Showing 118 of 118on this page. Filters & sort apply to loaded results; URL updates for sharing.118 of 118 on this page
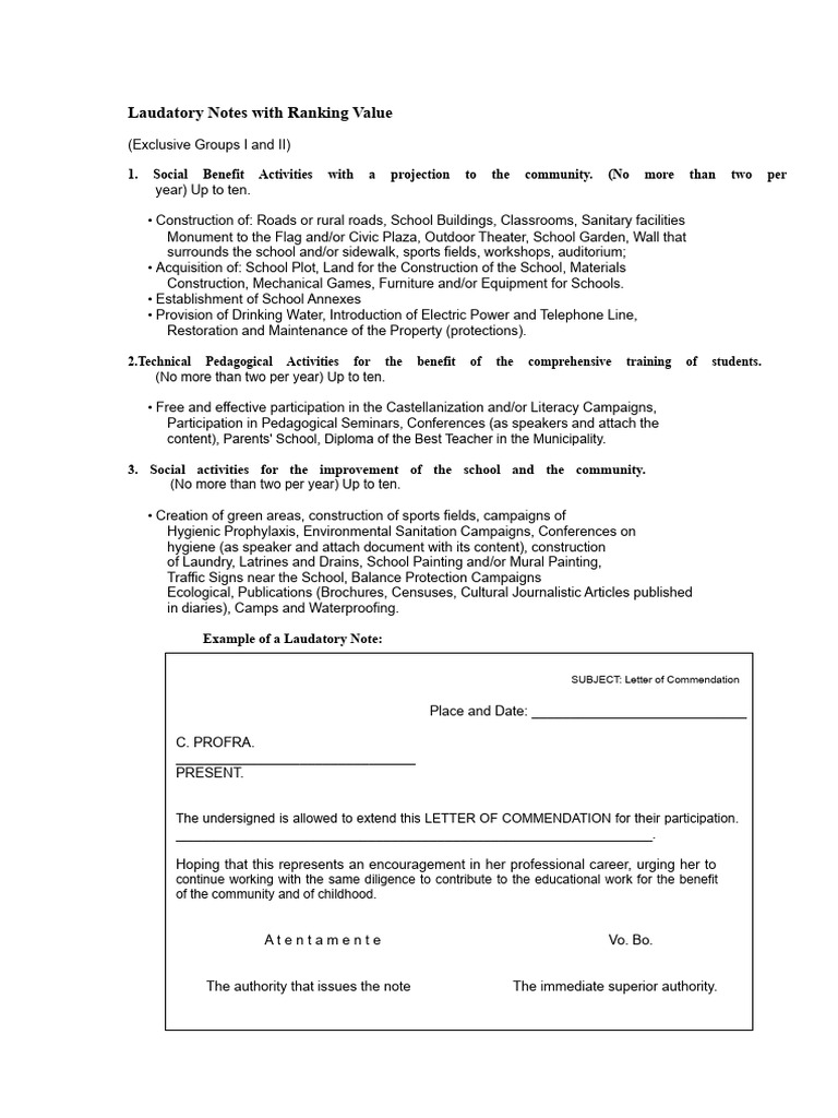
Example of A Laudatory Note | PDF | Sanitation | Environmental Engineering
Laudatory Trademarks: Descriptive or Suggestive in Nature?
LAUDATORY in a Sentence Examples: 21 Ways to Use Laudatory
Pronunciation of Laudatory | Definition of Laudatory - YouTube
laudatory - YouTube
Difference Between Laudatory vs. Suggestive Trademarks
Laudatory — LAUDATORY definition - YouTube
Laudatory speech for prof.dr. Amartya Sen, Conferring
Branding 101 – Laudatory Trademarks: Are they worth the effort ...
Laudatory | meaning of Laudatory - YouTube
laudatory แปลว่า?
525 Laudatory Stock Photos, High-Res Pictures, and Images - Getty Images
An Anonymous Laudatory Poem in Honor of Basil I, Dumbarton Oaks Papers ...
What does laudatory mean? - YouTube
How To Pronounce Laudatory | What Is The Meaning Of Laudatory - YouTube
Laudatory meaning in Hindi | Laudatory ka kya matlab hota hai | daily ...
How To Say Laudatory - YouTube
Laudatory - Improve English - Meaning and 5 sentences - GRE / CAT ...
LAUDATORY Synonyms: 333 Similar Words & Phrases
What does laudatory mean - YouTube
Define Laudatory, Laudatory Meaning, Laudatory Examples, Laudatory ...
Laudatory hi-res stock photography and images - Alamy
Laudatory Life - Spectacular T-Shirts, Apparel, Accessories
Laudatory Definition & Meaning | Britannica Dictionary
Laudatory poem Crossword Clue Answers
Laudatory - Definition, Meaning & Synonyms | Vocabulary.com
Laudatory Images - Free Download on Freepik
Laudatory Meaning - YouTube
Good Job Motivational Laudatory Quote Poster Stock Vector (Royalty Free ...
William Hogarth, Laudatory Medal – Timothy Millett Limited – Historical ...
Calamus" Included and Excluded from 'Poems,' and Assessed as Laudatory ...
Peace Education in The 21th Century: Laudatory Speech | PDF | Peace ...
Antonio Canova Laudatory Medal By Francesco Puttinati 19th Century ...
How to pronounce laudatory - YouTube
laudatory Meaning in Hindi। Vocabulary। @competition3485 - YouTube
Laudatory Word Meaning And usage #laudatory #vochub #shorts#short # ...
Solved: Supervisor: “Please write a laudatory note about your customers ...
How to Pronounce laudatory - American English - YouTube
More 180 Laudatory Synonyms. Similar words for Laudatory.
Laudatory - Meanings Pronunciation Examples and Synonyms - YouTube
Laudatory Triptych of Antwerp | Joris Minne
Laudatory | Laudatory meaning | commendable | praise | Learn English ...
What does Laudatory mean? | What is Laudatory ? | Laudatory meaning in ...
A Critical Analysis on Laudatory Trademarks - Also, to examine the ...
Laudatory Definition, Meaning & Usage | FineDictionary.com
Laudatory words hi-res stock photography and images - Alamy
the correct pronunciation of laudatory in English. - YouTube
Arthritis Foundation laudatory memo | PDF
Renner | Laudatory Speech for the Egon- Matzner-Price 2023 | Der ...
Annotations of Literature Review Example | PDF
laudable, laudatory | law
Supervisor: "Please write a laudatory note about your | Chegg.com
Laudatory | IELTS words | English Vocabulary - YouTube
(PDF) Publisher Support for Self-Archiving: Laudatory or Predatory?
Laudatory poem to Cristoforo Moro | V&A Explore The Collections
Good Job Motivational Laudatory Quote Poster : image vectorielle de ...
Written Literature Review Example | PDF | Literature Review | Thesis
Laudatory Terms – Super Trademarks or Not Worth the Trouble? | Dorsey ...
Duke of Wellington Laudatory Medal – Timothy Millett Limited ...
5+ Easy and Simple Literature Review Example Template | Template ...
Excellent Literature Review Example | PDF | Information | Literature Review
Laudatory Lavisher by Laudatory Life
Laudatory Synonyms | Synonyms & Antonyms Wiki | Fandom
Laudatory Photos and Premium High Res Pictures - Getty Images
Example of review sentences' alignment to sub-ratings | Download ...
laud - verb- praise highly - tán tụng laudatory -noun-
An Extremely Laudatory Oral History of Your High-School Theatre Program ...
PPT - Tone Words PowerPoint Presentation, free download - ID:2061823
PPT - Rhetorical Strategies PowerPoint Presentation, free download - ID ...
PPT - Tone Words PowerPoint Presentation, free download - ID:2681608
PPT - Put in a Good Word PowerPoint Presentation, free download - ID ...
PPT - Most commonly used Act words PowerPoint Presentation, free ...
PPT - English 2p PowerPoint Presentation, free download - ID:6541867
RC TONES.pptx
What Does Self-Laudatory Mean For Lawyers - Snyder Law Group, P.C ...
PPT - Earnest PowerPoint Presentation, free download - ID:1999095
Private Hospitals & Medical Clinics (PHMC) Advertisement Regulations In ...
(영문/한글) 공식적으로 인정 받는 훌륭한 인물에 대한 찬사문(Laudatory Letter to a Publicly ...
laudatory_百度百科
【英単語】laudatoryを徹底解説!意味、使い方、例文、読み方 – おもしろい英文法
Explicación detallada de “laudatory”! Significado, uso, ejemplos, cómo ...
Laudable | Word Genius
EUIPO Guidelines
Between the Bars : Rules Violation Report — Pablo Piña
Kindle Books, Skuut Bikes, Step2 Kitchen, KitchenAid Mixer, Pilgrim Hat ...
【英単語】laudatoryを徹底解説!意味、使い方、例文、読み方
Character letter for inmate Sample Template in Pdf & Word | Character ...
What's the Meaning of "Inept"? - English Plus Podcast
I found this "laudatory" building offered by Americans to west Germans ...
Free Service Proposal Templates for All Types of Services
trademark | PPT
GitHub - hainguyen0990/laudatory_2024
Literature Review: Enhancing High School Writing Skills & Practices ...
Thumbs up. A young girl holds her thumb up. illustration of the concept ...
How To Use "To Whom It May Concern" in Letters (Examples)
Praise song for_my_mother | PPTX
Inauguration ceremony - orientation-philosophy.com
Compare Laudato Si - Laudato Si’,is an encyclical letter issued by Pope ...
PPT - Tone/Voice PowerPoint Presentation, free download - ID:1360751
14+ Literature Review Examples
Solved Part B FE Review Questions on Ethics 60% of HW | Chegg.com
How To Set Your Chronograph & Use The functions - YouTube
Toondefinitie & Voorbeelden | Tone in Literature | Literaire Termen
Professional Cdcr Memorandum Template Doc - Tacitproject