Showing 120 of 120on this page. Filters & sort apply to loaded results; URL updates for sharing.120 of 120 on this page
Schematic of the first three iterations of the iterative gradient ...
PPT - Conjugate Gradient Iterative Method for Deblurring Images ...
(PDF) Two forms of Gradient Approximation for an Optimization Problem ...
Solved Please use iterative procedure of gradient descent, | Chegg.com
(PDF) General iterative approximation to differential equations
(PDF) Gradient Iterative Method with Optimal Convergent Factor for ...
(PDF) Iterative Gradient Descent Methods for Solving Linear Equations
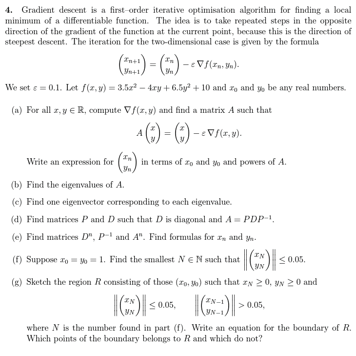
Solved 4. Gradient descent is a first-order iterative | Chegg.com
(PDF) Finite element approximation and iterative method solution of ...
Iterative gradient method | Download Scientific Diagram
Differentially Private Deep Learning with Iterative Gradient Descent ...
Principle of gradient iterative algorithm proposed in DVB-T2 ...
(a) In the optimization process of the iterative conjugate gradient ...
(PDF) IG2: Integrated Gradient on Iterative Gradient Path for ...
Figure 1 from The relaxed gradient based iterative algorithm for ...
Gradient Iterative Method with Optimal Convergent Factor for Solving a ...
Iterative deep neural networks based on proximal gradient descent for ...
1 Iterative Methods: Conjugate Gradient In most | Chegg.com
Conjugate gradient iterative algorithm | Download Scientific Diagram
(PDF) Least-Squares Based and Gradient Based Iterative Parameter ...
Schematic of the linear approximation of the gradient greedy algorithm ...
Efficient Positive Semidefinite Matrix Approximation by Iterative ...
The derivation of the mean in-degree by the iterative approximation ...
Figure 2 from An Iterative Bidirectional Gradient Boosting Algorithm ...
Iterative approximation curve of parameters in the system... | Download ...
Modified conjugate gradient iterative algorithm for the generalized ...
Iterative approximation to the substrate and Pythagoras mathematical ...
Figure 1 from The accelerated gradient based iterative algorithm for ...
Figure 2 from Iterative gradient projection algorithm for two ...
Solved In the gradient descent iterative algorithm, the | Chegg.com
Table 1 from Gradient iterative algorithm for rational models based on ...
Multidimensional Gradient Methods in Optimization Major All Engineering
PPT - CONJUGATE GRADIENT METHOD PowerPoint Presentation, free download ...
The generalized-gradient approximation (GGA) - YouTube
A modified gradient‐based iterative algorithm for solving the complex ...
Figure 1 from Gradient-based iterative solutions for general matrix ...
PPT - Systems of Linear Equations Iterative Methods PowerPoint ...
PPT - Conjugate gradient iteration PowerPoint Presentation, free ...
Conjugate Gradient Methods | PDF
Iteration process diagram of gradient iteration criterion. | Download ...
Gradient-Based Iterative Parameter Estimation Algorithms for Dynamical ...
(PDF) The Weighted, Relaxed Gradient-Based Iterative Algorithm for the ...
Modified Jacobi-Gradient Iterative Method for Generalized Sylvester ...
(PDF) Gradient-descent iterative algorithm for solving a class of ...
Newton’s iterative method | mathematics | Britannica
PPT - Lecture 5 II Function Approximation PowerPoint Presentation, free ...
The convergence performance of the different gradient-based iterative ...
Numerical Methods Multidimensional Gradient Methods in Optimization Theory
Gradient optimization algorithm | Download Scientific Diagram
We can view gradient descent as minimizing quadratic approximation-CSDN博客
Each iteration of the proximal gradient method can be | Chegg.com
Understanding the implementation of the Integrated Gradient · Issue ...
Hierarchical gradient-based iterative parameter estimation algorithms ...
Solved Perform one iteration of the optimal gradient | Chegg.com
Problem 4 (a) Compute one iteration of the gradient | Chegg.com
(PDF) A gradient-based iterative algorithm for solving coupled Lyapunov ...
Consider an iteration of the projected gradient | Chegg.com
The gradient-descent iterative algorithm for Eq. (8) | Download ...
Modified and accelerated relaxed gradient-based iterative algorithms ...
Gradient‐based iterative algorithm for a class of the coupled matrix ...
Gradient-Based Iterative Identification for Wiener Nonlinear Dynamic ...
(PDF) Existence and approximation of solutions of some first order ...
5 Concepts You Should Know About Gradient Descent and Cost Function ...
Solved 14.8 Perform one iteration of the optimal gradient | Chegg.com
Solved 3. The first iteration xCG(1) of Conjugate Gradient | Chegg.com
Hierarchical Gradient-Based Iterative Parameter Estimation Algorithms ...
Newton Raphson iterative Method | PDF
PPT - Multidimensional Gradient Methods in Optimization PowerPoint ...
A new iterative formula for approximating a value? - YouTube
Solved: 4. The curve C has equation y= e^(2x)/x^3+4 x>-1 (a) Find dy/dx ...
(PDF) Approximate solutions of the $ 2 $D space-time fractional ...
PPT - Introduction to Program Analysis PowerPoint Presentation, free ...
Gradients, tangents and derivatives - Learning Lab - RMIT University
lecture_09.pptx
PPT - Linear Systems of Equations PowerPoint Presentation, free ...
PPT - Ch121a Atomic Level Simulations of Materials and Molecules ...
PPT - First Principle Simulations in Nano-science PowerPoint ...
PPT - Widrow-Hoff Learning Algorithm: ADALINE Network PowerPoint ...
Solved (b) (Iterative Optimization) Gradient-based | Chegg.com
(PDF) Two accelerated gradient-based iteration methods for solving the ...
Approximate solutions of the $ 2 $D space-time fractional diffusion ...
SOLVED: Consider the following density function. Find the maximum ...
Exact and approximated iteration function and its derivative (upper ...
SOLVED: Solve the following system of equations by Gauss Jacobi ...
m3 (2).pdf
Fast, Randomized Algorithms for Partitioning, Sparsification, and - ppt ...
NUMERICAL SOLUTION OF ORDINARY DIFFERENTIAL EQUATIONS - ppt download
PPT - Christopher Ré Joint work with the Hazy Team cs.wisc /hazy ...
Numerical Methods - A-Level Maths Notes - EngineeringNotes
PPT - Computational Materials Engineering with Density Functional ...
PPT - Radiative Equilibrium PowerPoint Presentation, free download - ID ...
SOLVED: Given the linear system: 2x1 + 5x2 - √x3 = -38 -3x1 + √x2 ...
PPT - Atomic Level Simulations: Understanding DFT and Quantum Mechanics ...
PPT - CHAPTER 15 S IMULATION - B ASED O PTIMIZATION II : S TOCHASTIC G ...
Numerical Methods. - ppt download
ENERGY MINIMIZATION METHODS.pptx
PPT - Informative Subspaces: High-level Function from Low-level Fusion ...
Exact and approximate iteration function and its derivative (upper ...
Iteration | mathematics | Britannica
PPT - Supervised learning PowerPoint Presentation, free download - ID ...
Two accelerated gradient-based iteration methods for solving the ...
Axioms | Free Full-Text | The Weighted, Relaxed Gradient-Based ...