Showing 120 of 120on this page. Filters & sort apply to loaded results; URL updates for sharing.120 of 120 on this page
📝 KB Note — Your Pocket Notebook Redefined | by Khokhar Brothers | Jun ...
Singapore - 2 dollars vf+ currency note - KB Coins & Currencies
Singapore - 1 dollar 1967 vf currency note - KB Coins & Currencies
Egypt 200 pounds 2018 unc currency note - KB Coins & Currencies
Scotland - 20 pounds Clydesdale bank 2005 unc currency note - KB Coins ...
France 5 frs vfi currency note - KB Coins & Currencies
Germany 1 mark 1925 unc currency note - KB Coins & Currencies
Georgia 5 lari 2021 unc currency note - KB Coins & Currencies
Ghana - 1 cedi 1979 unc currency note - KB Coins & Currencies
England - 5 pounds 2004 unc, currency note - KB Coins & Currencies
European Union - 0 euro sovereign unc currency note - KB Coins & Currencies
New Hamshire – 7 dollars 1780 , reproduction currency note - KB Coins ...
Maldives – 2rufiyya 1990 vf currency note - KB Coins & Currencies
Syria -500 sp,1998 , unc currency note - KB Coins & Currencies
Italy S 20 euro 2015 Xf hybrid currency note - KB Coins & Currencies
Hungary 100 korona 1923 vf currency note - KB Coins & Currencies
Note to Self - KB | Deezer
Austria 100 schilling 1984 vf currency note - KB Coins & Currencies
Turkey - 100 Lira unc currency note - KB Coins & Currencies
Bulgaria -20 leva 2020 used currency note - KB Coins & Currencies
oc kb notes 2 | PDF
KB Notes Pugi | PDF
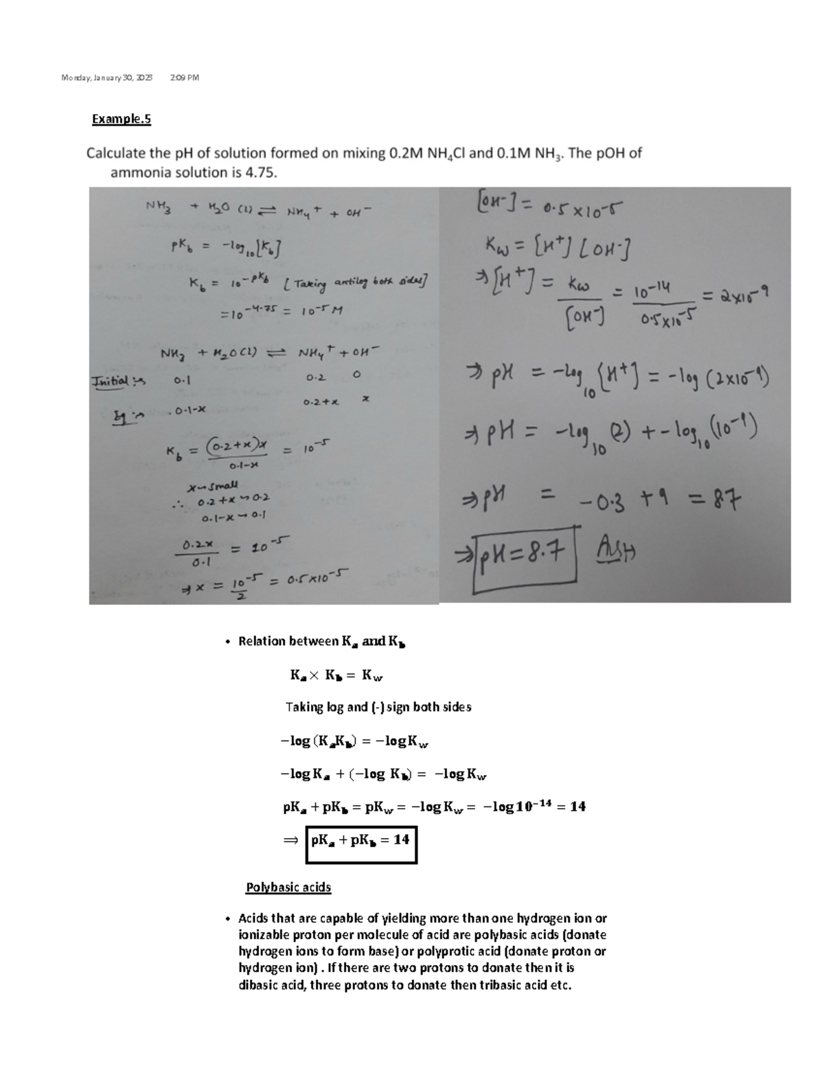
AP Chemistry Relationship between Ka Kb pKa and pKb Scribble Doodle Notes
KB Mam Notes | PDF
Display Previous SAP Notes KB Article Version While Preparing A New ...
Soap Notes KB Suntik | PDF
Managing Note Templates
Adding a note to a program
Solved The Kb of a solution can be determined from the pKb | Chegg.com
Cornell Note-Taking 1 - notes taking - Student Name: KB Bohm Cornell ...
Some design features of the note interface (source: adapted from KF 4.6 ...
KB 3 Running Notes dan Footnotes | PPTX
Higher Education KB Sir My Notes | PDF
Embed a note with cropped pdf results in extra space under the note ...
Ka and Kb Relationships (6.1.10) | IB DP Chemistry HL 2025 Notes ...
Kb Other Vector
KB Innovation HUB
Write the balanced Ka and Kb reactions for HSO3- in water. Be sure to ...
Premium Vector | Kb logo
relation between ka and kb | Filo
Nuclei Notes by KB Sir | PDF
Premium Vector | Kb monogram logo design letter text name symbol ...
How to Count (1/4 notes, 1/8th notes, 1/8th note triplets, 16th notes ...
The designed interface of a note and its scaffolds in KF | Download ...
Note naming worksheet for music classes | Teaching Resources
Note Paper PNG Images Transparent Free Download
Makarya Notes - Advanced Note Taking App - Design System & UI Kit ...
Musical note icon. Internet button on white background Stock Photo - Alamy
KB NG BrE 1 CLIL Maries Projects Teaching Notes | PDF
DEATH NOTE - Obata Takeshi - Image by tengyuansihai #4226056 - Zerochan ...
World - 151 different unc and vf currency notes with sleeves - KB Coins ...
Note Toolbar v1.5: Top Positioning, Global Folder Mappings, Style ...
GitHub - dsluga-proc/sap-kb-note-preview-redirect: A small userscript ...
Keyboard notes များစုစည်းရာ... - Keyboard notes များစုစည်းရာ
| (A) Whole-genome alignment among OC, OS, and OE based on Minimap2 ...
Reading Sheet Music - Theory - BassBuzz Forum
Getting Started with Notes - KnowledgeBase - Appward
Note-Taking Apps: We Tested and Ranked the Best 15 Apps [2026]
Add, Edit, Delete Notes
GitHub - karina-yuk/KB-notes
KB's - Notes 2nd Chap Communication Model and Protocols | PDF ...
kb|note
How to add Notes and Terms on Web? - General - Swipe
Notes Tab | How to Use an Item | Aptien
KB|note
Kb|note
English Notes (KB) | PDF
This is the best handwritten notes of Chemical Bonding. This will help ...
What is your best way to manage tasks in daily notes? : r/ObsidianMD
20+ Thoughtful Customer Thank You Notes That Strengthen Bonds
Ionic - Hand made self typed notes with practice questions - Example ...
Fundamental of Nursing 1st Year GNM Nursing Notes PDF (Unit Wise Notes)
Page 5 | Bk Images - Free Download on Freepik
Richard sur Instagram : Ombré chiffon.... and Kate Bush for Seiko 🤍 ...
Smart Notes
Notes Overview – Apollo.io
Adding Notes and Using Notes Templates - FranchizeManager
Chapter 3: Access Control Concepts - Notes | Rootkid - Cyber Journal
JEE Advanced P Block Notes Part 2, Hope u like them :) : r/JEENEETards
Piano Notes Diagram Piano Keys Layout Of The Piano Keyboard | All
Rearranging Formulas and Literal Equations Notes and Worksheet ...
Inspector Report Template and Example | Teaching Resources
Notion Template Notepad | Note-taking Planner, Personal Notes Organizer ...
Inequalities (Writing, Solving and Graphing) Notes and Worksheet ...
Solved Lecture Notes Attached Files: Mathernatical induction | Chegg.com
Bug: Scaled notes affect dots for other non-scaled notes - Dorico ...
Ozone notes - AQA A Level Environmental Science | Teaching Resources
K2 Workflow Designer - Notes
Focal Azurys Measurements & Official Discussion - Official Headphone ...
App Notes - Notebook, Notepad APK for Android Download
How to add notes to a Link - Qliker.io - Knowledge Base
Apollo Notes – InfiniteKB