Showing 120 of 120on this page. Filters & sort apply to loaded results; URL updates for sharing.120 of 120 on this page
Diagrammatic representation of the impulse approximation to the í µí ...
Approximation of Impulse Delta Signal
Impulse Approximation - YouTube
Impulse Response Approximation - Christopher Felton
Impulse response of the third order approximation transfer function ...
Diagrams for the reaction π + d ↔ π + np in the impulse approximation ...
Impulse approximation for a second-order phase transition is central to ...
Impulse approximation with distorted waves: initial state heavy meson ...
Result of the impulse approximation calculation in the quasielastic ...
Thruster equivalent impulse approximation of the control force impulse ...
Proving and Explaining Impulse Approximation - YouTube
Schematic representation of the impulse approximation for A(γ, πN )A-1 ...
Compton spectrum in the impulse approximation (IA) model at the ...
SOLUTION: Parametric approximation methods for Impulse response ...
Impulse approximation - Big Chemical Encyclopedia
Impulse approximation diagram. If the initial deuteron is only aligned ...
Impulse approximation operator alone (a), with OPE pulled out from the ...
Solved The impulse approximation is used in situations where | Chegg.com
The leading diagram corresponding to the impulse approximation of the ...
Diagram (a) impulse approximation (IA), (b) Y N rescattering, (c) KN ...
impulse approximation - Ryou Ohsawa @ National Astronomical Observatory ...
The triangle diagram for the impulse approximation to the M γM vertex ...
9: From the impulse approximation model, the imaginary and the real ...
The impulse approximation mechanism of γ + A → N + [B] J/Ψ reaction. A ...
(PDF) Impulse response approximation method for bi-fractional filter
The Application of the Impulse Approximation to the Inelastic ...
Impulse approximation to the charged pion electromagnetic form factor F ...
Impulse approximation diagram for the d p → {pp}n reaction. | Download ...
1: Impulse approximation without initial state interactions. Solid ...
Impulse responses of the exact dynamics and the phugoid approximation ...
(PDF) Impulse Response Approximation Method for “Fractional Order Lag”
EM form factor beyond the impulse approximation (IA), considering the ...
(PDF) Relativistic Impulse Approximation in Compton Scattering
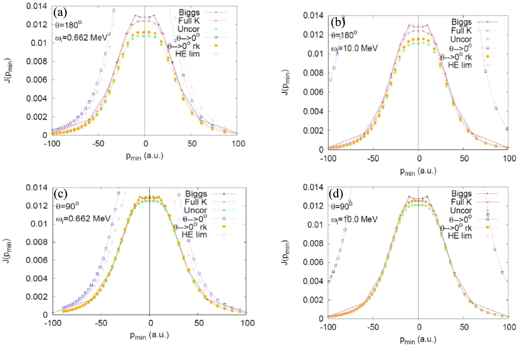
Plots of Σ, in Impulse Approximation and to O(Q 3 ) at different ...
Verification of the impulse approximation treatment. The value of the ...
Meson form factor in the impulse approximation | Download Scientific ...
Left: M π 1μν , the impulse approximation with the bare QGV. Right: M π ...
(PDF) Impulse approximation in nuclear pion production reactions ...
Impulse approximation for γ + d → d + π 0 . | Download Scientific Diagram
Diagrammatic depiction of the impulse approximation for the deuteron ...
(PDF) Relativistic Impulse Approximation in the Atomic Ionization ...
Solved The impulse approximation says to treat all | Chegg.com
Correction of a relativistic impulse approximation expression used to ...
Impulse responses and approximation errors of various approximations of ...
Relativistic impulse approximation in Compton scattering | Request PDF
(PDF) Relativistic impulse approximation in the atomic ionization ...
Impulse Response Functions with second-order approximation | Download ...
Impulse Approximation limitations tothe (e,e'p) reaction on 208Pb and ...
Figure 1 from Validity of the relativistic impulse approximation for ...
PPT - Chapter 9. Impulse and Momentum PowerPoint Presentation, free ...
Momentum Lesson 2.1 Impulse Graphs | Science, Physics, Momentum | ShowMe
Diagrammatic representation of the γd → π 0 d reaction in the impulse ...
Impulse Definition Physics Impulse | AQA AS Physics Revision Notes
Solved In the impulse approximation, the true impulse is | Chegg.com
Impulse of Force
Theoretical description of tagged DIS. (a) Impulse approximation. (b ...
Nuclear β − , β + , and EC decay in the impulse approximation. In this ...
The two-level system and the adiabatic-impulse model. The approximation ...
Lecture 1 | Impulse & Momentum Theorem | BoxSand – Flip the Classroom
Impulse approximation: the electroweak interaction takes place on a ...
Figure 1 from Adiabatic-impulse approximation for avoided level ...
Figure 1 from Neutrino-nucleus cross section in the impulse ...
Momentum diagram in the impulse approximation. The fixed final momentum ...
Figure 2 from Neutrino-nucleus cross section in the impulse ...
Impulse response functions: (a) excitation force; (b) radiation force ...
Figure 1 from Charge-conjugation symmetric complete impulse ...
Impulse Units - Definition, SI Units, Impulse-momentum theorem ...
Pion electromagnetic form factor in the impulse approximation. A ...
(Color online) Pictorial representation of Eq. (3), our impulse ...
2 Two examples of approximations of the impulse function. A impulse ...
Example 3: Impulse response of a discrete simulator, comparison with ...
(PDF) Pion production within the hybrid relativistic plane wave impulse ...
Impulse and Momentum AP Physics ppt download
Chap 15 Kinetics of a particle impulse and
PPT - Section 7-3: Collisions & Impulse PowerPoint Presentation - ID ...
Shapes of proton, spin of proton - ppt download
PPT - Chapter 9 PowerPoint Presentation, free download - ID:566975
PPT - Solar System Dynamics PowerPoint Presentation, free download - ID ...
PPT - The Problem: PowerPoint Presentation, free download - ID:3750553
PPT - Quasi-free scattering with exotic nuclei PowerPoint Presentation ...
PPT - Chapter 9 PowerPoint Presentation, free download - ID:5697293
SI Unit of Impulse: Examples & Real Life Examples
Triangle diagram (impulse approximation) for Hðx; ξ; tÞ. The dash line ...
Lecture 7 First order Circuits (ii). - ppt download
PPT - Radiative meson transitions in the quark model PowerPoint ...
Impulse: Definition, Formula, Examples, and Solved Problems
PPT - PHY1012F MOMENTUM PowerPoint Presentation, free download - ID:2558142
Momentum | Mini Physics - Free Physics Notes
Total cross section for the γ 3 He → η 3 He reaction [10] compared to ...
The scenario of adiabatic-impulse approximation: KZ regime (a), PS ...
Solved Draw the magnitude and phase straight-line | Chegg.com
PPT - Physics 114A - Mechanics Lecture 20 (Walker: Ch. 9.1-3) Momentum ...
Outline Introduction Simulations & Stategy p+p and p+n at 1.25 GeV ...
Figure 1 from The Nuclear component of the EMC effect beyond the plane ...