Showing 118 of 118on this page. Filters & sort apply to loaded results; URL updates for sharing.118 of 118 on this page
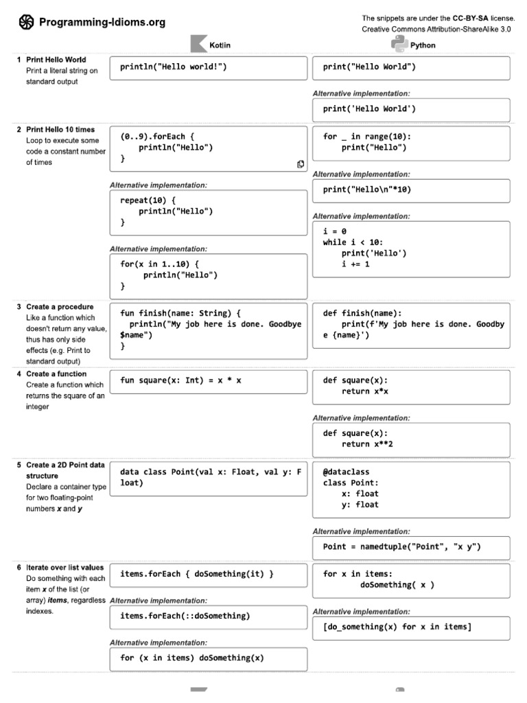
Kotlin Vs Python Syntax | PDF
Kotlin vs Python | A Complete Guide with Best Practices | Updated 2025
Kotlin vs Python | What are the differences?
Kotlin Vs Python Main Differences Table | PDF
Difference between Kotlin vs Python : Must know Difference
Python Vs Kotlin
Python Vs Kotlin - YouTube
Python VS Kotlin | PDF | Python (Programming Language) | Computer ...
Python vs Ruby & Kotlin vs Swift: Comparison of top 4 programming ...
Kotlin vs Python
Python2 Vs Python3 Syntax And Performance Comparison Is Python Slow?
Java vs kotlin vs python
kotlin vs python | A Complete overview of kotlin vs python
Comparison of Kotlin and Python Programming Languages | MernStackDev
Python vs Kotlin: Comprehensive Comparison
Kotlin vs Python: Detailed Comparison in 2023 | Nimap Infotech
Python vs Kotlin: A Comprehensive Comparison – Coding Stunts
Kotlin vs Python: What Are Their Main Differences?
Kotlin vs. Python in AI Development: Which One Should You Choose?
Kotlin vs Python: Choosing the Best Language for Your App
Kotlin vs Groovy: An In-depth Comparative Analysis | by Sumit Chauhan ...
Kotlin vs Python. Overview | by Abish Pius | Writing in the World of ...
Python vs Kotlin: Which One to Choose in 2025 | UrApp Tech Blog
Kotlin vs. Python/Difference between kotlin and Python
Top 50 Differences Between Java and Kotlin | Java Vs Kotlin
Kotlin vs Python: Which Language Fits Your Project Best?
Kotlin vs Java: 15 Differences You Should Know (2024)
Guide To Understand The Difference Between Kotlin Vs. Python | Simplilearn
Kotlin vs Java: Which is Better for Android App Development 2026
Kotlin vs Python: A Complete Comparison for Developers | by EncodeDots ...
Kotlin vs Python: Which Is Better? - PythonRight
Kotlin vs Swift | 5 Most Valuable Differences You Should Know
PHP vs Python for web development: Which should you use in 2025 and why?
Kotlin vs Python: Which One is the Best Choice in 2025?
Kotlin vs Java: Which is Best For Android App Development
Kotlin vs Java: strengths, weaknesses and when to use which - K&C
Kotlin and Python in one project: my experience🚀 Hello! 👋 I want to ...
Kotlin vs C#: Which Language Works Better for Developers?
From Python to Kotlin: A Transition Worth Making | The Kotlin Blog
Different ways to read the content of a file in Kotlin - Code vs Color ...
Java vs kotlin | PDF
Kotlin vs Go: Which Language Should You Pick in 2025?
So sánh tất cả cú pháp của Kotlin vs Swift mà developer nên biết ...
Master Kotlin Vs Java For Android App Development | Calibraint
Python vs Kotlin- Which is the best?
Kotlin vs JavaScript: Key Language Differences Explained
Kotlin vs Java: Which One is Better for Android App Development | inVerita
Kotlin vs Java: Which One Should You Choose in 2025?
Kotlin for Python Developers - Ronnie Atuhaire's Blog 🤓
Kotlin vs Flutter: Which One is Better? | Cyber Craft
Kotlin vs Java: 10 Years In - Lightrun
Kotlin vs Java: Detailed Comparison Guide - TatvaSoft Blog
Kotlin vs Java: Definitions, Key Features, and Use Cases - Stackify
Kotlin vs Java for Android: Which Is Better?
Kotlin vs Java: Important Differences That You Must Know
Kotlin Vs Java Three Essential Differences That Will Click Your Mind
16 Basic Kotlin Syntax that every Kotlin Developers must know. | by ...
Kotlin vs Java
Kotlin Vs Flutter - The Best Guide for Choosing Between Them
Basic syntax and functions in Kotlin - YouTube
Cheat Sheet for Kotlin programmers to get started with python | by ...
Kotlin vs Python: Detailed Comparison
Dart vs Kotlin: detailed comparison | Codemagic Blog
Kotlin vs. Python: When to Use Which? | George Baca's Blog
Python Code
Java Vs Kotlin: A Detailed Comparison – peerdh.com
Kotlin
Java and kotlin - ridekda
Will kotlin replace java - vibejas
Kotlin vs. Java: How Kotlin Advances Android Development
Python 3 - Изучение языка программирования
How long does it take to learn Python in 2025 (Complete guide)
10 reasons to use Kotlin
Kotlin vs. Groovy: Which Language to Choose | by Sciforce | Sciforce ...
Which is better, Kotlin vs. java? Let's settle the debate
Top 8 Python Alternatives - 2024
Kotlin or Python: Which Language is Better for Data Science?
Kotlin vs. Java: Which Language Is Better for Your Project?
Top Python Alternatives for Modern Programming Needs
Programming BackEnd Development Development Tools
10 Programming languages to learn in 2018 - (Kotlin, Go, Python, Rust ...
Logo Programming: History, Features, and Applications
Java vs. Kotlin: Comparing Two Modern JVM Languages