Showing 120 of 120on this page. Filters & sort apply to loaded results; URL updates for sharing.120 of 120 on this page
python - Why MSE( L2 error) in papers is so small such as 0.05? - Stack ...
The L2 error and the CPU time associated with the four numerical ...
L2 error minimization for a function only of x on a single-element in ...
The L2 error between the true solution and the solution to the data ...
10 Logical Error Examples in Python
How To Exception And Error Handling In Python
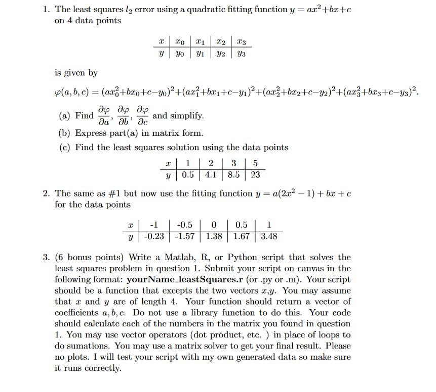
Solved = 1. The least squares l2 error using a quadratic | Chegg.com
Python Error Checking
python - solve L2 regularized logistic regression using CVX/CVXPY ...
L2 and L∞ error norms at t=0.2. | Download Scientific Diagram
Average relative L2 error in the DNN approximations of u(x, t) obtained ...
How To Exception And Error Handling In Python Python Exception To
How Read ANY Error - Python Traceback Errors - YouTube
Python Return Error From Function - Be on the Right Side of Change
Python Error Handling with the Psycopg2 PostgreSQL Adapter 645 ...
L2 error minimization for a single quadrilateral element in two spatial ...
l2 error for Example 1 | Download Table
Solved Q2: Identify the error in the following Python code | Chegg.com
Figure A.3: L2 error analysis to determine the order of accuracy of ...
I want to understand why my code gives an error - Python - The ...
Lesson 5b - Debugging and Error Handling | Python Course Documentation
How to calculate L1 and L2 norm in NumPy Python | Module NumPy Tutorial ...
l2 error against different resolutions at specific dates with different ...
Error handling with Python – Exceptions and return values
Python programming l2 | PPTX
Relative L2 error for each case presented in Figures 2 and 3 ...
L2 error in the computed solution for test problem 2 at... | Download ...
KS3 - Python L2 - Variables | Teaching Resources
L2 error θ t − θ 2 (y-axis) against iterations (x-axis) for all the ...
L2 error in the computed solution for test problem 3 at... | Download ...
Part - 7| Unit 2 | Python |11 IP | Debugging |Syntax Error | Logical ...
Python Value Error - Python Help - Discussions on Python.org
This figure shows the L2 error (formula 13) for different threshold ...
Normalized L2 error versus the number of predictors. | Download ...
Plot of the L2 error as a function of time‐step size: τ=h, final time T ...
How To Fix Python Error “EOL While Scanning String Literal”?
Relative L2 error computed for several time steps. | Download ...
Solved L2 norm is basically to write that error formula | Chegg.com
Scatter plots of the L2 error differences between our variational ...
Log–Log plot of the error in L2 norm for u, p, and ϕ with different ...
L2 | Python Tutorial | Variables (Part 1) - YouTube
[B! python] The Ultimate Guide to Error Handling in Python
L2 error of the solution to example 1 at different time points ...
Coding the Mean Squared Error (MSE)(L2 LOSS) Cost Function in PyTorch ...
What Is Valueerror Exception In Python And How To Handle It
How to compute L1 and L2 norms in python? - AskPython
15 Common Errors in Python and How to Fix Them | Better Stack Community
PPT - Lecture 2 Python Programming & Data Types PowerPoint Presentation ...
5 Common Python Errors and How to Fix Them Easily
Throw Errors Python at Hazel Phillips blog
How to Identify and Resolve Python Syntax Errors | Coursera
Understanding Python System Errors | Medium
What are Python errors and How to fix them - Just into Data
Error Handling In Python. A complete guide to using Try, Except… | by ...
L2 errors for case 1 by utilizing numerical integration technique (a ...
Common Python Errors and How to Fix Them ~ Computer Languages (clcoding)
Combination Sum and Its Variations in Python | by Pythonic Pioneer | Medium
Python Syntax Errors: A Guide to Common Mistakes and Solutions
How to resolve import errors in Python | LabEx
How to Fix Runtime Errors in Python | Rollbar
Understanding and Fixing Memory Errors in Python | by ryan | Medium
l1 vs l2 regularization in machine learning
Keyboard Interrupt Error and Notimplemented Error in Python… | by ...
Types of Errors in Python and How to Fix Them | by Gajanan Rajput💚 | Medium
python - Why does the MSE sklearn library give me a different squared ...
Day 109 : Find All Python Errors
Assertion Error and Attribute Error in Python… | by Rayancrazer | Medium
Python 3 common errors | Teaching Resources
[35] Errors and Exceptions in Python | Python for Beginners - YouTube
Lec-28: Types of Errors in Python | Python 🐍 for Beginners - YouTube
How to Implement L2 Loss in Pytorch(for CPU) - PyTorch Forums
How to Fix the Most Common Python Coding Errors | by Builescu Daniel ...
Python Errors: Exception Handling from Beginner to Expert — CodeSolid ...
Resolving the Python Error: legacy-install-failure
Python Intermediate Errors - AICORR.COM
Plot of relative L 2 error in Example 4.3. | Download Scientific Diagram
Python Exceptions: An Introduction – Real Python
Python ValueError Exception – How to Identify & Handle
Common Errors in Python (with code snippets) In this thread, we see ...
Navigating Through Python Exceptions: A Beginner's Guide | CodeSignal Learn
How to calculate the L2 norm of a vector using Python? - The Security Buddy
Python Errors Explained: 15+ Types with Examples & Fixes | Last9
What are L1 and L2 Regularization in Machine Learning and How to Apply ...
Assertion Error in Python: A Complete Guide | by Infotechdreamer | Medium
Understanding L1 and L2 Regularization: Taming Overfitting in Machine ...
L2 - Install Python.pptx
Python Pip: “Error: Legacy-Install-Failure” - Python News | Code Better ...
How to Calculate ROUGE Score in Python - The Python Code
Temporal variations in the relative L2 errors produced by the GAFM in ...
PPT - Norms and spaces PowerPoint Presentation, free download - ID:2967854
3: Behaviour of L2-error | Download Scientific Diagram
GitHub - Level2API/L2-push-python
The L2‐error decay exponentially for the spectral accuracy with ...
Different profiles for three channels about L2-Error of identified ...
Plot of the L2-errors taking μ=1/2 (a) and μ=1/3 (b) at the Legendre ...
Understanding Python’s Custom Iterators | Medium
What are the 3 types of errors in Python? - Adcod.com
[Python] KeyErrorとは?発生原因や対処法・回避方法を解説
Plot of the L2-errors (a) taking the Legendre and Chebyshev nodes and ...
How To Create Charts With Matplotlib | by Praise James | Medium
Plot of L2–errors taking different vales for r (a) and absolute value ...