Showing 120 of 120on this page. Filters & sort apply to loaded results; URL updates for sharing.120 of 120 on this page
Structure and electrical properties of the InAsSb NW array device. a ...
(PDF) Photoelectronic Properties of End-bonded InAsSb Nanowire Array ...
Photoelectronic Properties of End-bonded InAsSb Nanowire Array Detector ...
Figure 1 from Room-Temperature Midwavelength Infrared InAsSb Nanowire ...
(a) SEM image of high aspect-ratio InAsSb NWs (sample A: FFSb = 6%, xSb ...
SEM images of InAsSb NW arrays (FFSb=2%, pitch=0.5 µm) grown under ...
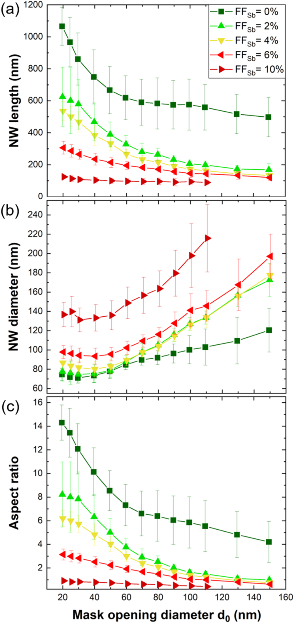
Growth dynamics and compositional structure in periodic InAsSb nanowire ...
Figure 1 from Design and Simulation of Two Dimensional Hole Array for ...
Tilted SEM (30°) of as-grown InAsSb NW arrays at different growth ...
(a) Representative bright-field TEM of an InAsSb NW. (b)–(e) HRTEM ...
(a)–(f) Representative SEM images of periodic InAsSb NW arrays grown ...
(a-f) Representative SEM images of periodic InAsSb NW arrays grown for ...
a) depicts 2 − HRXRD scans of the periodic InAsSb NW arrays displayed ...
Absorptance spectra of InAsSb nanowire arrays for the indicated periods ...
(a) Schematic diagram of the InAsSb LED structure grown on Si. (b ...
SEM images of InAsSb NW arrays (FFSb=6%, d0=80 nm, p=0.5 µm) grown for ...
The InAsSb layer thickness dependence of the measured mobilities ...
(a) SEM images of growth process of InAsSb inserts. (b) PL ...
(a) HRXRD 2 - scans recorded from the periodic InAsSb NW arrays shown ...
(PDF) InAsSb and InGaAs linear and focal plane arrays
Tilted SEM (30°) of as-grown InAsSb nanowire (NW) arrays on substrates ...
(a) HRXRD 2θ–ω scans recorded from the periodic InAsSb NW arrays shown ...
(a) A unidirectional array of misfit dislocations in... | Download ...
Figure 3 from Room-Temperature Midwavelength Infrared InAsSb Nanowire ...
Arrays of highly doped InAsSb nanoantennas on GaSb substrates for SEIRA ...
(PDF) High operating temperature mid-wavelength infrared InAsSb nBn ...
Comparison of (a) dark current and (b) detectivity between InAsSb ...
InAsSb 32-channel MWIR detection module 32MM-5 - VIGO Photonics
SEM images of InAsSb nanowires before and after a 60 nm Al2O3 ...
InAsSb nBn Structured Epitaxial Wafer for Infrared Detector
SEM images of (a) InAsSb nanowires and (b) InAsSb nanowires with ∼60 nm ...
SEM images showing the morphology of InAsSb nanowires grown on InP ...
Multielement detectors and modules – MCT / InAsSb - VIGO Photonics
Figure 5 from Design and Simulation of Two Dimensional Hole Array for ...
Electronic band structure of InAsSb and GaAsSb alloys for composition ...
High operating temperature InAsSb-based mid-infrared focal plane array ...
(PDF) Mid-infrared type-II InAs/InAsSb quantum wells integrated on silicon
MWIR InAsSb/AlAsSb nBn SLS detector: (a) device structure, and (b ...
InAsSb-Based Infrared Photodetectors: Thirty Years Later On
InAs/InAsSb Type-II Strained-Layer Superlattice Infrared Photodetectors
Schematic drawing of the three types of samples measured in this study ...
Schematic diagram of the InAs/InAsSb type-II superlattice grown on (0 0 ...
Cross-sectional image of an InAs/InAsSb sample taken by SEM. The ...
Antimonide-based High Operating Temperature Infrared Photodetectors and ...
Infrared detectors | Hamamatsu Photonics
The Dependence of InAs/InAsSb Superlattice Detectors’ Spectral Response ...
(a) Structure of the InAsSb-based p -i-n heterojunction. (b) Schematic ...
(PDF) InAs/InAsSb Type-II Superlattice Mid-Wavelength Infrared Focal ...
17: Schematic cross-section of nBn InAs/InAsSb T2SL structures with ...
Schematic energy band of ͑ a ͒ an InAsSbP/InAsSb/InAsSbP, ͑ b ͒ ...
Very-Long-Wavelength Infrared Range Type-II Superlattice InAs/InAsSb ...
Schematic structure of the InAsSb/InP QDashes laser. | Download ...
Determination of the Strain Influence on the InAs/InAsSb Type-II ...
Figure 5 from InAs/InAsSb Type-II Superlattice Mid-Wavelength Infrared ...
(a) MWIR InAs/InAsSb T2SLS nBn detector Sb-2371 dark current density ...
(a) Schematics of InAs(Sb) inserts in InAsP nanowires grown on InP ...
Comparison of (a) total optical absorption and (b) responsivity between ...
Semiconductor plasmonic gratings for the mid-IR spectral range. (A) SEM ...
Figure 6 from InAs/InAsSb Type-II Superlattice Mid-Wavelength Infrared ...
Complementary Barrier Infrared Detector Architecture for Long ...
Figure 4 from InAs/InAsSb Type-II Superlattice Mid-Wavelength Infrared ...
a Schematic of the proposed InAsSb-based nBn structure, b InAlSb bulk ...
(PDF) Type-II InAsSb/InAs strained quantum-well laser diodes emitting ...
Bandgap diagram for InAs/InAsSb T2SLs. | Download Scientific Diagram
(a) Schematic of the InAs/InAsSb MQW structure grown on GaSb/Si using ...
Conduction and valence band energy diagram for the nBn InAsSb/AlAsSb ...
T2SLs' InAs/InAsSb bandgap and λ100%cut-off for Set I samples 4, 5, and ...