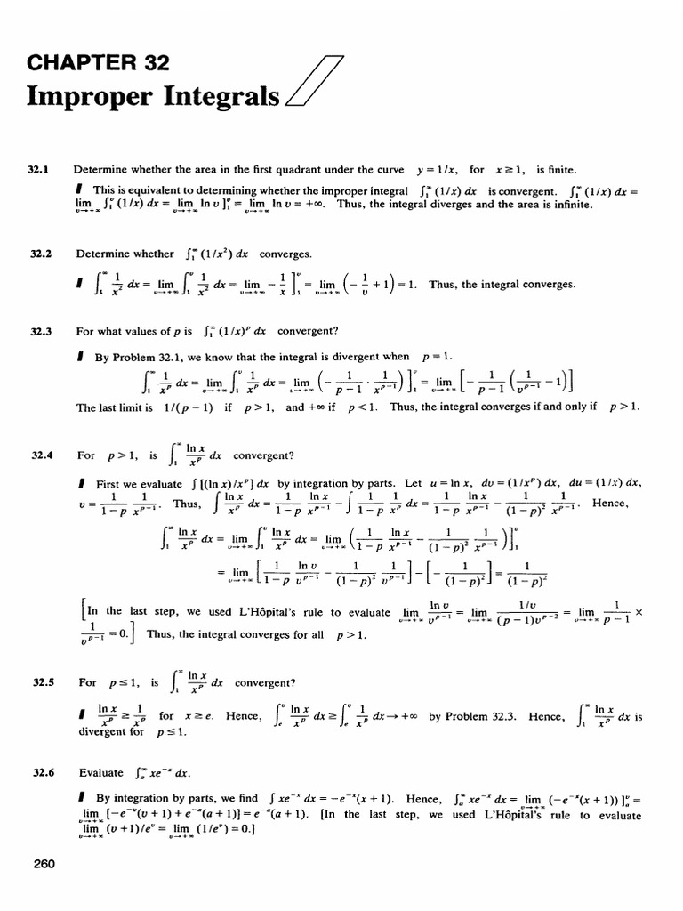
Showing 120 of 120on this page. Filters & sort apply to loaded results; URL updates for sharing.120 of 120 on this page
Solved Problems in Improper Integrals PDF | PDF | Integral | Geometry
Improper Integrals Practice Problems for Advanced Calculus (MATH 302 ...
SOLVED:Determine the convergence of the improper integrals in problems ...
CALCULUS homework problems - Improper Integrals
Improper Integrals - Theorem, Worked Examples, Exercise with Answers ...
Improper Integrals (examples, solutions, videos)
Calculus 2 - Improper Integrals - Practice Problem - YouTube
Solved Improper Integrals I need help knowing how to | Chegg.com
Improper Integrals - PostNetwork Academy
AP Calculus Review: Improper Integrals - Magoosh Blog | High School
How to Solve Improper Integrals - Lesson | Study.com
Solved Problem 8. (1 point) Improper Integrals - Integrating | Chegg.com
Improper Integrals Problem 2 (Calculus 2) - YouTube
Solved Problem 4. For improper integrals ∫−∞∞f(x)dx, it's | Chegg.com
Improper Integrals (A Guide to Taming Infinity)
Improper Integrals : r/calculus
Solved Evaluating Improper Integrals The integrals in | Chegg.com
Randolph H.S. AP Calculus BC 09: Improper Integrals
Improper integral problems – danjonesmathematics.net
Determine whether the improper integrals converge or diverge. If ...
Solved Problem 6 For each of the improper integrals 1. | Chegg.com
Solved Problem 2. Improper Integrals of I Type. Determine, | Chegg.com
Solved Problem 4: Compute the following improper integrals | Chegg.com
Solved Improper Integrals Part 1 of 3 Evaluate the improper | Chegg.com
Solved (1 point) Improper Integrals - Integrating over an | Chegg.com
Solved problem 36 Two Improper integrals are given below | Chegg.com
How to solve improper integrals — Krista King Math | Online math help
Improper Integrals - Convergence and Divergence - Calculus 2 - YouTube
PPT - Improper Integrals PowerPoint Presentation, free download - ID ...
Solved Need some help with 2 improper integrals problems, | Chegg.com
Solved Determine if the given improper integrals converges | Chegg.com
Solved (1 point) Improper Integrals - Integrating a | Chegg.com
Problems and Solutions, Improper Integrals, Problem 1 - YouTube
PPT - IMPROPER INTEGRALS PowerPoint Presentation, free download - ID:690540
Solved 1. Determine whether these improper integrals | Chegg.com
Math Tutor - Integral - Solved Problems - Improper Integral
Solved Which of the following improper integrals is | Chegg.com
Solved 1. Rewrite each of the following improper integrals | Chegg.com
Solved 2. Consider the improper integrals | Chegg.com
11.3 Tests For Convergence Of Improper Integrals
Improper Integrals - Improper integrals Type I Type I integrals over ...
Solved Evaluate the following improper integrals or show | Chegg.com
Calculus - Improper Integrals - Problem 2 - YouTube
Exercise 9.5: Improper Integrals - Problem Questions with Answer, Solution
Improper integrals|Improper integrals convergence and divergence ...
Solved Improper Integrals Determine whether each integral is | Chegg.com
Solved 1. Determine whether the improper integrals converges | Chegg.com
Solved Determine whether the improper integrals converge or | Chegg.com
Improper Integrals - Wize University Calculus 2 Textbook | Wizeprep
Solved For each of the improper integrals below, if the | Chegg.com
Improper Integrals Archives - SAT PREP
Solved Which of the following improper integrals | Chegg.com
Calculus 2: Improper Integrals (14 of 16) Evaluate If It Converges ...
Type 1 improper integrals! (8 examples, calculus 2) - YouTube
25.Improper Integrals | Calculus | Problem#31 & 32 | Exercise 5.3 Bsc ...
Solved Problem 1. Consider the following improper integrals. | Chegg.com
Solved Integration - Improper Integrals: Problem 22 (1 | Chegg.com
Solved Integration - Improper Integrals: Problem 28 1 point) | Chegg.com
Solved 261 Improper Integrals: Problem 3 Previous Problem | Chegg.com
Solved Problem 2: Determine if the improper integral | Chegg.com
Solved 7.8 - Improper Integrals: Problem 14 (1 point) For | Chegg.com
Free Video: Improper Integral Problem Solving - October 8, 2024 from ...
Solved 3.7 Improper Integrals: Problem 2 (1 point) Determine | Chegg.com
How to Solve Complex Integrals with Step by Step Explanations
Solved Evaluate the following improper integral if it | Chegg.com
Solved Problem 3-Determine whether the improper integral | Chegg.com
SOLVED: Determine whether each of the following integrals is proper ...
Improper Integrals: Finding Area and Convergence | Examples and ...
Solved For each improper integral below, (a) rewrite the | Chegg.com
Solved Problem 2. We learned about improper integration in | Chegg.com
Solved Improper Integrals, Infinite Limits of Integration: | Chegg.com
improper integration 5 determine whether the following improper ...
Solved Problem \#3. Compute the following improper integral | Chegg.com
Problem \#4 - Find the following improper integral: | Chegg.com
Solved 1) Evaluate the following improper integrals: a) | Chegg.com
Solved (5) Improper integrals. Find values of improper | Chegg.com
Improper Integrals: Example 3: 1/(1+x^2) - YouTube
Solved Problem #5: Evaluate the following improper | Chegg.com
Solved Problem \# 2 Determine whether the improper integral | Chegg.com
SOLUTION: Calculus 1 - Chap 6 - Trigonometric substitutions, Integrals ...
Solved For each of the following Improper Integrals: i) | Chegg.com
Solved Use the improper integral ∫0641064-x2dx in this | Chegg.com
Solved evaulate the improper integrals, are they convergent | Chegg.com
Solved Problem 4. ( 20 points) Evaluate the improper | Chegg.com
Solved Problem 3. Determine whether the improper integral | Chegg.com
Solved Problem 5. (10 points) Evaluate the improper integral | Chegg.com
This problem is concerned with evaluating some improper integrals. In ...
[Solved] Improper integrals. 4. In this problem, you will take a closer ...
Solved Problem 10 [Improper Integrals]Determine whether each | Chegg.com
Solved Problem 3 [Improper integrals] Find the values of p | Chegg.com
Solved Problem (Improper Integrals) (1) Determine whether | Chegg.com
Solved 8.8 Improper Integrals: Problem 19(1 point)Consider | Chegg.com
Solved Problem 4 (15 points) (Improper integrals) ' der for | Chegg.com
Integration - MATH100 Revision Exercises - Resources - Mathematics and ...