Showing 120 of 120on this page. Filters & sort apply to loaded results; URL updates for sharing.120 of 120 on this page
PPT - Exploring Multistep Methods for Solving Initial Value Problems ...
Initial Value Problem - YouTube
PPT - Numerical Methods To Solve Initial Value Problems PowerPoint ...
Calculus: Initial value problem (IVP) example - YouTube
How to Solve an Initial Value Problem with Initial Conditions - YouTube
Calculus Solving a Differential Equation an Initial Value Problem - YouTube
Calculus: Solving an initial value problem - YouTube
5.5-5 Solving a simple initial value problem using a substitution - YouTube
Differential Equation - 2nd Order (30 of 54) Initial Value Problem ...
Solution of first order Initial value problem using Fourth order R K ...
Solved Initial Value Problem Example Use each of the two | Chegg.com
Ex # 9.1, Q4 (i,ii, iii)|| Initial value Problem || Mathematical Method ...
Initial Value Problems: ODEs & Numerical Methods
Solved Solve the initial value problem by the method of | Chegg.com
Solved Solve the initial value problem using the method of | Chegg.com
Solving an initial value problem (calculus) - YouTube
Solved Problem 4: Solve the initial value problem given | Chegg.com
Solved gnment 1: Solve the initial value problem from t=0 to | Chegg.com
Solved Consider the initial value problem given | Chegg.com
Solved Solve the following initial value problem over the | Chegg.com
Difference Methods for Initial Value Problems: Richtmyer, Robert D ...
An Introductory Initial Value Problem - YouTube
Answered: Consider the following initial value problem dy dt --2y=f(t ...
Solved In Problems 1 through 10, an initial value problem | Chegg.com
Solved Solve this initial value problem using the method of | Chegg.com
Solved The following Initial Value Problem will form the | Chegg.com
Solved Find the solution to the initial value problem y" + | Chegg.com
Solved Solve the given initial value problem using the | Chegg.com
Solved 3. Consider the first-order initial value problem | Chegg.com
Answered: Q1) Solve the following initial value problem over the ...
Solved Solve the initial value problem by using the method | Chegg.com
SOLVED: 25.1 Solve the following initial value problem over the ...
Solve the initial value problem using a numerical method: Given the diff..
Solved Solve the following Initial Value Problem in the | Chegg.com
Numerical Methods for Initial Value Problems in Physics | SpringerLink
Solved 1. Solve the initial value problem using the method | Chegg.com
Solved 1. Solve numerically the initial value problem given | Chegg.com
Solved : Solve the given initial value problem using two | Chegg.com
Solved Question 1Solve 𝑦(𝑡) from the initial value problem | Chegg.com
Solved Solve the given initial value problem using ONE (1) | Chegg.com
(PDF) On Some Numerical Methods for Solving Initial Value Problems in ...
Solved A method to integrate the initial value problem | Chegg.com
Solved 1. solve the initial value problem in part (a) using | Chegg.com
(PDF) Method to solve Initial Value Problem by using Simple Complex Roots
Solved Problem 1: Solve the given initial value problem | Chegg.com
Solved Solve the initial value problem below using the | Chegg.com
Libro Difference Methods For Initial Value Problems: Inte... | Envío gratis
Initial Value Problem Using Method of Undetermined Coefficients - YouTube
Solved Solve the initial value problem using the Method of | Chegg.com
Solved In problems 1 and 2, solve the initial value problem | Chegg.com
Initial Value Problem by Power Series Method - YouTube
Solved Problem 1. Consider the initial value problem | Chegg.com
[Solved] Solve the given initial value problem using the method of ...
[Solved] Consider the initial value problem . Using Euler's method ...
Question Video: Solve an Initial Value Problem Using Inverse ...
Solve the initial value problem below using | StudyX
PPT - Initial Value Problems PowerPoint Presentation, free download ...
🔵33 - Solving Initial Value Problems using Laplace Transforms method ...
ODE | Initial value problems - YouTube
ODE | Initial value problems for second order equations - YouTube
Initial value problems and numerical methods-converted.pdf - Initial ...
6.2 Solution of Initial Value Problems To obtain the Laplace ...
Solved: initial value problem-difference method - PTC Community
Solved Solving Initial Value Problems Solve the initial | Chegg.com
Solved Solve the following Initial Value Problems using the | Chegg.com
Initial Value Problems
Solved Finding Solutions for each of the initial value | Chegg.com
(PDF) On A New Symbolic Method for Initial Value Problems for Systems ...
Initial Value Problems for Ordinary Differential Equations
Solved Q1. Give two examples of initial value problems | Chegg.com
Solve the initial value problems - Query Point
Solved Solve the initial value problemy'=2ty2,y(0)=y0 | Chegg.com
Finite difference method-initial value problem - Mathematics Stack Exchange
How to solve initial value problems - YouTube
Solved Solve the initial value problems by the method of | Chegg.com
MATH 2180 Solution of Initial Value Problems.pdf - Chapter 5 1 1.1 ...
Solved Solution of Initial Value ProblemsEXAMPLE 3Find the | Chegg.com
Solved Solving Initial Value ProblemsSolve the initial value | Chegg.com
Solved Solving Initial Value Problems. Solve the initial | Chegg.com
(PDF) Solving Initial Value Problems by using the Method of Laplace ...
Solved Solve the initial value problem: 𝑦 ᇱ = (𝑦 − 𝑥) ଶ , | Chegg.com
Solve Initial Value Problem-Definition, Application and Examples
Solved 1. Given the following initial value problem, | Chegg.com
PPT - Laplace Transform for Initial Value Problems PowerPoint ...
(PDF) A New Method for Solving Initial Value Problems
(PDF) Numerical Methods for Ordinary Differential Equations: Initial ...
Solved In Problems 25-32, solve the given initial value | Chegg.com
11 initial value problems system | PPT
Solved In Problems 1-14, solve the given initial value | Chegg.com
Initial value problems | PPTX
Solved (8) (a) Solve the initial value problem: | Chegg.com
Introduction to Initial Value Problems | Slides Calculus | Docsity
PPT - SE301: Numerical Methods Topic 8 Ordinary Differential Equations ...
Solved Methods for solving initial-value problems also can | Chegg.com
Solved Solve the initial-value problem using the method of | Chegg.com
Solved 24. Solve the initial-value problem by the method of | Chegg.com
Solved 4. (10 points) (Initial Value Problem) Write down the | Chegg.com
Solved 4. [Initial Value Problem] Suppose a chemical process | Chegg.com
Introduction to Numerical Methods for Differential Equations | PDF ...
Solved Consider the following initial-value problem to be | Chegg.com
Solved QUESTION 1. Initial-value problem via | Chegg.com
PPT - Numerical Analysis – Differential Equation PowerPoint ...
PPT - AP CALCULUS AB PowerPoint Presentation, free download - ID:4782547
PPT - Ch3-Sec(2.3): Modeling with First Order Equations PowerPoint ...
A second order ordinary differential equation has the general form ...
Given the initial-value problems in Problems 1-10, | Chegg.com
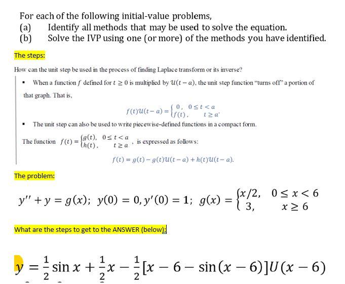
Solved For each of the following initial-value problems, ) | Chegg.com
Chapter 5 Numerical Solution of Initial-Value Problems
PPT - Chapter 1: First-Order Differential Equations PowerPoint ...
Solved 3. The actual solutions to the initial-value problems | Chegg.com
Initial-Value Problems | PDF | Equations | Differential Equations
Differential Equations - ppt download
Solved Consider the following initial-value problem. | Chegg.com
PPT - MATH 685/ CSI 700/ OR 682 Lecture Notes PowerPoint Presentation ...
Linear Algebra Lecture ppt download