Showing 120 of 120on this page. Filters & sort apply to loaded results; URL updates for sharing.120 of 120 on this page
PPT - Chapter 6 Kernel Smoothing Methods PowerPoint Presentation, free ...
Kernel Smoothing Methods at Maria Cardenas blog
PPT - Lecture 7. Kernel Smoothing Methods PowerPoint Presentation, free ...
Chapter 6 Kernel Smoothing Methods Zhang Yuxin OneDimensional
ESL: Ch 6. Kernel Smoothing Methods – Jaejoon's Blog – Statistics ...
(PDF) Yield curve estimation by kernel smoothing methods
(PDF) Kernel Smoothing Methods for Non-Poissonian Seismic Hazard Analysis
Lecture 6 Kernel Smoothing Methods Outline Description of
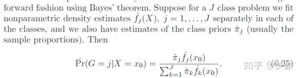
ESL读书笔记:Chap 6 Kernel Smoothing Methods - 知乎
Understanding Kernel Smoothing Methods for Data Analysis | Course Hero
(PDF) Edge–correction for spatial kernel smoothing methods - when is it ...
PPT - Kernel Methods PowerPoint Presentation, free download - ID:6065011
Kernel Smoothing — scikit-fda 0.10.1 documentation
Chapter 13 Kernel Smoothing | Statistical Machine Learning with R
PPT - Kernel methods - overview PowerPoint Presentation, free download ...
Bandwidth sensitivity in kernel smoothing — OpenTURNS 1.20 documentation
Kernel Smoothing: Principles, Methods and Applications 1, Ghosh ...
(PDF) A Kernel Smoothing Method for General Integral Equations
(PDF) Nonparametric Kernel Smoothing Methods. The sm Library in Xlisp-Stat
Kernel Smoothing — scikit-fda 0.10.2.dev0 documentation
The kernel of traffic adaptive bilateral smoothing method. | Download ...
Kernel Smoothing: Principles, Methods and Applications | Wiley
Kernel Smoothing & Regression Guide | PDF | Regression Analysis ...
Histograms and Kernel density smoothing fitting curves for (a) model ...
Example of different smoothing techniques: moving averages and kernel ...
(PDF) Kernel smoothing method for the numerical approximation of ...
Gaussian Kernel Smoothing (Wikipedia, 2020b) | Download Scientific Diagram
Kernel Density Smoothing - Analytica Docs
Two-dimension kernel smoothing with additional parameters added in each ...
Applied Smoothing Techniques for Data Analysis: The Kernel Approach ...
Extrapolated covariates by a spatial kernel smoothing method | Download ...
Kernel Smoothing | Machine Learning Techniques | Blog Post
Figure 1 from Comparative study of two kernel smoothing techniques ...
Chapter 10 Kernel Smoothing | Statistical Learning and Machine Learning ...
Estimates of the parameters in each step of the kernel smoothing method ...
Gaussian kernel smoothing | DeepAI
(PDF) A kernel density smoothing method for determining an optimal ...
Figure 2 from KERNEL SMOOTHING FUNCTION AND CHOOSING BANDWIDTH FOR NON ...
(PDF) An Adaptive Kernel Smoothing Method for Classifying ...
Kernel Smoothing Method for Scatterplot Estimation | Course Hero
Probability density functions (PDFs) estimated by the kernel smoothing ...
Diffusion-Based Implementation Of The Kernel Smoothing Method Used In ...
Figure 1 from Nonparametric Kernel Smoothing Methods. The sm library in ...
(PDF) Model‐supervised kernel smoothing for the estimation of spatial usage
An adaptive bivariate kernel smoothing method for determining instars ...
Smooth ECE: Principled Reliability Diagrams via Kernel Smoothing | DeepAI
统计学习笔记——第六章:核平滑方法(Kernel Smoothing Methods) - 知乎
PPT - Methods for Dummies Random Field Theory PowerPoint Presentation ...
PPT - Nonparametric density estimation or Smoothing the data PowerPoint ...
PPT - Density Estimation PowerPoint Presentation, free download - ID ...
PPT - An Introduction to Nonparametric Regression PowerPoint ...
A Realistic Full-Scale 3D Modeling of Turning Using Coupled Smoothed ...
Dept. Computer Science & Engineering, Shanghai Jiao Tong University ...
PPT - Data Analysis framework in Brain Imaging STAT 992: Image Analysis ...
Kernel-smoothing
(PDF) A new method of kernel-smoothing estimation of the ROC curve
Solved A survey data is provided below. Calculate smoothed | Chegg.com
Density estimation with histograms and kernel-smoothing. The point ...
Fit a non parametric distribution — OpenTURNS 1.20 documentation
PPT - Identifying Boundary of Different Classes of Objects PowerPoint ...