology at Lucy Sutcliffe blog
Life Table Notation and Equations Guide | PDF | Mathematics | Applied ...
Life Planning Table Form Excel Template And Google Sheets File For Free ...
Life table | PPTX | Science
Engineering Lifetable | Download Table
Illustrative Life Table Values Notes: The values are from the abridged ...
Life table analysis of the overall data. | Download Scientific Diagram
5 Life Tables Life table Describe the health
Components of a Life Table - YouTube
Important parameters of the life table | Download Scientific Diagram
1. Summary life table indicators and adjustment factors for the basic ...
Life Table Definition | Decoration Examples
L life table | PPT
PPT - Life Tables PowerPoint Presentation, free download - ID:856705
PPT - Lecture 7: Life Tables PowerPoint Presentation, free download ...
About Life Tables - MATLAB & Simulink
PAPP101 - s07: Life Tables (I)
Life Expectancy Tables Introduction To Model Life Tables | Tools For
PPT - Population Dynamics PowerPoint Presentation, free download - ID ...
“Life Expectancy” – What does this actually mean? - Our World in Data
Life Tables
PPT - Life tables, cohort-component projections PowerPoint Presentation ...
PAPP103 - S01: Demographic models: model life tables
PPT - Life Tables PowerPoint Presentation, free download - ID:6697825
PPT - Life Tables PowerPoint Presentation, free download - ID:14038245
Life Expectancy Tables. Actuarial Life Tables
Intro to Life Tables - YouTube
PPT - Life tables PowerPoint Presentation, free download - ID:1090649
Introduction to life tables • demCore
Life tables | PPTX
AP Environmental Science
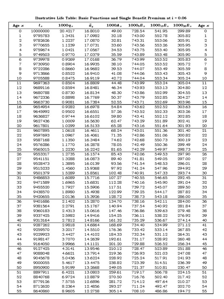
Illustrative Life Table: Basic Functions and Single Life | Course Hero
Life tables
Life tables summary - LIFE TABLES PATTERNS OF POPULATION When a species ...
How IRS Life Tables are Critical for Estate Planning
PPT - More about Life Tables Note that the calculations we’ve done thus ...
Life Table-1: Concepts, Calculations, and Importance Explained - Studocu
Exploring the life tables procedure - Smart Vision Europe
Introduction To Life Tables | Decoration Examples
PPT - Life Tables PowerPoint Presentation, free download - ID:541858
Life Tables Calculations: Excel Guide for Analyzing Mean Life | Course Hero
PPT - Life History PowerPoint Presentation, free download - ID:2077214
Appendix A — Life Tables, Markov Chain and APIs – Health Metrics and ...
Chapter 2-Life Tables | PDF | Mathematical And Quantitative Methods ...
Lesson 3: Life Tables — MEASURE Evaluation