Showing 120 of 120on this page. Filters & sort apply to loaded results; URL updates for sharing.120 of 120 on this page
Kitchen Inspection Form Template | Jotform
Free Kitchen Inspection Form Template to Edit Online
Kitchen Requisition Form Template | Jotform
Kitchen Requisition Form for Equipment and Supplies at Sotogrande Hotel ...
Kitchen Inspection Form Template | 123FormBuilder
Kitchen Requirement Form | Download Free PDF | Kitchen | Home Economics
Fillable Online Kitchen Design Survey Form Fax Email Print - pdfFiller
Kitchen Design Survey Form - Timeless Kitchen Design
Kitchen Design Survey Form
Kitchen Completion Post-Inspection Form and Checklist | Free Template
Kitchen Order Form Template | 123FormBuilder
Kitchen Order Form Template | 123 Form Builder
Kitchen Requisition Form | PDF
Editable Kitchen Report Form [FACS, FCS] by TeachingFACS | TPT
Kitchen Requisition Form at Gudrun Williams blog
2015 Maple Craft Kitchen Cabinet Systems Quote Form 1 Fill Online ...
Kitchen Cabinet Order Form Template
Kitchen Cabinet Order Form Flat Pack Kitchens & Cabinets | Aussie Cut
Kitchen Sanitation Inspection Form for Culinary Arts or FACS Students
Kitchen Transfer Requestion Form | PDF | Foodservice | Cooking
PSU KITCHEN SAFETY INSPECTION FORM Date: Inspector(s ...
Kitchen Form Checking Template | PDF
Issue Form Template - 52+ Koleksi Gambar
Template - Free Issue Form - Workplace Health and Safety | Inspections ...
Kitchen Inventory Form Template | PDF
Free IT Issue Tracking Form Template to Edit Online
Request Form Kitchen Use.pdf
Unveiling the Secrets of Form Kitchen Reviews: Insights and Discoveries ...
4+ FREE Kitchen Incident Report Samples to Download
HSE 03 Kitchen Inspection Checklist | Download Free PDF | Kitchen ...
Weekly Kitchen Inspection Checklist | PDF | Kitchen | Home
Kitchen Inspection Checklist Kitchen Inspection Template Inspection ...
Complete Kitchen Inspection Template Kitchen Inspection Template ...
Complete Kitchen Inspection Template | Kitchen Inspection Template ...
8+ SAMPLE Kitchen Inspection Checklist in PDF | MS Word
Kitchen inspection-cklst | DOCX | Home Appliances | Home & Garden
FREE 4+ Kitchen Incident Report Samples in PDF | DOC
Kitchen Audit - Centre Support
4 Kitchen Incident Report Examples to Download
Inspection Form Templates | 247FormsBuilder
Kitchen forms: Fill out & sign online | DocHub
Free Printable Kitchen Inventory Templates: Fill out & sign online | DocHub
Fillable Online Kitchen Inspection Checklist Fax Email Print - pdfFiller
FREE 8+ Kitchen Management Forms in PDF | MS Word
FREE 8+ Kitchen Evaluation Forms in PDF | MS Word
Kitchen Safety 101: Essential Tips for Accident Prevention
Material Entry And Exit Registration Form Excel Template And Google ...
Kitchen design questionnaire: Fill out & sign online | DocHub
Home-Kitchen Inspection Form - ReachOut
Kitchen Requisition
Modern Restaurant Kitchen Forms for New Cumberland, PA
Kitchen Remodel Invoice - Custom Carbonless Printing | Microsoft excel ...
New Cumberland, Pennsylvania - Restaurant Kitchen Forms – Workplace ...
Kitchen Templates in Excel - FREE Download | Template.net
Kitchen Template Bundle Professional Kitchen Templates Fully - Etsy
FREE Complaint Form Templates & Examples - Edit Online & Download ...
PPT - The top five kitchen issues and how to solve them Mohit Bansal ...
Kitchen Prep Sheet | PDF
Complete; Return to Kitchen for submittal Doc Template | pdfFiller
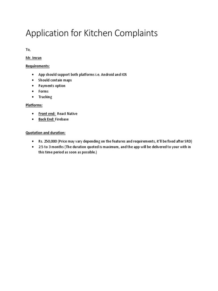
Kitchen Complaint App Development | PDF | Mobile App | Operating System ...
Fillable Online kitchen system report - page 1 Fax Email Print - pdfFiller
Kitchen Incident Report - Examples, Format, Pdf, Tips
Free Printable Kitchen Cheat Sheet - Favorite Printables
Commercial Kitchen Inspection Forms | Besto Blog
Hazard Reporting Form - Fill Out, Sign & Share Online | pdfFiller
Kitchen / Bath Remodeling Forms
Sample Requisition and Issue Slip | PDF
California State University Chico Stock Room Form - Fill Online ...
Kitchen Budget Template
How Good is the IKEA Kitchen Planning Service? We Tried it Out
Kitchen Cleaning Report Fill Out Printable PDF Forms Online | PDF
Free Kitchen Checklist Template in Word - Listtemplate.net
Kitchen Inspection 23 Aug | PDF | Kitchen | Home Appliance
Kitchen Inspection 30 Oct 2019 | PDF | Cooking
How To Report Kitchen Equipment Faults regarding Equipment Fault Report ...
Free Customer Inquiry Form Template to Edit Online
Kitchen | PDF
Kitchen inspection-cklst | DOCX
EXCEL of Daily Kitchen Purchase Order.xls | WPS Free Templates
Fillable Online Kitchen Task Assessment Score Sheet.doc Fax Email Print ...
Free Evaluation Form Templates - Venngage
Free Construction Incident Report Form Template to Edit Online
16 Printable Home Food Inventory Forms And Templates Fillable Samples
Maintenance Forms | 123FormBuilder
Home Inspection Report Template In Excel - udlvirtual.esad.edu.br