Showing 120 of 120on this page. Filters & sort apply to loaded results; URL updates for sharing.120 of 120 on this page
5cd - just basic lab material for reference - 22bds0410 Dharenish ...
bio chem lab 5cd - celB-GFP and western blotting Jose Rios Abstract ...
#11 Lab 5CD.pdf - '-Ft\ Lob 50D \mflififl* o Mallard \X/&Lu\ow O 0 1000 W ...
J.Hernandez Lab 5CD.pdf - Jennifer M Hernandez | Course Hero
Simulation of Lab 5 Disc A: Static 2 Study with Solidworks | Course Hero
Lab 5 | PDF
Circuit design Copy of LAB 5 CD | Tinkercad
SOLUTION: Lab 5 axial skeleton sp 24 edit 1 - Studypool
Lab 5 template Lab 5 - Your Name - MAT 275 Lab The M.docx
SOLUTION: Lab 5 - Studypool
Lab 5 Dielectric Constant of Paper PHYS 152 Laboratory Manual 2022 ...
Lab 5 Carbohydrates - Idk - BIOC 2580 - Studocu
Lab 5 Ecd 190994 | PDF
LAB5 CSI2372 A F201 - Lab 5 - 1 LAB 5: Classes Thursday October 24th ...
Understanding Resistance in Electronics: Lab Tasks & Analysis | Course Hero
Lab Design vs. Lab Build – Key Differences & Why Both Matter
Lab05 - Lab 5 - Lab 5: Data Structures GLYDEL, PADILLA R ENGR 1330 ...
Lab 5 1406 Modified for online - Lab 5: Enzymes and Metabolism Overview ...
Report for lab 7(2) | PDF
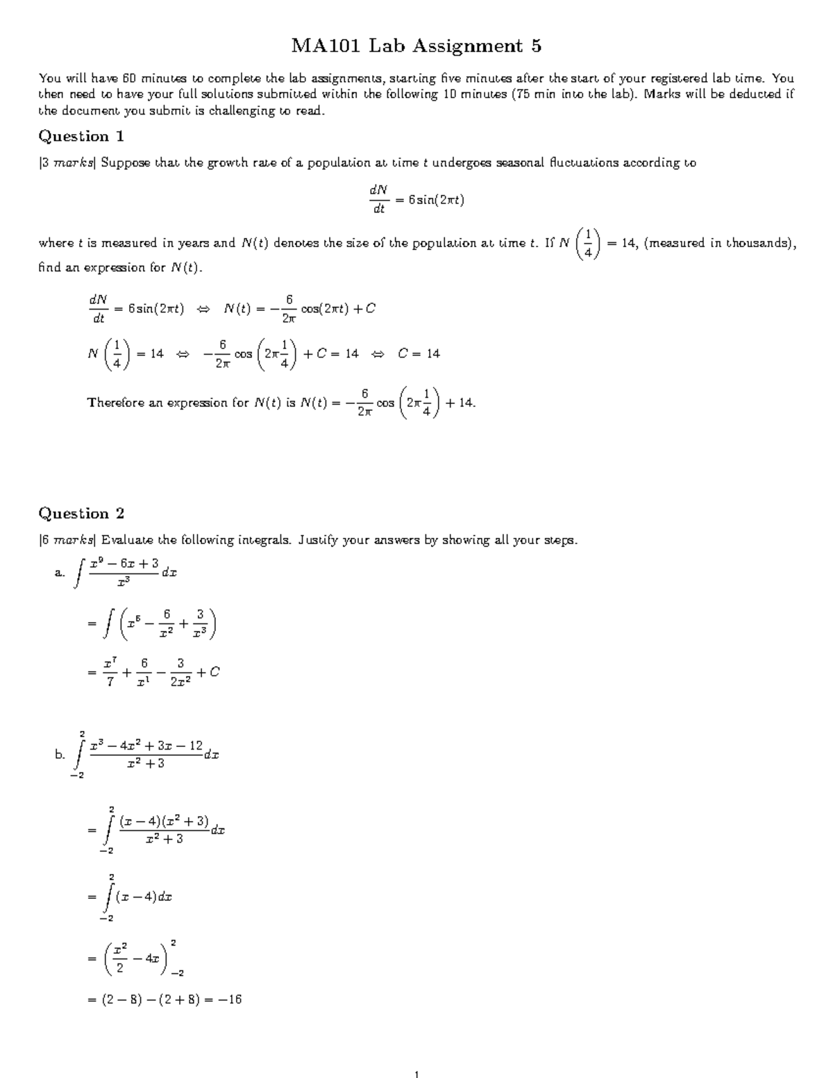
Lab 5 Solutions - MA101 Lab Assignment 5 You will have 60 minutes to ...
5CL Lab 3 Worksheet.pdf - 5CL Lab 3 Katherine Gomez WHEN FINISHED ...
Ninm Lab Bluetooth CD Player Review & How To Buy | Previewer | Previewer
SOLUTION: Owens chm105 report sheet lab 5 chemical reactions and ...
5.5CD Mixtures and Solutions STAAR Weekly Assessment by The Science Lab
U2 - How To Dismantle An Atomic Bomb (20th Anniversary): 5CD Super ...
SOLUTION: Module 5 lab report submission file - Studypool
Lab 5: Histology of Epithelial Tissues - Pre-Lab Questions & | Course Hero
Yahoo!オークション - エレクトリック・ライト・オーケストラ 5CD SET ...
Lab 5.3.pdf - | Course Hero
Lab 15 - Complete lab with lab assignments. - A&P I Lab 5 Summer 2021 ...
Lab05 1 .pdf - Lab 5: Data Structures Kirkley Madeleine R11889682 ENGR ...
Lab 5 - Handout.docx - Name: ANTH 2230L - Lab #5 PRIMATE OSTEOLOGY DUE ...
Lab 5.pdf - | Course Hero
R Lab3 - Summary Trace Sys &Forensics - LAB 3 Lab 3 Creating a Mini ...
BIOD 171 LAB 5 NOTEBOOK TESTING BACTERIA FOR ANTIBIOTIC SENSITIVITY ...
Lab-5 Datasheet Faizan.docx.pdf - Lab - 5 Datasheet Circuit Analysis ...
Lab-Module 5.docx - LAB CSVC MODULE 5 CTO97-3-3 202205 Module 5 ...
Lab Coats for Chemistry and Scientific Research - Genius Lab Gear
Opto Pure - Huk Lab Disc Golf - Only the Best Discs - Latitude 64 ...
Lab 5 - Download the lab document, complete the interactive, answer ...
Lab5D - Written out by the lab instructor prof. David D - NEW YORK CITY ...
Lab 533 | PDF
Physics 5C Lab | PDF
Lab - Lab 1 assignment solution - Working at the Command Prompt From ...
BIO 205L RS Lab11Antimicrobial Lab Worksheet Online Tradonline - Name ...
Photosynthesis Lab Quiz at Edna Cox blog
The LAB Experience (CD) | The LAB Experience | OSKAR Records
Week 5 Lab assignment - Week 5 lab - Week 5 Lab Assignment Name ...
CD Lab File | PDF
Medical Laboratory technology Lab Manual for MLT students | PDF
Lab5.pdf - Lab 5 for Math 2373 In this lab you will learn about m-files ...
CD Lab Viva | PDF
SOLUTION: Lab 5 worksheet telecommunication - Studypool
Lab 5 report - Adeliyah Berio Sebastian Lagos BIOL-1500 DO March 2024 ...
lab 5 work.pdf - | Course Hero
Lab 5 - Enzyme Experiment Spring 2023 Stable - Lab 5: Characterizing ...
Lab 5-Bio 2 - Graded lab number 5 answers - BIOL 1107 - Studocu
Lab 5 Tissues - Lab Report | PDF | Epithelium | Connective Tissue
BIOD171 Lab 5 Notebook.pdf - Lab 5 Notebook Back to Home Page Title ...
Lab 5 Environment in the Media - Biol 1001 W 2022 - Handout #1 ...
Computer Fundamentals Lab Report#5 | PDF | Computer Programming ...
lab 5.5.pdf - | Course Hero
Lab 5 Overview - Lab 5 Overview In the lecture activity steps 1-3 we ...
lab 色差 – 色差lab值 – QAFMK
Cath Lab RN Job in Lake Worth, FL (1908283)
Lab Record CD - errfre - LAB MANUAL KCS-552 COMPILER DESIGN LABORATORY ...
Lab5 - lab - 10/11/23, 9:05 PM Lab5temp_152_23C - Studocu
Lab Reporting Software | Create Custom Reports in Any Format
LAB 5 Respiratory System | PDF
Ninm Lab Bluetooth CD Player | Cd player, Cd, Bluetooth
Lab 5-1 | PDF
Practical Lab Week 5 | PDF
CHEM-330 Lab 5 - worksheet for that adds to the final project - Lab 5 ...
Lab 5 Worksheet - Lab 05: Iterations, Conditionals Data 8 Discussion ...
Fluid mechanics Lab Report | PDF
Difference Between Lab Coat And Lab Gown at Amanda Okane blog
Lab 5: Joints - Lab Flow and Dissection Steps for Students | Course Hero
PHYS 1080 Lab 5 - PHYS 1080 Lab 5: Diffusion Part A: Diffusion in Hot ...
J.hernandez Lab 7 A.pdf - | Course Hero
Lab - Abc - education - Studocu
Chemical Formulas Experiment 5 Lab Report at James Ivery blog
Lab 5 Report.pdf - | Course Hero
Networking Lab Report | PDF
2010 lab 5 introduction 2022 - BIOL 2010U Laboratory 5 Reflexes and ...
Lab 5 - This is the virtual lab report for the lab 5 - Lab Report 5 ...
(HSG-MEA-5CD)ALA HARP SLICE GRID HSD-5 FOR MEA SYSTEM - NeuroLabParts
CD_Lab/Lab_Test/Section2/Output.docx at master · amg10/CD_Lab · GitHub
Sony 5 Disc Cd Player Troubleshooting: Fix Common Issues Easily
Laboratory 5 Answers | PDF | Teaching Methods & Materials | Computers
5CD-AI/Vietnamese-lmms-lab-LLaVA-Video-178K-gg-translated · Datasets at ...
Wheelock CH-DF1-WS-24 Strobe Chime 1.5CD 103237 18-31VDC Fire Alarm Al ...
Laboratory 5 3D - TurboSquid 2283264
CN-CSET-207-Lab 5 Assignment 1 | PDF | Routing | Router (Computing)
5 S Laboratory.pptx
CRI414L LABORATORY 5.docx Lab5 | PDF | Bullet | Cartridge (Firearms)
SOLUTION: Cm1 cu5 laboratory automation ppt - Studypool
Laboratory 5 Worksheet.docx - Fall 2017 Laboratory 5 Worksheet ...
Laboratory 5 Examining Cells - Laboratory 5 1 Examining Cells All ...
🍭 KAWAII LAB.、ベスト盤の収録曲公開!2月11日リリース - Pop'n'Roll(ポップンロール)
Lab5.pdf - | Course Hero
Laboratory 5 Capacitance Assignment Sheet.pdf - Laboratory 5 ...
Laboratory 5 Elective 2 - ECEN 106 - ELECTIVE 2 Laboratory 5: Sampling ...
ENGR_151_Lab_5_Report_DBrigham | DOCX