Showing 118 of 118on this page. Filters & sort apply to loaded results; URL updates for sharing.118 of 118 on this page
Figure 6 from A cycle of deprotonation and reprotonation energizing ...
Am Deprotonation and Reprotonation Events reconstructed from snapshots ...
24. Mechanism of GluR. Deprotonation and reprotonation of Dglutamate ...
The problem of incomplete DNA replication and its solution by ...
Schematic image of an incomplete cavity replication. | Download ...
Incomplete abortion | PPTX
Incomplete Abortion: Causes, Symptoms, Diagnosis & Treatment
Incomplete Abortion | PPTX
Incomplete Abortion - Symptoms, Causes, Risks and Treatment
Incomplete Abortion || Ultrasound || Case 236 - YouTube
PPT - What To Understand About Symptoms And Treatment For Incomplete ...
Incomplete Abortion: Causes, Signs & Treatment
Incomplete abortion.pptx
Incomplete Abortion: Discover Causes, Symptoms & Treatment
Signs of Incomplete Abortion:Causes,Risks & Treatment Option
Incomplete Abortion: Signs and What Should You Do – safe2choose
Signs and Symptoms of Incomplete Abortion - Pristyn Care
Incomplete Abortion | PDF | Miscarriage | Reproductive Rights
Scheme 1. Representation of polyaniline base reprotonation with ...
Recognizing Signs of Incomplete Abortion: Guidance from Expert ...
incomplete abortion | DOCX
Ultrasound Video showing Incomplete abortion. - YouTube
A&P2- Reproductive Part 3 Incomplete Flashcards | Quizlet
What is an Incomplete Abortion? - LivingWell Medical Clinic
What Is An Incomplete Abortion? - YouTube
What Is Incomplete Abortion? Everything You Need To Know
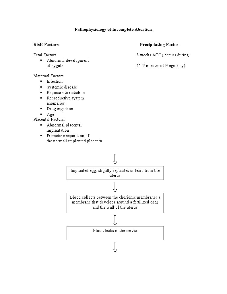
Pathophysiology of Incomplete Abortion | PDF | Miscarriage | Uterus
Imaging Study: Incomplete Abortion
PPT - What Are The Reasons For Incomplete Abortion? PowerPoint ...
What Are the Signs of an Incomplete Abortion? | Chennai Abortion Clinic
Complete vs Incomplete Proteins: What Are the Key Differences ...
What Are the Signs of an Incomplete Abortion? | Life Center
Incomplete Abortion: Symptoms, Risks & What to Do
Incomplete Dominance Examples
Incomplete Dominance Examples Hey Students! Ready For Genetics?
Incomplete Abortion
Incomplete dominance - Definition and Examples - Biology Online ...
Incomplete Abortion: Symptoms and Treatment - Neelu Prajapat
Incomplete Abortion || Ultrasound || Case 180 - YouTube
2. INCOMPLETE ABORTION ULTRASOUND - YouTube
Repro: Contraception and incomplete ovariectomy Flashcards | Quizlet
-figure supplement 2. Investigation of the reprotonation step in the ...
Incomplete Abortion: Symptoms, Causes & Treatment | Experts Health ...
Incomplete Combustion Reaction
Incomplete Abortion | Obs & Gynae | Rapid Revision | DC Dutta - YouTube
Incomplete Abortion || RPOC || Ultrasound || Case 166 - YouTube
Reprotonation of GB in the biosynthesis of SD a, Proton transfer ...
(a) Deprotonation of I in DMF and subsequent reprotonation by SA. (b ...
Examples of Codominance vs Incomplete Dominance Explained
Ultrasound Video showing an incomplete abortion with retained products ...
Incomplete abortion ultrasound! Pregnancy ultrasound showing incomplete ...
Complete Protein vs. Incomplete Protein: What Is the Difference?
What Are the Signs of an Incomplete Abortion?
Incomplete Abortion || RPOC || Ultrasound || Case 134 - YouTube
Incomplete resorption of overpushed material | Download Scientific Diagram
RPOC or retained products of conception, incomplete abortion ...
Premium Vector | Incomplete stamp incomplete grunge round sign
Complete and Incomplete Combustion Reactions - YouTube
What is incomplete pollination? - Honey Bee Suite
Chapter 22: Condensations and Alpha Substitutions of Carbonyl Compounds ...
Gibbs energy profile (kcal mol⁻¹) showing deprotonation and ...
Scheme 14: Cyclisation modes for 1 to the guaiane skeleton. A) The ...
PPT - Abnormal Pregnancy PowerPoint Presentation - ID:6894833
PPT - Complications of Pregnancy PowerPoint Presentation, free download ...
Abortion.ppt
PPT - Lecture 8 ECTOPIC PREGNANCY. ABORTION PowerPoint Presentation ...
(a) Deprotonation/reprotonation equilibrium of an aqueous solution of ...
Characterization and Engineering of Two Highly Paralogous Sesquiterpene ...
Defects in Welding | GeeksforGeeks
Abortion | PPTX
PPT - bleeding in early pregnancy PowerPoint Presentation - ID:392478
Scheme 4. Deprotonation-reprotonation epimerization pathway of ...
Abortion - Faculty of Nursing, Suez Canal University.pptx
PPT - HIGH RISK ANTEPARTUM NURSING CARE PowerPoint Presentation, free ...
PPT - Breeding Trouble Early Complications & Diabetes PowerPoint ...
Understanding Spinal Cord Injury (SCI) | Spinal Cord Injury Ontario
Claisen Condensation — Organic Chemistry Tutor
Wheezing In Babies: Expert Guide To Causes & Treatment
Mechanism of action for a general antidote. The nucleophilic attack of ...
PPT - CONTRACEPTION, STERILIZATION AND ABORTION PowerPoint Presentation ...
PPT - Abnormal Pregnancy PowerPoint Presentation, free download - ID ...
mRNA - Structure, Definition, Functions, Types - Biology Notes Online
CH 18 - Enols, Enolates, and Aldols Flashcards | Quizlet
Sentence Structure. - ppt download
23.7: The Claisen Condensation Reaction - Chemistry LibreTexts
PENTOSE PHOSPHATE PATHWAY | PPT
Functional and Mechanistic Characterization of the 4,5‐diepi ...
Difference Between Pollination and Fertilization - Pollination vs ...
Scheme 8: The sesquiterpenes derived from cation I1. A) Pyrolysis of 23 ...
Geosmin Biosynthesis. Mechanism of the Fragmentation–Rearrangement in ...