Showing 120 of 120on this page. Filters & sort apply to loaded results; URL updates for sharing.120 of 120 on this page
What Is A Job Code at Patrick Guinn blog
Add or Edit a Custom Job Code
Setting Up Job Code Defaults
Solved JOB Job Code Description Plan Code Description | Chegg.com
Premium Vector | Job code logo design template business modern symbol ...
Aloha Digital Ordering | Creating interface employee job code | NCR ...
JPJ warns of fake job ad using QR code
New UC Job Code Lookup System site enhances pay transparency | UCnet
HPRCA latest update 👉 JOA 939 5th Waiting Out ll Post code 637 ...
Job Code & Role Specific Competencies in Performan... - SAP Community
Job Code Details
Job Status Code Maintenance
Job Code Detail at Ronald Pepper blog
Adding a Job Code
PANTONE 637 U Color HEX code
3137503 - The job code does not exist in the system. Please create it ...
AF Form 637 - BCE Job Order Log - AF Forms
Job Code Management
Job Codes – Decisiv
PPT - Job & Position Actions PowerPoint Presentation, free download ...
22) Appendix B: Job Codes Explained – SMMware
Job Codes
Defining Job Codes and Occupation Codes
Working with Job Codes :: Fleet Maintenance
Job Codes – ASIST
Job Codes – PACCAR Solutions
Aloha Takeout | Creating POS job codes, access levels, and employees ...
Employee Code Designation Position | PDF | Pakistan
Form 637 Instructions 2025 - 2026
Labour Codes spur hiring in Tier-III, -IV cities; job postings rise 56% ...
Hero prompt: i want to create a LLM code which can fetch ...
Display job code, job description, and the number of employees holding ...
Job Codes - Human Resources
What is a job reference code? – Workable Help
637 Text Effect and Logo Design Number
Job Codes Sections
Interested can DM with job codes and email id to a... | Fishbowl
Understanding the Spiritual Significance of Angel Number 637
Roblox Grow a Job Codes (March 2026) 45 NEW Active Codes
Defining Job Subfunction and Job Function Codes
Student Job Codes | Access Tufts
FREE 50+ Job Request Forms Download – How to Create Guide, Tips
Justine Mills on LinkedIn: Search for jobs in your job category using ...
PPT - The Best-Practices Guide to Job Leveling PowerPoint Presentation ...
Form 637 - Registration Guide for Fuel Exporters – Accountably.com
Steps to Validate the Job Profile Sync
Sự khác biệt giữa Job Positions và Position Codes
Cracking the Job Code: A Guide to Ace Your Interviews
Job Type Codes
Job Codes - SupportAbility Knowledge Base
LTIMindtree Openings for Business Analyst!! Interested can DM with job ...
What Is A Job Classification System at Mackenzie Moor blog
Tax on a Second Job in the UK: How Much Will You Pay in 2025?
AF IMT Form 637 - Fill Out, Sign Online and Download Fillable PDF ...
637 Number logo icon design vector image. Number logo icon design ...
Buy JOB CODES: JOB JOURNEY JOB ATTITUDE JOB CHALLENGES JOB PAIN AND IT ...
Job Codes | PDF | University Of Connecticut | Employment
US Government Pay Schedule Job Codes | PDF
How do I set bill rates for job codes? – BQE Knowledgebase
Multiple Job Codes & Pay Rates – Justworks Help Center
Civil Engineer– Samsung Electronics Egypt Job Code: -Civil Engineer ...
How to Create Job Codes | NextGen Workforce
Federal EEOC Report Overview [Business]
TIP Technologies
Human Resources Snapshot - ppt download
New Labour Codes Likely To Generate 77 Lakh Jobs, Says SBI Report; Here ...
PPT - Sponsored Remitted Tuition PowerPoint Presentation, free download ...
MyGCHR at the ATSSC/HR - Staffing - wiki
JobCode sheet
Customising the Costing/Tracking Tab - Manual & Xero Integration Codes
6-12 Curriculum Product Manager for Code.org in Remote
Fixed-Term, Permanent, And Contractual Jobs: Pros And Cons Under India ...
UP Fast-Tracks New Labour Codes Amid Noida Unrest, Boosts Wages, PF ...
Unmasking The "637 Area Code": What Every American Should Know
Defining Labor Agreements
Case 7.315 - 9/13/24 – Decisiv
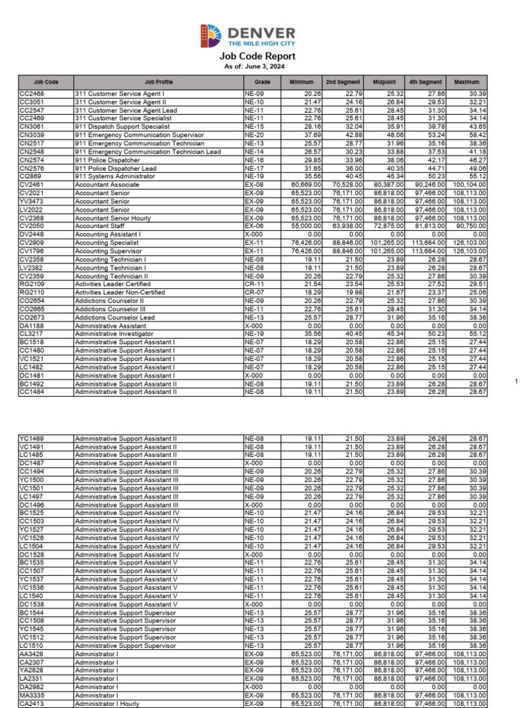
Jobcodereport | PDF
Aloha POS | Allowing employees to contribute and/or receive tip share ...
Aloha POS | Displaying an acknowledgment message at clock in | NCR ...
Abhiram Manchi posted on LinkedIn
PBJ Reporting: Staffing Strategies for Success
The complete guide to salary benchmarking: How to run a best practice ...
JobDescription-Keywords-Extractor/output/job_description_tfidf_lda.html ...
How to Calculate Labor Costs By Year, Day, Hour, & More
Classifying Jobs
Adobe Sign for SAP SuccessFactors: Recruiting
3294574 - Error message when trying to create a new Compensation Plan
Role-Job Codes - Prop - Preparation | PDF
Unmasking the "637 Area Code": What Every American Should Know - SihaSah
PPT - Streamlined Activity Manpower Document (S-AMD) Report Revised 31 ...
Aloha POS | Creating a sales and tip distribution disclaimer for ...
vikas reddy on LinkedIn: #job #hirings #documentum #opentext #openings
Reports - Admin Guide
301 Moved Permanently
How To Check Sap Standard Jobs
FAQs and Resources – Compensation Management