Showing 120 of 120on this page. Filters & sort apply to loaded results; URL updates for sharing.120 of 120 on this page
Guía completa de integrales inmediatas simples y compuestas | PDF
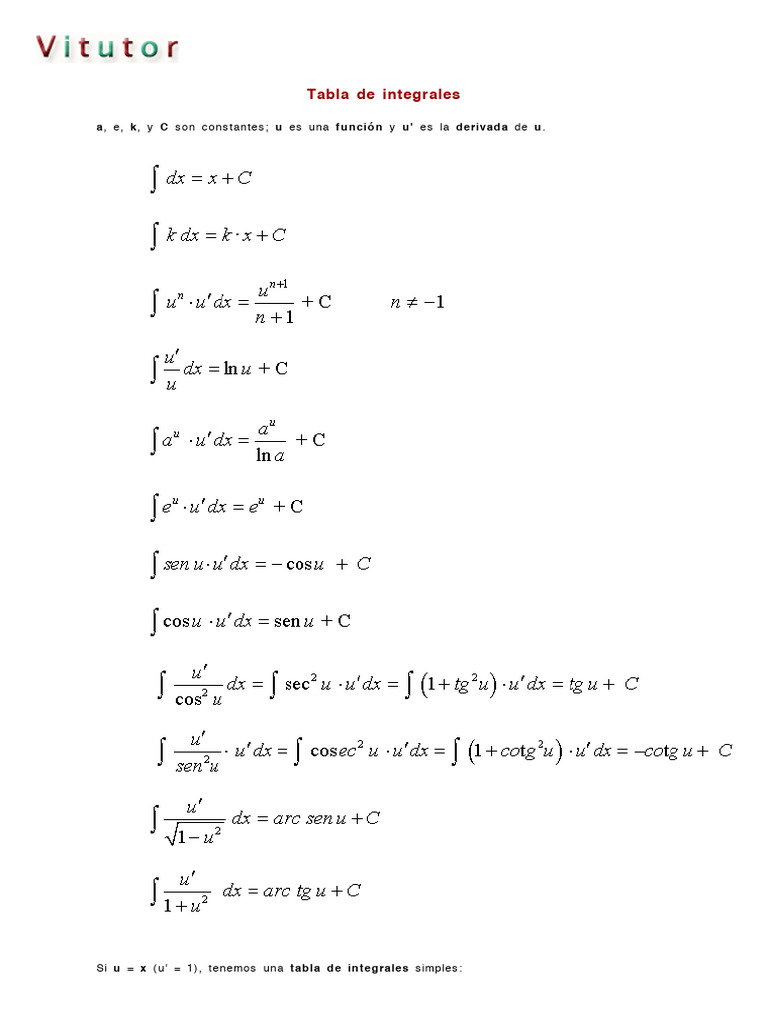
Tabla Integrales - TABLA DE INTEGRALES INMEDIATAS Funciones Simples Z Z ...
Guia de Ejercicios de Integrales Simples | PDF
Dos integrales por el método de fracciones simples con raíces simples ...
Integrales simples – GeoGebra
Aplicaciones de Las Integrales Simples y Dobles | PDF | Integral | Cálculo
Integrales Simples Ejercicios - Docsity
Tabla de Integrales Simples | PDF
Tabla de Integrales Inmediatas - Funciones Simples y Compuestas - Studocu
Nociones Básicas de Integrales simples en una variable real | PDF ...
Ejercicios Resueltos de Integrales Simples | PDF
Ejercicios de integrales simples - Docsity
Integrales Simples | PDF
Integrales Simples | uDocz creators | uDocz
Integrales Simples Definidas MATLAB | PDF
Integrales simples RD..
SOLUTION: Chapitre 3 les integrales simples - Studypool
Integrales Simples - Solucionario | Libro PDF
SOLUTION: Serie integrales simples exercices - Studypool
Calcular integrales simples Matemáticas 2º Bachillerato Academia Usero ...
INTEGRALES SIMPLES EN EXCEL| BioEstadística Sin Lágrimas - YouTube
Integrales Triples - INTEGRALES TRIPLES Integrales simples Así como en ...
Integrales inmediatas (o integrales directas)
Integrales Tablas: Guía Completa de Fórmulas Esenciales
Ejemplos resueltos de integrales inmediatas
Tipos De Integrales Y Cómo Resolverlas – RFIFJT
Cálculo integral: Integrales directas
Tabla de integrales inmediatas | Integral | Análisis matemático
CALCULO I: INTEGRALES
INTEGRALES FÓRMULAS BÁSICAS PDF EJERCICIOS Y EJEMPLOS RESUELTOS DE ...
CALCULO INTEGRAL: INTEGRALES INMEDIATAS Y DEFINICIÓN DE INTEGRAL DE UNA ...
INTEGRALES INMEDIATAS - MATEMÁTICAS V
Tabla Integrales - Lecciones de matemáticas
Tabla De Integrales
Tabla de integrales elementales y sus ejemplos | PDF
Tabla de integrales de funciones conocidas con ejemplos de funciones ...
Integrales desde cero curso con Trucos y ejercicios resueltos paso a paso
F-Tabla de Integrales Inmediatas - TABLA DE INTEGRALES INMEDIATAS TIPOS ...
Integrales Inmediatas Ejercicios Resueltos De Integrales
TABLA Y FORMULARIO DE INTEGRALES EN PDF
Ejercicios de integrales inmediatas
Integrales 07: Tabla de integrales básicas - YouTube
Integrales algebraicas. Fórmulas básicas para Integrar y Ejercicios 1-4 ...
FORMULAS INTEGRALES | Tabla de integrales | Cálculo integral | uDocz
Integrales inmediatas resueltas: Métodos de integración: cálculo de ...
Curso: Integrales simples-ejercicio 5 - YouTube
Guía de Integrales | PDF | Integral
Ejemplos de integrales inmediatas: simplifica cálculos fácilmente
Integral definida sencilla, integrales definidas - YouTube
Integrales - Ejercicios Resueltos | PDF | Integral | Funciones ...
Integrales De Funciones Racionales Resueltas Paso A Paso Integrales
Tabla de Integrales | PDF
INTEGRALES INMEDIATAS PROBLEMAS RESUELTOS PDF
Integrales Online Con Pasos - jendela ilmu
Tabla de integrales inmediatas | DOCX | Physics | Science
Curso: integrales simples-ejercicio 3 - YouTube
Integrales definidas - Guía y ejercicios resueltos
Tabla de integrales inmediatas - Integrales inmediatas tipo forma ...
tabla integrales inmediatas
Formulario De Integrales Tablas De Integrales
Cómo resolver integrales de una forma muy práctica
Integrales Simples. Repaso de Métodos de Integración | PDF | Integral ...
CALCULO INTEGRAL: Como resolver Integrales definidas e indefinidas ...
8- Integración de funciones racionales con raíces simples en el ...
Formulario de Integrales completo
Formula Para Integrales - freeteenbys
Integrales simples, ejercicio 15 videl chavez - Calculo - UNSA - Studocu
Tabla integrales inmediatas - 3. Tabla de integrales inmediatas r ...
Como desarrollar integrales simples, área de una función plana e ...
Integrales: Las Fracciones Simples - YouTube
Tabla de integrales inmediatas (ciencias) - Tabla de integrales ...
Integral definida: Todo sobre integrales y sus aplicaciones
SOLUTION: EJERCICIOS RESUELTOS DE INTEGRALES MATEMÁTICAS SIMPLIFICADAS ...
Tabla de integrales inmediatas - Cálculo II - FUNCIÓN SIMPLE FUNCIÓN ...
Soluciones Integrales
Formulario De Integrales
Integrales y derivadas
Intégrales simples : cours complet | PDF | Intégral | Fonction ...
Integrales de Fracciones Simples... Entrega | PDF
Exercices sur les intégrales simples - Docsity
Tabla de integrales - Fórmulas de las integrales Función Función simple ...
Formulario de Integrales - 1. Formulario de Integrales 1. Formas ...
Integrales Dobles en Coordenadas Polares EXPLICACIÓN COMPLETA - Parte 1 ...
calculoq231221sa23 - Cálculo Diferencial - TABLA DE INTEGRALES ...
Les intégrales simples
Calcul Des Intégrales Simples Activité 1 - YouTube
Tabla de Integrales Completa Purcell - PDFCOFFEE.COM
formulas
Integración por partes:【Teoría y Ejercicios Resueltos
10. Integrales. Resolución paso a paso (ejemplo 5) - YouTube
C.A.tareas1ºbachilleratociencias: 5 Integral
All Integration Formulas - Complete List of Integrals - Cuemath
¿Qué es la Diferencia entre Integral Definida e Indefinida ...
Integral
Ejercicios-Resueltos-I-Integrales-simples.pdf
How to solve a simple integral - YouTube
Pin en Matemáticas
Integración por partes - Ejercicios resueltos - Neurochispas
les intégrales Exercice 1 - YouTube
Integral Calculus - Formulas, Methods, Examples | Integrals
List of Integral Formulas - Rules for integration, Solved Example PDF
Calculadora de integral: Calcule Integrais Definidas e Indefinidas
Integral definida vs indefinida, guía definitiva, diferencias y ...
Integral Definida: Área sob uma Curva - Dicas de Cálculo
Integral definida como área bajo la curva Ejemplos 3 y 4 - YouTube
La Integral Indefinida – Cálculo Integral | CiberTareas
calculus:simple_integrals
Cálculo de áreas. Aplicación de la integral definida - YouTube
Repaso-Integrales-Simples.pdf
Calculus - Simple English Wikipedia, the free encyclopedia