Showing 120 of 120on this page. Filters & sort apply to loaded results; URL updates for sharing.120 of 120 on this page
Pronic number | Programming in JAVA | BlueJ | Subscribe for more - YouTube
Pronic Number Program in Java - Naukri Code 360
Simple Code Check Pronic No or Not in BlueJ ll Pronic Number ll Java ...
Program - 4 | Pronic Number Program in Java | Java Programs for ...
Java program for Pronic Number - Java and Python tutorial
Java Program for Pronic (or Rectangular) Number
Pronic number || Java tutorial for beginners || Java in Hindi || Java ...
Program To Print Pronic Number JAVA
pronic number program in Java - YouTube
Pronic Number in JAVA || BluejCode - YouTube
Learn How to Check for Pronic Numbers in Java | Complete Guide
Pronic Number Program in Java | KnowledgeBoat
Pronic Number in java by Akash Sir - YouTube
Java program to check Pronic Number | Pronic Number program in Java ...
Pronic Number using Java Program | Taking Input from User | Java ...
Java Program To Check Whether A Number Is A Pronic Number Or ...
Pronic Number | Important Java Program | ICSE - YouTube
Pronic Number Program in Java - YouTube
Pronic Number Using Recursion in Java | ISC Computer - YouTube
How to check a number is Pronic or not using JAVA Programming | ICSE ...
Java program to check if a number is Pronic or Heteromecic - CodeVsColor
How to Check for Pronic Numbers in Java 2025? - YouTube
💻 Java Program: PRONIC Number | ICSE Class 10 & 9 | Previous Year ...
PRONIC NUMBER PROGRAM IN JAVA #ICSE - YouTube
Pronic / Heteromecic Number in Java - YouTube
PRONIC NUMBER & SPECIAL NUMBER : IN JAVA : ICSE & ISC - YouTube
Pronic Number in Java | ISC Computer Science 2023 Specimen - YouTube
Pronic Number Program in Java · Issue #83 · sujana-kamasany/javacodes ...
Java Program to Check Pronic Number | CodeToFun
Java Program to Check Pronic Number - BTech Geeks
Pronic Number in Java | Spy Number in Java | Tech Number in Java ...
Pronic Number in Java | ICSE Computer Class 10 - YouTube
Pronic number in Java - YouTube | Java, Numbers, Programming
Pronic Number Example in Java - What is Pronic Number and How to Check ...
Java - Check if a number is a Pronic or Heteromecic or not
Pronic Number Java Program || Chetan Programming - YouTube
Check Prime Number in Java - Algorithm and Code Examples
Pronic Number program in Java (BlueJ) in Hindi - YouTube
Pronic number in java | Java program to check whether a number is ...
Pronic Number | Write a program in Java to check whether a given number ...
Java Pronic number program in 4 min #coding #java #number #programming ...
Pronic Number Checking in java
Pronic numbers in Java for ICSE & ISC | ICSE | ICSE JAVA | STUDY TO ...
PRONIC NUMBER PROGRAM IN JAVA : ICSE 0 TO 100 IN 20 DAYS - YouTube
Perfect Number Program for Java | upGrad blog
Pronic number computation | Solved Using Java | Any Doubts Post the ...
Program to Check Whether A Number is Pronic Number or Not in Java ...
DISARIUM NUMBER || PRONIC NUMBER IN JAVA || must watch 📌 - YouTube
How to Check if a Number is a Pronic Number in Java
Pronic number in java - YouTube
Pronic number | Java | Basic Coding | Number Based Programs | - YouTube
Java Program to Check Pronic number
Pronic number || checking || in java || easiest method - YouTube
Pronic no in java | Pronic number program in java | Check a number is a ...
Design a class Pronic to check if a given number is a pronic number or ...
Pronic Number Program #java#cms #icse #isc - YouTube
Program 17 PRONIC NUMBER | PDF
Armstrong and Pronic number explain in java|| Number based program part ...
Pronic number | What is Pronic number in Java? | How do I find my ...
Pronic Number In A Range - YouTube
Pronic Numbers In Java - YouTube
Java Program to Check Prime Number
Pronic Number | Write a program to check whether a given number is ...
#pronic number in java #for ICSE students - YouTube
Perfect Number Program in Java
Concept of Pronic Number Explained Through A Simple Program by Advanced ...
Solve Pronic Number Program - Simply Coding
PRONIC Number (Programming in JAVA) - YouTube
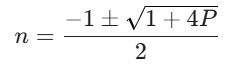
Pronic Number -- from Wolfram MathWorld
Check Pronic Number using Java. #Java#Programming #HeteromecicNumber# ...
Java Code Flashcards at Caitlin Grimmett blog
How To Make Number Puzzle In Java at Caitlin Kelley blog
Chapter 10: Iterative Constructs in Java | Solutions for Class 9 ICSE ...
Write a Java Program to Check if a Number is Prime or Not? – Scalable ...
Java Program #32 - Calculate the Power of a Number in Java - YouTube
Java Numbers - Number Methods with Syntax and Examples - DataFlair
How to check whether a number is pronic or not. - YouTube
Print Pattern Of Number In Java at Percy Cunningham blog
Pronic Number Program in Java. class 10th ICSE computer Applications ...
NIC Number Calculation in Java Programming - part 1 - YouTube
Program To Print Dudeney Number JAVA
Pronic Number in Java. #viral #coding #strings #array#2018 #2023 # ...
Write a program to display all Pronic numbers in the range | KnowledgeBoat
Pronic number??? #java #coding #python #mernstack #webdevelopment - YouTube
Complex Numbers What Is Complex Number Addition And Multiplication
Numbers in Java - Electronics Reference
Sum of Digits in Java: Easy Code Example and Explanation
SOLUTION: The A - Z Of Java Programs Of Different All Important Numbers ...
Java Programming Cheatsheet
Different Types Of Numbers In Java Programming - Free Math Worksheet ...
Palindrome in Java with Program - Scientech Easy
Pronic Number-(Java) | expailned - YouTube
Types Of Special Numbers In Java - Free Math Worksheet Printable
HOW TO CHECK WHETHER A NUMBER IS EMIRP,PRONIC.HOW TO DISPLAY FIBONACCI ...
How to Write a Java Program to Print a Fibonacci Series – Scalable ...
What is Pronic Number? And More…
Prime Numbers in Java: Simple Logic and Code
Types Of Numbers Program In Java - Free Math Worksheet Printable
Tutorial At Home
How to Add Two Numbers in Java? | upGrad blog
Fibonacci Series What Is The Fibonacci Sequence (aka Fibonacci
Getting Random Numbers in Java: Complete Programming Guide with ...