Showing 120 of 120on this page. Filters & sort apply to loaded results; URL updates for sharing.120 of 120 on this page
Full sky intensity map of interplanetary hydrogen Lyman α emission ...
The integrated intensity map of [O I] at 63 μm from −20 to 20 km s −1 ...
The intensity map of the H I 21 cm emission in 12 successive channels ...
Two-dimensional intensity map of the active region NOAA 12661, composed ...
Map of the relative intensity of the cosmic ray | Download Scientific ...
An Intensity Map of Hydrogen 21-cm Emission at Redshift z ~ 0.8 — NRAO ...
(a) Map of H I 21 cm emission intensity integrated over the velocity ...
Radiation intensity map produced by the UAV and illustration of the ...
The 21cm intensity map from the Model-256 3 (cell size 0.39Mpc/h) at z ...
Upper panel: significance map of the cosmic ray relative intensity in ...
Radio intensity map showing transit of galactic plane corresponding ...
Map of detected emission intensity of Hydrogen | Download Scientific ...
Community Internet Intensity Map
Intensity maps for our targets with CO(3 −2), in units of Jy km s −1 ...
[CII] integrated intensity maps of DYNAMO galaxies in units of Jy km s ...
(a) Intensity-weighted mean velocity (moment 1) map of the H 13 CO ...
Continuation of Figure 2. Total Intensity maps from CHANG-ES L-band ...
Intensity maps of the galaxies. The [CII] emission follows the ...
H I integrated-intensity map overlaid with the contours of 12 CO ...
Integrated intensity maps of the 0.9 mm continuum emission and a subset ...
Total Intensity maps + contours from CHANG-ES L-band (left column) and ...
Recovery of 21-cm intensity maps with sparse component separation ...
Application of a Semi-Empirical Approach to Map Maximum Urban Heat ...
(Color online) (a)-(h) Real-space emission intensity maps for different ...
Oxygen line intensity maps (left panels, in units of photon s arcsec 1 ...
astrophysics - Intensity mapping of the 21 cm line - Physics Stack Exchange
Figure S6. Radially resolved optical emission intensity maps for He I ...
In panels (a) and (b), we show the integrated intensity maps of the HCO ...
Maximum intensity moment maps of all the molecular transitions detected ...
Intensity mapping of post-reionization 21-cm signal and its cross ...
Total intensity maps with contours at 3, 6, 9, and 12× the sky rms. At ...
-Integrated intensity (moment 0) maps of the primarily targeted ...
An Overview of CHIME, the Canadian Hydrogen Intensity Mapping ...
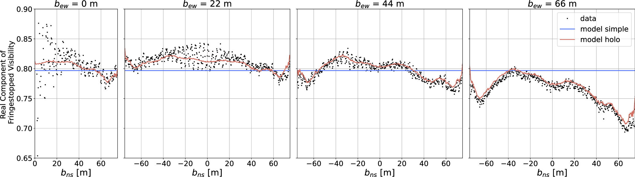
Holographic Beam Measurements of the Canadian Hydrogen Intensity ...
Areal maps of the intensity of the radiation on the sample plane (left ...
(PDF) Cosmology with 21cm intensity mapping
Hydrogen Sky Map
Figure 1 from Radiometer system to map the cosmic background radiation ...
ULTRA 1V1V1 RELOAD 4262-4796-2904 by bisppo - Fortnite Creative Map ...
Delta Force: Black Hawk Down... - Retro Game Intensity | Facebook
The RPG that turned a simple... - Retro Game Intensity | Facebook
Earthquake distribution map hi-res stock photography and images - Alamy
Hurricane Melissa Jamaica landfall time: Map, tracker, path, intensity ...
How Does Coal Intensity Vary by Type? → Learn
The comments attributed to Matt Grimes have added further intensity to ...
Defiance tried something few games... - Retro Game Intensity | Facebook
Kenya Met Announces Counties to Receive Increased Rainfall Intensity ...
RWY 28 PAPI high intensity unserviceable - KRIW NOTAM | Notamify
Dead Hour Noise (MI), Constant Hell, Terminal Intensity & Wind Break ...
Rising intensity for Nebraska baseball amidst crucial midseason stretch ...
1PCS BH1750FVI GY-302 Digital Light intensity Sensor Module 3V-5V For ...
New intensity scale in the NWS SPC outlooks
Storm Prediction Center adds new intensity levels, changing how we read ...
$BTC — The hourly energy map provided a good reflection of today’s ...
Rainfall rates increasing in intensity over time: here’s why
color map Ramp colorize
Limfa Low Intensity Magnetic Fields Appliance (1 Seduta) a Prato Zona ...
Intensity of use of computers, laptops, tablets, smartphones or any ...
MAPS - Disks
Figure 1 from Astrophysics and Cosmology with Line-Intensity Mapping ...
PPT - Hydrogen 21cm Cosmology PowerPoint Presentation, free download ...
Estimation of Cosmic-Ray-Induced Atmospheric Ionization and Radiation ...
Synthetic emission maps of HI (21-cm line) seen from a position of 7.5 ...
Neutral atomic hydrogen (HI) 21-cm emission line observed toward six ...
HI column density maps. Maps of 21 cm emission over a 12... | Download ...
Dynamical profile in the Galactic center. (A) The intensity-weighted ...
[1908.07533] ESA Voyage-2050 White Paper: Mapping Large-Scale-Structure ...
cosmic background radiation
Maps of continuum astrophysical emissions at frequencies between 30 and ...
(PDF) Detection of Cosmological 21 cm Emission with the Canadian ...
Earthquake near San Jose rocks the Bay Area early Thursday morning
Astronomy & Astrophysics (A&A)
Dozens feared dead in Myanmar as military declares state of emergency ...
5.7 earthquake hits northern Nevada | WGNO.com
Hydrogen 21cm Cosmology Tzu-Ching Chang (ASIAA) - ppt video online download
On Radiation, Maps, and Sieges | Starbase Forum
Shallow M5.4 AFTERSHOCK hit in the North Pacific Ocean 195km from ...
Significant M5.5 Earthquake struck on Tuesday Morning in the Sawu Sea ...
-v-diagram of Galactic 21 cm line emission. The diagram has been ...
The 21cm cosmological hydrogen signal. (Top) Time evolution of ...
Ohio earthquake: 3.3-magnitude reported near Chesapeake
Cosmic-Ray Electrons and Radio Emission in Merging Galaxy Clusters ...
Hydrogen Clouds detected with 21 cm Line Emission – PhysicsOpenLab
On Friday Afternoon a Shallow M6.1 Earthquake struck in the Coral Sea ...
Strong bursts of energy that repeat like a heartbeat are detected ...
Flash update 6 below. Displacement increasing, civilians being heavily ...
FLIM-Based High-Content Screening on LSM Systems
Comprehensive Instructor Training | Barre Training and Certification ...
US Tornado Tracks Map: Explore Historical Tornadoes By Year And ...
[Breaking news]M7.5 earthquake in Kanto, Tohoku, Chubu, Hokkaido, Kinki ...
Improved urban flood detection using Sentinel-1 by effective ...
Map: 7.4-Magnitude Earthquake Strikes Near Japan - The New York Times
Rio Dell earthquake: Maps show shaking intensity, aftershocks following ...
Hat Tricks Rise to the Moment, Take Down Generals, 4-1, in Playoff ...
About Cosmic Ray Modulation in the Heliosphere
Weak Mag. 2.2 Earthquake - 28 km East of Chalkida, Euboea, Central ...
20 Times Larger Than the Milky Way: Large Atomic Gas Structure Discovered
Tracking Gabrielle: The latest maps and models
You can try these high intensity, Tabate exercises at home ...
7 high-intensity dumbbell exercises for a mass-building shoulder workout
Giant Metrewave Radio Telescope Measures the Atomic Hydrogen Gas Mass ...
6.5: The 21-cm hydrogen line from radio sources inside the Milky Way ...
First Detection of the 21cm Cosmic Dawn Signal | astrobites
Why 21 cm is our Universe's "magic length" - Big Think
07/01/21 11:30 AM, New Jersey Intensity, Offense - Walks | tagupSoftball
Scientists may have finally found where the 'missing half' of the ...
21-cm Radiation from Atomic Hydrogen - YouTube
REACH, the Radio Experiment for the Analysis of Cosmic Hydrogen begins ...