Showing 120 of 120on this page. Filters & sort apply to loaded results; URL updates for sharing.120 of 120 on this page
Solved Compute the iterated integral by sketching a graph | Chegg.com
Solved 9 Compute the iterated integral by sketching a graph | Chegg.com
Solved Consider the following iterated integral X (a) Graph | Chegg.com
Solved show the graph of the iterated integral and reverse | Chegg.com
Solved 2 Compute the iterated integral by sketching a graph | Chegg.com
Solved Consider the iterated integral a) Sketch and graph | Chegg.com
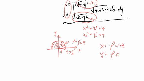
SOLVED:Evaluate the iterated integral by sketching a graph and using a ...
Solved Consider the following iterated integral ∫R∫f(x,y)dA. | Chegg.com
Solved 25-28 (a) Set up an iterated integral in polar | Chegg.com
(a) graph the region associated with each iterated integral, (b ...
SOLVED:(a) graph the region associated with each iterated integral, (b ...
[Solved] Iterated integral. Write an iterated integral of a continuous ...
Solved Write the given iterated integral as an iterated | Chegg.com
Solved (1) Consider the iterated integral f(x, y) dx dy. (a) | Chegg.com
Iterated Integral Example - YouTube
Iterated Integral - Definition, Formula, and Examples
Use an iterated integral to find the area of the region bounded by the ...
Solved: Use an iterated integral to find the area of the region bounded ...
Solved Use an iterated integral to find the area of the | Chegg.com
Solved Write an iterated integral for ∬RdA over the region R | Chegg.com
Solved Find the iterated integral. Identify and graph the | Chegg.com
Visualizing Riemann Sums of a Double Iterated Integral – GeoGebra
Iterated Integral Vs Double Integral– What’S The Difference? – YFAE
Iterated Integral (How-To w/ Step-by-Step Examples!)
SOLVED:Set up, but do not evaluate, an iterated integral for the volume ...
Set up an appropriate iterated integral to find the area of the region ...
Solved Write an iterated integral of a continuous function f | Chegg.com
Double integral (Part 1) "Geometrical Or Volume Explanation" ITERATED ...
Integral Calculus Graph Formula Mathematics Stock Vector (Royalty Free ...
Solved Evaluating an Iterated Integral In Exercises 11-28, | Chegg.com
Solved a. Set up an iterated integral in polar coordinates | Chegg.com
5 points let k 0 set up an iterated double integral that will give the ...
SOLVED:Express the double integral as an iterated integral and evaluate ...
SOLVED:(a) Set up an iterated integral in polar coordinates for the ...
Evaluate the iterated integral I below. Sketch the region of ...
SOLVED: Use an iterated integral to find the area of the region bounded ...
Solved Consider the iterated integral | Chegg.com
Exer. 1-4: Set up an iterated double integral that can be used to find ...
Calculate the iterated integral - YouTube
consider the following fx yx y2 a set up an iterated integral in polar ...
For the iterated integral \int_{0}^{1} \int_{0}^{(1-x^{2})} \int_{0 ...
Answered: 1) Graph the region of integration for… | bartleby
Introduction to Iterated Integrals - Calculus 3 - YouTube
PPT - Iterated Integrals | Mastering Double Integrals PowerPoint ...
Solved 3. (9 pts) The double integral [], (x + 2) dA can be | Chegg.com
SOLVED: Sketch the solid region whose volume is given by the iterated ...
SOLUTION: Lesson 20 iterated integrals - Studypool
Iterated Double Integrals – GeoGebra
Graphing An Integral at Caitlin Gilles blog
transform the given iterated integrals into it equivalent inversed ...
Integral Calculus - Formulas, Methods, Examples | Integrals
4 Iterated Integrals - Lecture notes 4 - MATH 2015 - Studocu
Sketch the solid whose volume is given by the iterated integral. ∫0^1 ∫ ...
Solved 2. Use the sum of iterated integrals below to answer | Chegg.com
Answered: Which of the following iterated integrals computes the volume ...
Solved In Exercises 17-22, iterated integrals are given that | Chegg.com
Triple iterated integrals (KristaKingMath) - YouTube
Iterated Integrals
Solved: Suppose R is the shaded region in the figure. As an iterated ...
Set up iterated integrals for both orders of integration. Then evaluate ...
multivariable calculus - Writing five other iterated integrals that are ...
Solved 1-6 Evaluate the iterated integral. 1. | Chegg.com
Solved Use a double-iterated integral to find the volume of | Chegg.com
Solved 8. (12 points) Each of the iterated integrals | Chegg.com
Solved Problem. 4: Calculate the iterated integral. | Chegg.com
Calculate the iterated integral. \int_{1}^{3} \int_{0}^{1} (1 + 4xy)
Solved Write five other iterated integrals that are equal to | Chegg.com
Double Integrals: Iterated Integrals
SOLVED: Suppose R is the shaded region in the figure. As an iterated ...
Solved 2. For each of the following iterated integrals, find | Chegg.com
Evaluate each of the following iterated integrals. | Chegg.com
Solved Use the sum of iterated integrals below to answer the | Chegg.com
Solved a)Calculate the iterated | Chegg.com
Solved Problem. 9: Calculate the iterated integral. | Chegg.com
Solved Write the sum of the two iterated integrals as a | Chegg.com
How to solve Iterated integrals with solved problems - YouTube
Integrals / Integral Calculus - Statistics How To
Solved 2) Evaluate the iterated integral. a) | Chegg.com
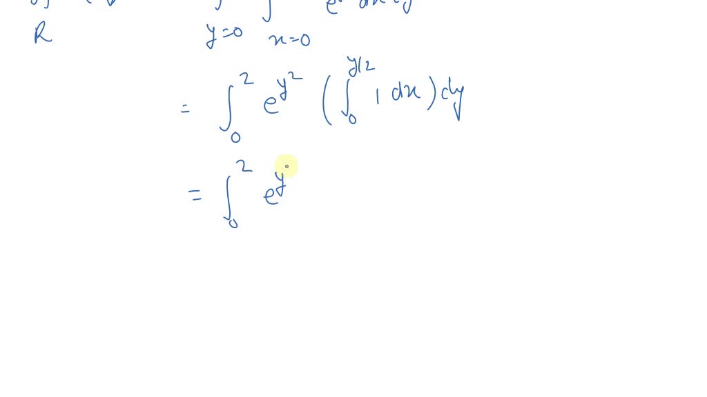
Solved Evaluate the iterated integrals (e) ∫01∫0y2ydxdy | Chegg.com
Solved Problem S: Set-up the two iterated integrals that are | Chegg.com
Solved DO NOT EVALUATE THE ITERATED INTEGRAL. 6. (2 points) | Chegg.com
Solved In problems 38 to 42 evaluate the iterated integral. | Chegg.com
#7 Consider the following. f(x, y)=4 (i) (a) Set up an iterated ...
SOLVED: 5. Write five other iterated integrals that are equal to the ...
PPT - Multiple Integrals 15.2 Iterated Integrals PowerPoint ...
Understanding Iterated Integrals in Calculus 2 - Examples and | Course Hero
Solved Use a graphing utility to evaluate the iterated | Chegg.com
Iterated Integrals and Area
PPT - Double and Triple Integrals PowerPoint Presentation, free ...
Solved Consider the following function and graph.y=25-x2Use | Chegg.com
4.) Indicate domains of integration for double | Chegg.com
Solved Consider the following. f(x,y)=x+y (a) Express the | Chegg.com
Solved Use a graphing utility to evaluate the triple | Chegg.com
Double Integral: Step-by-Step Calculations and Practice
PPT - Vector Calculus PowerPoint Presentation, free download - ID:6781310
Calculus Archive | July 27, 2015 | Chegg.com
PPT - Multiple Integrals PowerPoint Presentation, free download - ID:312687
Double Integrals Explained at Carlo Simmons blog