Showing 118 of 118on this page. Filters & sort apply to loaded results; URL updates for sharing.118 of 118 on this page
What is Income Approach? - Definition | Meaning | Example
Income Approach - Meaning, Example, Real Estate Valuation
Income Approach Market Rate Valuation Method Complete Guide For ...
How to Use Income Approach for Business Valuation | Unbroker
Income Approach Leasing Contract Method Steps Land Valuation Analysis ...
Income Approach Real Estate Detailed Analysis Ppt Powerpoint ...
Income Approach Market Rate Valuation Method Real Estate Appraisal And ...
Income Approach Market Rate Valuation Method Steps Land Valuation ...
The Income Approach to Real Estate Valuation - PropertyMetrics
PPT - Chapter 8 Valuation Using the Income Approach PowerPoint ...
Real Estate Valuation Excel Model - Income and Cost approach - Eloquens
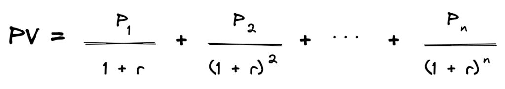
Income Approach | Formula + Calculator
Quiz & Worksheet - Income Approach & Real Estate Value Estimation ...
The Income Approach to Real Estate Appraisal: How to Value Commercial ...
Income Approach in Real Estate Valuation: When and How to Calculate It
Income Approach Commercial Real Estate Property Management Ppt Guide ...
Income Approach Appraisal Method – Beginner’s Guide - New Silver
How to Use The Income Approach to Value Income-Producing Property - YouTube
The Income Approach Valuation Method Explained
Income Approach Commercial Real Estate Ppt Layout | Presentation ...
Income Approach (Appraisal) Explained: How Real Estate Value Is Calculated
Valuation Approaches: The Income Approach
Income Approach: Definition - Explanation - Example
GDP - Income Approach - Wize University Macroeconomics Textbook | Wizeprep
Real Estate Valuation Approaches For Property Shareholders Income Approach
Income Approach Appraisal: Key Insights & Importance
Solved a) Discuss the pros and cons of income approach to | Chegg.com
How to Value Real Estate using the Income Capitalization Approach - YouTube
PPT - THE INCOME APPROACH PowerPoint Presentation, free download - ID ...
PPT - Measuring GDP: The Income Approach PowerPoint Presentation, free ...
Real Estate Property Management System Income Approach Ppt Ideas ...
Using the INCOME Approach to Value Commercial Real Estate ...
Income Approach | AwesomeFinTech Blog
Income Approach To Valuation | PDF | Net Present Value | Lease
The Income Approach To Property Valuation PDF | PDF | Real Estate ...
Valuation Using the Income Approach - Valuation Using the Income ...
Income Approach in Real Estate Appraisal | Investing | Mortgage Loan
Chapter 1 Overview - The Income Approach To Value | PDF | Real Estate ...
PPT - Chapter 8: Income Capitalization Approach PowerPoint Presentation ...
Real Property Strategic Plan Income Approach Ppt Model Graphic Tips PDF
Income Approach Leasing Commercial Real Estate Appraisal Methods Ppt ...
Real Estate Valuation: Cost and Income Approach for Financial | Course Hero
Income Approach Market Property Valuation Methods For Real Estate ...
Income Approach PowerPoint Presentation and Slides PPT Sample | SlideTeam
Income Property Value Formula at Thomas Reiser blog
Real Estate Valuation Approaches For Property Shareholders Income ...
Income Property Valuation Model | A Step-by-Step Guide - The SaaS CFO
income approch.docx - The Income Approach: Understanding Valuation in ...
PPT - National Income Analysis PowerPoint Presentation, free download ...
What is the Income Capitalization Approach? - Real Estate Exam Ninja
Valuation Using The Income Approach: Real Estate FIN 331 Fall 2013 ...
Real Estate Valuation: Understanding Cost and Income Approaches ...
Guide to property valuation: Income method - Redbrick Mortgage Advisory
Chapter 8 Valuation Using The Income Approach: Real Estate Principles ...
PPT - Economics 202 Principles Of Macroeconomics PowerPoint ...
Calculating the Value of Commercial Real Estate Properties - AEI ...
How To Value Real Estate Investments
Real Property
PPT - Chapter 10 PowerPoint Presentation, free download - ID:3344325
PPT - REAL ESTATE COLLATERAL VALUATION PowerPoint Presentation, free ...
PPT - Property Taxation of Affordable Housing PowerPoint Presentation ...
PPT - Chapter 18 ________________ Real Estate Appraisal PowerPoint ...
PPT - Comprehensive Guide to Real Estate Appraisal and Management by ...
PPT - Finance 353: Real Estate Valuation PowerPoint Presentation, free ...
PPT - Investments in Real Assets PowerPoint Presentation, free download ...
PPT - The Valuation Process & Appraisal Reports PowerPoint Presentation ...
8 proven ways to value commercial property like a pro
Commercial Property Valuation: Methods to Estimate Yours – LeaseRef
A fully functioning real estate (income approach) valuation model | Upwork
Real Estate Valuation - Meaning, Methods and Examples
PPT - Measuring the economy and the circular flow PowerPoint ...
PPT - Real Estate Appraisal and Time Management PowerPoint Presentation ...
PPT - Property Valuation PowerPoint Presentation, free download - ID ...
PPT - Gross Domestic Product PowerPoint Presentation, free download ...
Top 10 Real Estate Valuation Templates With Samples And Examples
PPT - Real Estate Appraisals: Value Assessment and Market Insights ...
Real Estate Valuation Models at Susan Mcdaniel blog
7 commercial real estate valuation methods: How do they work?
PPT - THE FORMAL APPRAISAL PROCESS PowerPoint Presentation, free ...
PPT - Ch. 7 & 8: Appraisal value PowerPoint Presentation, free download ...
PPT - Valuation Methodologies and Evaluating Valuation Experts ...
What is Valuation? Business Valuation Methods Explained | CFI
Commercial property appraisal: What it is, types & benefits
A Basic Guide to the 3 Valuation Methods - freedom locker PH
Real estate valuations | PPT
What Is Real Estate Valuation? | Quicken Loans
AMJP Real Estate Investing: Good To Know: Appraisal
Chapter 19 - Appraisal of Property | Real Estate U: Online Courses ...
PPT - VALUATION OF YOUR FAMILY BUSINESS PowerPoint Presentation, free ...
PPT - Business Valuation – What You Need to Know PowerPoint ...