Showing 119 of 119on this page. Filters & sort apply to loaded results; URL updates for sharing.119 of 119 on this page
Key Control Register Format
Key Register Template – docushop
Key Register Log Book Graphic by PID KDP · Creative Fabrica
Key Register Log Book KDP Interior Graphic by M9 Design · Creative Fabrica
KEY Control Register - ,JHFGUYKFUILG - CE - KEY CONTROL REGISTER ...
Key Register Template Guide | PDF
How to use the Key Register
Two approaches with different assumptions: known key register locations ...
Float and Key Register - Charisma Print
What Is Key Control Register at Gemma Nock blog
Buy Key Control Register Template: Lock Inventory Register, Key ...
Key Register Procedure | PDF | Business | Finance & Money Management
Key Control Register Template Lock Inventory Register Key Register ...
Key Register | PDF
Configuring Register Layout – Z Software
Closeup register key in keyboard hi-res stock photography and images ...
Closeup of register key in a modern keyboard Stock Photo - Alamy
Building Key Register System for Better Access Control | MYBOS Blog
7 STEPS FOR CREATING A SECURE BUILDING KEY REGISTER SYSTEM - Archers
Register key hi-res stock photography and images - Alamy
Key register template: Fill out & sign online | DocHub
Closeup of register key in a modern keyboard vector Stock Photo - Alamy
Closeup of register key in a modern keyboard vector Stock Vector Image ...
Circuit and layout of register file. | Download Scientific Diagram
Types of keys and Key Control Procedure. - Hotel Learner
Free Key Logging Templates For Google Sheets And Microsoft Excel ...
Structure diagram of the key registers | Download Scientific Diagram
Master Key Log, Master Key Register, Master Key Record, Key Tracking ...
Key Log Templates | 11+ Free Printable Word & Excel Formats, Samples ...
Register Layouts – Z Software
Final Project - 32-word Register File
Register Layouts & Mappable Registers — Pulser 1.3.0 documentation
367 Register Keypad Stock Photos, High-Res Pictures, and Images - Getty ...
Official | Registering layout information
21ECC101J Electronic System & PCB Design - SET B Answer Key - Studocu
Hy-Ko Hy-ko Coffee Cup Key Blank For Schlage Sc1 Keyways - Brass Design ...
FJ-II Set A DAA - Answer Key for 21CSC204J Exam - Studocu
BASIS OF STRUCTURAL DESIGN (EN1990:2002) - Key Concepts and Guidelines ...
Lucky Line Hammer Design Decorative House Key Blank For Schlage Sc1 And ...
Successful ESA Design Review Marks Key Milestone for Air-Breathing ...
Employment Rights Act 2025: Key measures and employer actions | British ...
UAE Business Market Update 2026: Key Changes Every Business Owner Must Know
Hy-Ko Hy-ko Sc1-39 Blue/tan Leaves Key Blank For Schlage Sc1 Keyways ...
Junior Hits Key Milestone in Squaring AI’s Design Problem
Hy-Ko Hy-ko Self Programmable Remote Key Fob Shell S-toy802 For Toyota ...
News | India’s Capital Goods Boom: Key Industrial Leaders Driving the ...
The WELL Traffic Study Clears Key Threshold — But Only Barely - Coconut ...
EarthDay2026: Environmental, closure risk are key aspects of mining due ...
Code Of Good Practice Dismissal 2025 Key Employer Updates
PMI: Return on Education: Why Learning Is Becoming the Key Driver of ...
When is the 2026 Champions League final? Key details of UEFA match ...
Best 12 Deped School Calendar Sy 20252026 Key Dates And Guidelines
ECTE344 Revision Guide: Key Concepts & MATLAB Tips for Exam Prep - Studocu
Distributed Systems Overview and Key Concepts (CS101) - Studocu
PSY 101: Foundations of Curriculum Development - Key Theories ...
Job Analysis: Key Outcomes for HR Management and Productivity - Studocu
Cmy2606 MCQ Notes: Key Concepts in Research Methodology - Studocu
UPHESC Assistant Professor Answer Key 2026 OUT, Download Link & Raise ...
PEM 2023 Investigating Science Trial HSC Marking Guidelines Answer Key ...
Unit 6: Housekeeping Control Desk - BhmAims
Beginner’s Guide to Mechanical Keyboards: Switches, keycaps, form ...
principles for keyboard layouts
DIATEC CORPORATION Product info
Keypad
What Is Modulation Transfer Function? | Keysight
How Analog Keyboards Improve Gaming Performance and Response Time (Hal ...
Autocad Training Institute in Hyderabad | Autocad Training in Hyderabad
ITEK DGT W42B Wireless Keyboard 2.4G Bluetooth Chocolate 82 Keys ABS ...
Keychron Q10 Keyboard Plate File – Keychron | Mechanical Keyboards for ...
How to Test Your Keyboard Online in 2026 – Free Keyboard Tester Tool
Custom BLDC Motor Controller PCB Design and Assembly | TJHXPCB
Keycloak Self-Registration: A Guide for Users
Licensing Agreements for CAD Designs: Best Practices | SolidWorks ...
Research Proposal Evaluation Checklist: Methodology, Design & Ethics ...
🧠🧠🧠PI NETWORK NEWS: PI ECOSYSTEM TOKEN DESIGN Understanding Pi ...
SMA 490: System Analysis and Design Exam Paper Guide - Studocu
POLS 285 - Midterm Exam Lecture Notes on Epistemology and Research ...
The CIPET Admission Test (CAT) 2026 notification is out for Diploma and ...
AET402 VLSI Circuit Design Final Exam Question Paper - June 2023 - Studocu
Mod 1: Design Issues in Programming Languages and Variable Binding ...
Viva Questions and Answers on Compiler Design (AM2) - Studocu
EEE241DLD - Lab 06: Xilinx ISE Design Flow & Gray Code Implementation ...
Ready-Made or Made for You - Join Spacestor at CDW - Clerkenwell Design ...
Sustainability & Material Efficiency in Design: A572 & HDG Insights ...
Model‐Based Modularization Approach for Reconfigurable System ...
Manufacturing Facilities Design: Sources of Information - Studocu
Compiler Design - Important Questions for Final Exam - Studocu
How cracked concrete can influence anchor design - Engineering...
FLAM DESIGN - Seguin
Elsie Simple Kids Desk & Hutch | Pottery Barn Kids
How Does a Shopify Web Design Company Use Design Trends to Boost ...
Ava Regency Vanity Desk Collection (45") | Pottery Barn Kids
MULTIMEDIA DESIGN AND DEVELOPMENT FOR EDUCATION: Advanced Multimedia ...
Dr Anthea Jeffery: Propaganda in schools - "revisionist" fake history
Controller Design A4: Types and Applications in Control Systems - Studocu
ANALYSIS, DESIGN & EXECUTION TUTORIAL 3: ITERATION - Studocu
RABBIT & BIRD Embroidery Design | EmbroideryDesigns.com
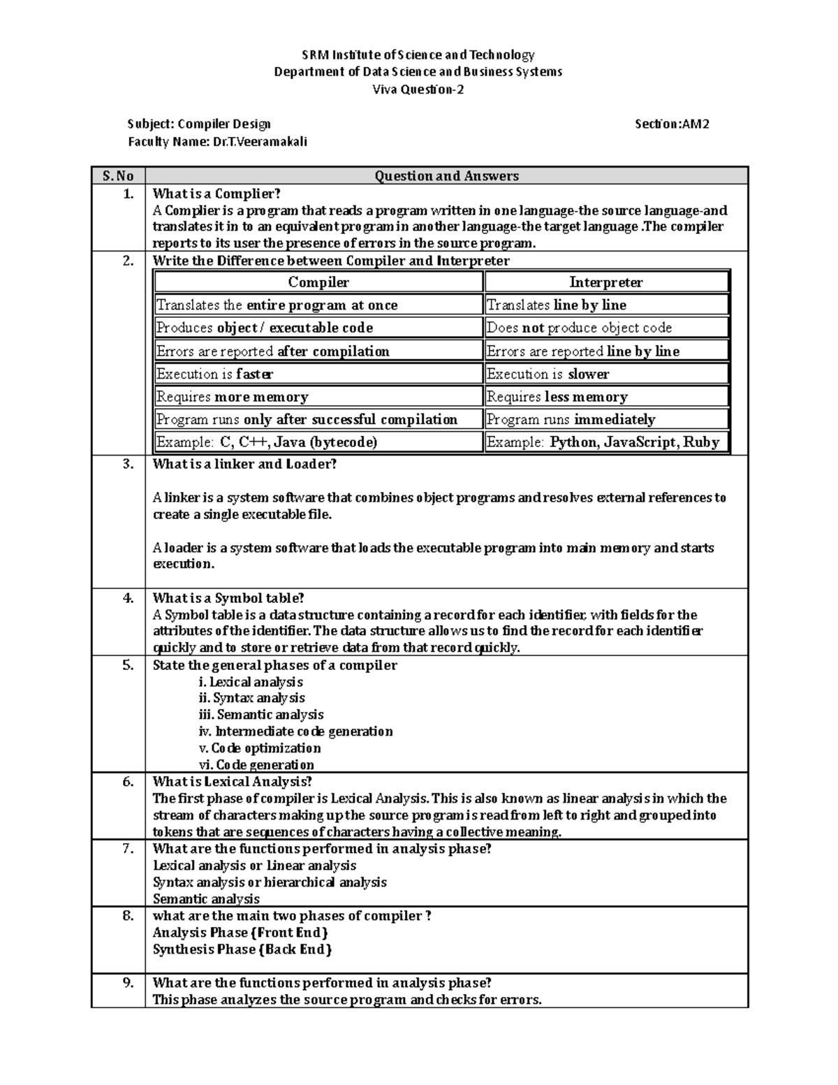
SRM Institute of Science and Technology Compiler Design Viva Q&A - AM2 ...
Design of Machinery Solution Manual KINEMATICS CH 2: DOF & Motion ...
DBS600 Assignment: Database Normalization & ERD Design Guide - Studocu