Showing 120 of 120on this page. Filters & sort apply to loaded results; URL updates for sharing.120 of 120 on this page
Identifying Unknown Samples I | Chemistry Matters - YouTube
Identifying bizarre samples using DNA sequencing data | Jacquelyn B.
Identifying Populations & Samples Printable Statistics Identify And ...
Identifying and Preserving Biological Samples | Forensic Science ...
Identifying Populations and Samples Worksheet Download
1 Overview of the steps involved in identifying unknown samples using ...
Solved Aa Aa E 2. Identifying related samples For each of | Chegg.com
identifying samples Flashcards | Quizlet
PPT - Identifying germplasm samples in multi-user databases PowerPoint ...
Identity Help : Help with identifying samples
Criteria for Identifying the Samples | Download Scientific Diagram
[FREE] Look, Listen, and Identify: Identifying Music Samples You have ...
Identifying Unknown Samples II | Chemistry Matters - YouTube
Solved 2. Identifying related samples For each of the | Chegg.com
Identifying Random and Biased Samples Printable Statistics Identify Vs ...
Identifying samples | Balluff
This box of samples used to practice identifying wood : r/mildlyinteresting
Solved 1. Identifying related samples For each of the | Chegg.com
Lab 3 Sample Lab Report: Identifying Macromolecules in Samples - BIOL ...
TLC plates used in identifying samples of EPA-PKS fractions with ...
-An example showing the benefit of using large samples in identifying ...
Identifying Populations and Samples Quiz
Identifying Samples & Populations: Understanding Statistics | Course Hero
Solved 2. Identifying related samples Aa Aa E For each of | Chegg.com
A generalized method for identifying variants in clinical samples [95 ...
Methods for identifying biological samples - Eureka | Patsnap
Bacterial identification from septic patient blood samples | BioRender ...
Overview of samples and personal identification. A) The collection of ...
How To Find and Identify Good Samples - YouTube
Identifying a sample and population | Study design | AP Statistics ...
Diagram showing the steps of identifying sample sizes for descriptive ...
Graded Assignment: Look, Listen, and Identify: Identifying Music ...
Identification of unknown bacterial samples | PPTX | Chemistry | Science
2.10 Identifying music samples.docx - Name: Date: Graded Assignment ...
Identifying Music samples.docx - Name: Date: Graded Assignmentj Look ...
Identifying Population And Sample Worksheet
Identifying Igneous Rocks (Samples 8-13)To identify | Chegg.com
Identifying the Right Samples: A Guide to Metabolomics Biomarker ...
Identifying Population Printable Statistics Identify Sample Separately ...
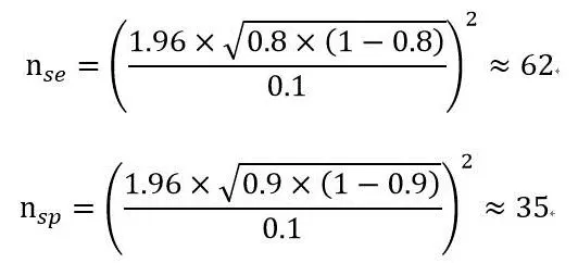
Identifying Sample Size and Accuracy and Precision of the Estimators in ...
The process of identifying the sample | Download Scientific Diagram
Laboratory Biological Samples at Frances Goss blog
Collecting plant samples for identification - FutureBeef
Solved Identify samples here are some samples please | Chegg.com
Free Scientist Examining Samples Image - Scientist, Laboratory ...
Labelling of samples | PPTX
Random and Biased Samples Worksheet: Practice Exercises and Solutions
Samples of the 21 laboratory apparatus types from CABD | Download ...
Identifying Populations & Samples: Four Lessons by It's OK to Like Math
01 Identifying a sample and population — Statstics with Python
Part 1: Identifying Sample Space List the | StudyX
Worked example identifying sample study | Ap statistics, Study, Khan ...
Identifying The Main Idea Ppt
Identifying The Purpose Sample Ppt Presentation | PowerPoint ...
Qualitative Analysis of Anions: Identifying Chemical Characteristics ...
Scientist female check samples in vials before analysis with Fourier ...
Solved Part A. Identifying sample X and sample Y. 1. To | Chegg.com
Sampling Techniques - Identifying Sample Frame Items - Sampling ...
Solved Identify the two samples as independent samples or | Chegg.com
Sample Identifying Research Design | PDF
Schema representing the process followed to identify the samples used ...
SOLVED: Identify the sampling technique Four main types of probability ...
Types Of Sampling Methods - Steps, Examples & Worksheet
Types Of Sampling Psychology A Level at Santos Long blog
PPT - Hazardous Site Inspection PowerPoint Presentation, free download ...
(PDF) How to choose a sampling technique and determine sample size for ...
Sample Vs Sample Size at Lucile Hart blog
Selecting an Evaluation Design | Partnership for Food Safety Education
Sample Definition Psychology at Saul Carroll blog
CHAPTER 3 Understanding Data hhhhhhhhhkk | PPTX
Sampling Methods In Research: Types, Techniques, & Examples
PPT - Michigan Department of Agriculture PowerPoint Presentation, free ...
PPT - Sampling Design PowerPoint Presentation, free download - ID:568687
Proper Patient Identification in Specimen Collection
Chapter 3 Probability. - ppt download
PPT - Identification of a Sample Based on Chemical Properties ...
PPT - Microorganism Identification: Essential Methods and Techniques ...
Population vs. Sample | Definitions, Differences and Example
PPT - Chapter 3 Research PowerPoint Presentation, free download - ID ...
Learn to compare and analyze sampling methods Vocabulary
How to Identify Population and Sample in an Experiment - YouTube
PPT - Compatibility Testing PowerPoint Presentation, free download - ID ...
PPT - Introduction to chromatography and spectroscopy PowerPoint ...
Sampling Procedures in Research | PDF | Sampling (Statistics) | Effect Size
Lesson 2 • What is a liquid? | Primary Connections
Sampling Types Worksheet by Barnhart Math | TPT
Types Of Sampling Explained at Cristi Weatherholt blog
Explained: How to Identify Active COVID-19 Infection in People ...
Can anyone identify these mold samples? Should I be concerned? : r/mycology
Example of sample identification label, with information such as ...
Sample Identification and Quality Control With Microfluidics | Standard ...
Microorganism Identification Process Lecture 1 Diagnostic Microbiology ...
A researcher using chromatography to separate and identify substances ...
PPT - Chapter 11 PowerPoint Presentation, free download - ID:1296868
A scientist using mass spectrometry to identify chemical compounds in ...
Microbial Sample Identification at Paige Brown blog
New Approaches to Sample Identification Tracking and Technologies for ...
How to Identify characteristics of a sample during a survey « Math ...
PPT - Sampling , Identification and Testing (S.I.T.) PowerPoint ...
Best Practices for Barcode Labelling and Sample Identification
BF528 - Sequence Analysis Fundamentals - ppt download
Sample Space Lists Worksheet | PDF Printable Statistics & Probability ...
Types Of Sampling Sampling Methods With Examples
Best Practice in Sample Identification Solutions - International ...
Laboratory identification solutions