Showing 120 of 120on this page. Filters & sort apply to loaded results; URL updates for sharing.120 of 120 on this page
The C.A.R.S. Model to Framing and Revising Your Introduction Section ...
Research writing Introduction CARS model - YouTube
Introduction Stage Ppt PowerPoint Presentation Model Mockup
Introduction Model Ai | 02 - YouTube
Introduction - Model Context Protocol | Pawan Samdani
My Introduction - MODEL
Model Introduction Photoshoot - 624 Design
Introduction model adapted for initial state construction | Download ...
Best Free Business Model Introduction Google Slide Themes And ...
Introduction to Model Theory | Taylor & Francis Group
The visual output of the introduction model based on the classification ...
Introduction | Model Context Protocol Unlocked - From Fundamentals to ...
(PDF) An Introduction to Modeling Science: Basic Model Types, Key ...
Introduction - Model Context Protocol | Buğra Çakır
A 1 Introduction model answer - Assignment 1: Introduction Chapter 1, 2 ...
Introduction To Mathematical Modeling | PDF | Mathematical Model | System
Model Introduction... - Model Introduction Dating Magazine
Introduction Model Simula
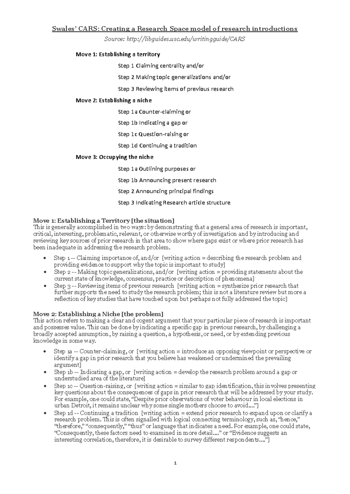
CARS: Introduction Model for Research Papers and Articles - Studocu
PPT - The CARS Model for article introductions PowerPoint Presentation ...
Top 10 DevOps Introduction PPT Templates with Samples and Examples
Introduction to Large Language Models | by Andy McMahon (Electric ...
Data Modeling – The Unsung Hero of Data Engineering: An Introduction to ...
Mockup Model Powerpoint Templates Free Download, 100+ PPT Template ...
Introduction - How to write an essay - LibGuides at University of ...
PPT - Introduction to Modeling PowerPoint Presentation, free download ...
Essay Introduction Template How To Write An Essay Outline + Essay
How to Write an Introduction For an Essay: Guide With Examples - Ca ...
Self Introduction Ideas _ Self Introduction Examples – LEMSS
PPT - Introduction to Models PowerPoint Presentation, free download ...
Self Introduction Sample
How to write an academic introduction / Academic English UK
How To Self Introduction In English - Infoupdate.org
Introduction Of Myself
Introduction To Presentation
Best self introduction model. - YouTube
Self Introduction Sample For Students
Professional Introduction Self-Introduction in English Examples Tips ...
Self Introduction Ideas - Examples 2022
Free Sample Teacher Letter of Introduction Template to Edit Online
Getting Started - An Introduction to Models - Wonderland Models
Structure Methodology Model - Infoupdate.org
PPT - Introduction to Standard Model: Theoretical Foundation of ...
Introduction: Model me this
Mathematical Modeling - Introduction and Early Examples | PDF
Introduction Models based
APPROACHES OF DBMS AND RDBMS. Introduction of DBMS and RDBMS | by Nimas ...
What Is Cars Model In Research at Chloe Maygar blog
Introductions to Social Business Model Course - MYEO, Myanmar Youth ...
ML-Lecture01-Introduction Model Selection and Evaluation.pdf ...
An Introduction to Part-Whole Models PowerPoint
CARS Model for Research Introductions | PDF | Communication | Learning
2- Introduction to Modeling.pdf
PPT - Introduction to Simulation PowerPoint Presentation, free download ...
An Introduction to Models-Based Practice e-Learning | PHE Canada
Introduction to Probability Models - Edition 13 - By Sheldon M. Ross ...
Introduction To Large Language Models | PDF
[PPT] - Part 2: Introduction to Graphical Models Sebastian Nowozin and ...
(PDF) Introduction Models of teaching English for foreign learners
Introduction to Probability Models - Edition 11 - By Sheldon M. Ross ...
Showoffs Top Model Magazine 2023 Model Introductions | model, tiara ...
Introduction to Mathematical Modeling Pt 2 - YouTube
Introduction Stage
11 Introduction-TO- Modeling - CHAPTER 11: INTRODUCTION TO MODELING ...
Amazon.com: Introduction to Probability Models: 9780128143469: Ross ...
Introduction to Building Information Modeling (BIM) | Fluidconstructions
Showing the summary of the models introduction page. | Download ...
Generating documents through LLMs: A hands-on guide to model fine ...
"Introduction to Model Theory” Math Seminar | Birzeit University
Introduction for models - ESL worksheet by SashaM
Introduction Models - YouTube
Introduction to Business Models (+ Free Presentation Templates ...
Introduction to Modelling.pptx Introduction to Modelling.pptx
An Introduction to Linear Models for Data Science | Stitch Fix ...
PPT - MATHEMATICAL MODELLING: GENERAL CONCEPTS AND INTRODUCTION ...
[PPT] - A Brief Introduction to Graphical Models and How to Learn Them ...
Diffusion Model Clearly Explained! | by Steins | Medium
Conceptual Model
Introduction to the model. | Download Scientific Diagram
Introduction - Nautobot Documentation
Introduction to Mathematical Modelling - 1 Introduction 1 What is ...
What Is A Linear Model Example at Terry Comer blog
Introduction to mathematical modelling | PPTX
Introduction to Mathematical Modeling. Optimization | PPTX
Machine Learning System Design Introduction | by Prem Vishnoi(cloudvala ...
Introduction To Mathematical Modeling | PDF | Force | Differential ...
How To Write CaRS Introductions
Introductions for Research Papers
PPT - Modeling Concepts and Overview of the Unified Modeling Language ...
Examples Of Teacher Modeling at Caitlin Grimmett blog
(PDF) Writing research article introductions in software engineering ...
The structure of Introductions in scientific articles: Swales' CARS ...
1 CHAPTER INTRODUCING MODELS (AND THIS BOOK) OUR | Chegg.com
Self-introduction for Students in College – The Simple Guide
PPT - MAKING A “MODEL” PowerPoint Presentation, free download - ID:658058
Education PowerPoint Templates and Google Slides - SlideKit
(PDF) Introduction: models, images and representations
(PDF) Rethinking PhD Thesis Introductions from Higher Education ...
Model: Introductions | PDF
PPT - Introduction-to-Large-Language-Models PowerPoint Presentation ...
Mathematical modelling ppt | PPTX
(PDF) Generic structure of research letters’ introductions: CARL ...
Introduction_to_mathematical_modeling.pptx
(PDF) Introduction: Business models and modelling business models
Overview: Modeling with mathematics - Nexus Wiki
PPT - Mathematical Models and Block Diagrams of Systems Regulation And ...
scikit-learn – Machine Learning Models in Python – Workflow ...
Instructor's Manual for Sheldon M. Ross' Probability Models (12th Ed ...
Exploring Multimodal Large Language Models: A Step Forward in AI | by ...