Showing 119 of 119on this page. Filters & sort apply to loaded results; URL updates for sharing.119 of 119 on this page
How does an LLM sample a sentence#largelanguagemodels#sampling#sentence ...
How LLM sample by hand? | Tom Yeh posted on the topic | LinkedIn
You don't need to look LLM sample anywhere. When you see the sample ...
LLM Sample Application 2025 | PDF
Sample Research Paper On LLM | PDF
GitHub - kouichiUme/llm_sample_application: llm application sample ...
AILET LLM Sample Papers: Download PDF | CollegeDekho
CLAT LLM 2024 Sample Paper
Progress on LLM Sample Complexity Before 2026
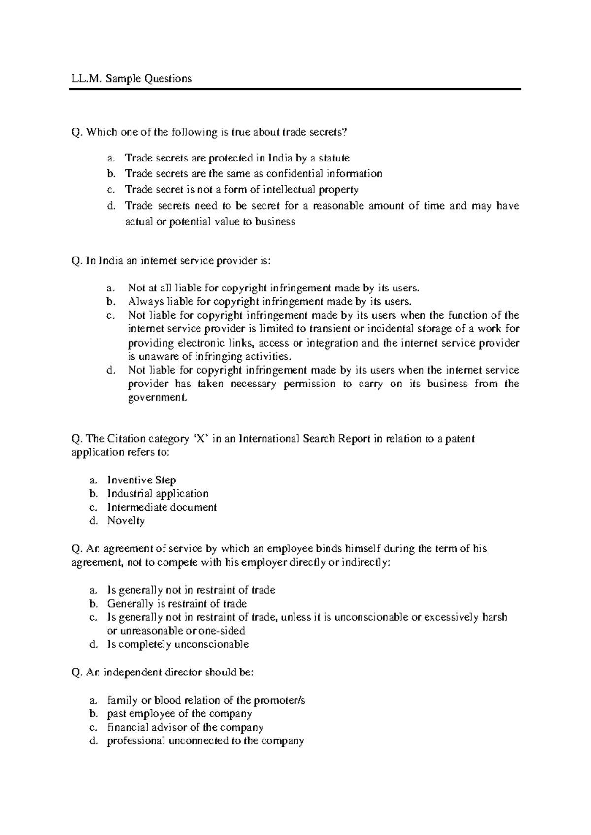
QP LLM Sample - LL. Sample Questions Q. Which one of the following is ...
[论文评述] Scaling LLM Inference with Optimized Sample Compute Allocation
Introducing Min-p Sampling: A Smarter Way to Sample from LLM
Monkey Business: a dataset of large LLM sample collections for math and ...
Sample of Dissertation of LLM | Download Free PDF | European Union ...
Sample Llm | PDF | Sampling (Statistics) | Questionnaire
How does LLM sample a sentence?. Have you ever wondered how artificial ...
Kaggle LLM Sample Embeddings
If you want the proper template of LLM letter. If you want a good ...
An example prompt for an instruction fine-tuned LLM and the generated ...
LLM Use Cases and Applications
LLM Architecture Explained: Exploring the Heart of Automation
How to evaluate the LLM based RAG pipeline | by Praveen Govindaraj | Medium
Exploring large language models: a guide to llm architectures – large ...
How To Build LLM (Large Language Models): A Definitive Guide
6 Common LLM Customization Strategies Briefly Explained | Towards Data ...
Understanding Langchain A Framework For Llm Applications - Free ...
LLM — Few-Shot Learning. Explanation of Zero-Shot One-Shot and… | by ...
Parameter-Efficient LLM Finetuning With Low-Rank Adaptation (LoRA)
LLM Overview Slides | LLM & RAG Guide
LLM 101: Understanding Large Language Models | by Gaurav Garg | Medium
LLM Inference Benchmarking: How Much Does Your LLM Inference Cost ...
LLM Architecture Diagram: Comprehensive Guide | PromptLayer
LLM Basics: Embedding Spaces - Transformer Token Vectors Are Not Points ...
How to Use LLM Prompt Format: Tips, Examples, Mistakes
Paper page - Learning to Reason Across Parallel Samples for LLM Reasoning
LLM Use-Cases: Top 10 Industries Using Large Language Models
The Art of the Sample: Improving LLM Performance Through Intelligent ...
LLM Cheatsheet and it's brief introduction | PDF
하버드 로스쿨 LLM 견본지원서를 통해 LLM지원 관련정보 흝어보기 : 네이버 블로그
What Are LLM Agents in AI and How Do They Work? | ClickUp
Compress to Impress: Efficient LLM Adaptation Using a Single Gradient ...
Exploring Large Language Models: A Guide to LLM Architectures
How LLM Can Transform Education - Springs
Evaluating LLM Models for Production Systems Methods and Practices - | PDF
The Next Steps in LLM Evaluation Paradigms | PDF
Regularized Contrastive Decoding with Hard Negative Samples for LLM ...
GitHub - trezero/autogen-local-llm: Sample repo using AutoGen with a ...
An Extensive Guide to LLM Evaluation for AI Models
[논문 리뷰] Learning to Reason Across Parallel Samples for LLM Reasoning
Sample-Efficient Modality Integration makes LLM learns howtolearn
Improving LLM Inference Speed: Presenting SampleAttention for Effective ...
Why Large Language Models Llm Have Become A Global Conversation In ...
LLM Model Selection & Fine-Tuning: Everything You Need to Know! | by ...
Evaluate your LLM models faster with prompt foo | by Lichiareghu | Medium
Guide to Self-hosting LLM Systems - Zilliz blog
GitHub - katsumiok/llm-book: Sample code for the book “Understanding ...
LLM Monitoring and Observability — A Summary of Techniques and ...
AUTOPRESENT: LLM model for slide generation with results comparable to ...
Streamline LLM Deployment for Autonomous Vehicle Applications with ...
What Is A Large Language Model Llm Definition Examples Images And ...
LLM Chronicles #1: Will LLMs Make NLP Scientists Jobless?
LLM Reasoning. How Reasoning Techniques Affect LLM… | by Fatemeh ...
LLM Evaluation: Use Case - How Datumo Assessed MoMoJam AI
Every Sample Matters: Leveraging Mixture-of-Experts and High-Quality ...
LLM Sampling Explained: Selecting the Next Token | Thinking Sand
Quantize-Sample-and-Verify: LLM Acceleration via Adaptive Edge-Cloud ...
LLM Testing in 2024: Top Methods and Strategies - Confident AI
Anaflow: Agentic LLM Framework Enables Sample-Efficient, Explainable ...
How to Optimize Content for LLM and AI Training
What is a Large Language Model (LLM) - GeeksforGeeks
Online (LLM) Master of Laws in Law - UCLan
Large Language Models (LLMs): Challenges, Predictions, Tutorial
What is a Large Language Model (LLM)? Examples, Use Cases | Enterprise ...
Large Language Model (LLM) | Learn how to interact with OpenAI models
AI - #2 (Sample LLM) — WiresWorld
GitHub - Riii114/LLM-from-scratch
Step-by-Step Guide to Building Your Own Large Language Model (LLM) 🧠 ...
Large Language Models (LLM) Use Cases Examples
What is LLM? Understanding with Examples
Medical Negligence and Human Rights in Nigeria | PDF | Health Care ...
Build Your Own LLM: A Comprehensive Guide to Training Large Language ...
sample-for-secure-medical-llm-inference-with-nitro-enclaves/CODE_OF ...
Paper page - Do We Truly Need So Many Samples? Multi-LLM Repeated ...
科普一下:拆解LLM背后的概率学原理 - 铁蕾的个人博客
Top Large Language Models (LLMs) Comparison - Future Skills Academy
Dedicated AI Model Serving
What are Large Language Models (LLMs)? | Definition from TechTarget
图解 LLM(大语言模型)的工作原理 - 小马哥的博客
A High-level Overview of Large Language Models - Borealis AI
Evaluating LLM-Powered Applications : Concept and Examples (using ...
Finetuning LLMs Efficiently with Adapters
로스쿨관련정보, About USA Law School, Law School Admission
小心模型评估中的不可靠数据:Flan-T5的LLM提示选择案例研究 - 小猪AI
Do We Truly Need So Many Samples? Multi-LLM Repeated Sampling ...
We appreciate your feedback! Your input motivates us to continuously ...
Replit — How to train your own Large Language Models
Google Search + ChatGPT by using Langchain Agent/Tools | by Terry Cho ...
[2309.01029] Explainability for Large Language Models: A Survey
mediapipe-samples/examples/llm_inference/llm_chat_ts at main · google ...
How Do We Evaluate LLMs Performance Effectively?
Paper page - GeRe: Towards Efficient Anti-Forgetting in Continual ...
Figure 1 from More Samples or More Prompts? Exploring Effective In ...
Maximizing the Potential of Large Language Models - Gradient Flow
分析过688篇大模型论文,这篇论文综述了LLM的当前挑战和应用 - 知乎
(PDF) LLM4GEN: Leveraging Semantic Representation of LLMs for Text-to ...
A Theoretical Study on Bridging Internal Probability and Self ...
大型语言模型 (LLM)全解读_llm大型语言模型-CSDN博客
Peering Into The Black Box Of Large Language Models | Hackaday
You've Changed: Detecting Modification of Black-Box Large Language ...
Foundation Large Language Model Stack | by Cobus Greyling | Medium
大语言模型LLM之构建GPT骨架 Building A GPT Framework of Large Language Models (LLMs)
LLM评测一:HumanEval+ - 知乎
ChatGPT and LLMs to Enhance OpenSearch/Elasticsearch Usability
Backend.AI Meets Tool LLMs : Revolutionizing AI Interaction with Tools ...
Patterns for Building LLM-based Systems & Products
My thoughts on Toolformer IMO the most important paper in the past few ...