Showing 118 of 118on this page. Filters & sort apply to loaded results; URL updates for sharing.118 of 118 on this page
ISO Metric Coarse - Thread Table
External Metric ISO Thread Table Chart Sizes M20 - M55 - Engineers Edge ...
Solved Table 1. ISO metric thread dimensions - excerntTable | Chegg.com
External Metric ISO Thread Table Chart Sizes M80 - M100
BSPP thread dimensions table BS5200 ISO 8434-6 - Knowledge - Yuyao ...
ISO Metric Thread Dimensions | PDF
ISO Metric Screw Thread Sizes Chart | PDF
ISO Metric Thread Dimensions Chart | PDF | Screw | Mechanical Engineering
ISO Metric Thread | Metric Thread Chart | Apollo International
Comparison Table Of Threads: Dim. ISO 7/1 UNI 6125 ISO 228 UNI 338 BSP ...
Thread charts: ISO Metric Threads - App on the Amazon Appstore
What Is Iso Thread at Edwin Hare blog
ISO metric coarse vs fine screw thread Fittings - QC Hydraulics
ISO Metric Thread Dimensions Chart | PDF | Joining | Tools
Iso Table | Decoration Examples
ISO Metric Thread Tolerance Tables - Accu
Understanding Iso Metric Screw Thread Sizes And Tolerances | ShunTool
Metric Thread Dimensions Chart – Iso Metric Screw Size Chart – JYNFLT
Iso Metric Screw Threads: Iso Metric Thread Size Chart – GLJY
Internal British ISO Pipe Threads (Whitworth Form) Table per. BS EN ISO 228
ISO Metric Thread Size Chart (M1-M68) | Tap Drill Guide
ISO Metric Thread | PDF
ISO Metric Coarse Thread and Tapping Drill Size Chart | PDF ...
ISO 261 Vs ISO 68-1 Standard Metric Thread Knowledge Yuyao, 59% OFF
ISO Metric Thread Size Chart | PDF | Joining | Machining
Iso Tapered Thread (Rt) at Micheal Weston blog
A Brief Overview of ISO Metric Screw Thread Standards | PDF | Screw ...
Threads Dimensions _ ISO Metric Thread Dimensions – ZRBQB
Metric Thread Table | PDF | Joining | Building Materials
ISO metric screw thread - Hârn
External ISO Metric Trapezoidal Screw Threads Table Chart Sizes TR320 ...
Technical Information: Iso Thread (Angle 60°) | PDF | Machining ...
Iso Thread | PDF | Tools | Cutting Tools
ISO Metric Screw Thread - Wikipedia
ISO Metric Threads
Pipe fitting Thread Identification
ISO Metric Coarse Threads | PDF
17 INFO ISO STANDARD METRIC THREADS 2020 - * ISOStandard
Catalog of international thread standards, mobile version
(PDF) MARYLAND METRICS THREAD DATA CHARTS METRIC THREAD --EXTENDED ...
Metric Thread Diameters Chart at Benjamin Bomar blog
RoyMech - ISO Screw Profile and Tolerance selection
Thread Chart (Metric) | Major and Minor Diameters
Standard Threads Chart – Thread Identification Chart for US and Metric ...
Inch & Metric Thread Chart | Carr Lane Mfg.
M68 X 3 : Thread Dimensions (Machining Doctor)
Metric Thread Size Chart (ISO Metric Threads) - 886LiFe
Category: Metric Thread Chart - NEXT GENERATION TOOLING
Metric Thread Chart: A Guide to The Right Size - QC Hydraulics
Metrics in Engineering - ISO Metric Threads and Tapping Sizes
PPT - Threads and Thread Cutting PowerPoint Presentation, free download ...
Metric Iso Threads | Engineering Tolerance | Nut (Hardware)
Fastenerdata - THREAD CHART 10b - Fastener Specifications
Metric Thread Form Chart at Federico Trout blog
Metric Thread Chart 2025 | PDF | Screw | Mechanical Engineering
Iso metric screw threads - Colombo Special Fasteners
Metric Thread System at Peter Jamar blog
Iso metric threads – Artofit
Metric Thread Dimensions Chart - Infoupdate.org
Metric Thread Tolerance Chart
Thread Charts - Hydraxio
METRIC THREAD fine.pdf
A Guide to Machine Design - Thread Standards Overview
BSW and BSF Thread Dimensions Chart - Leading Supplier of Special Metal ...
Standard Metric Thread Pitch Chart Pdf - Infoupdate.org
Iso Chart Everything You Need To Know About Iso Pixels
Internal Metric Thread Chart
Metric Thread Chart - Pipe Schedule Chart
Table of metric and inch threads - EUROBOLT
Thread Dimensions: A Complete Guide - EngineerExcel
METRIC THREAD - Drill & Tap Chart (ISO) For Course Thread and Fine ...
ISO Metric Threads | Tameson.com
Thread tables
Metric Thread Size Chart : Thread Sizes (Dimensions) Explained – OVPORC
Complete Thread Terminology Guide
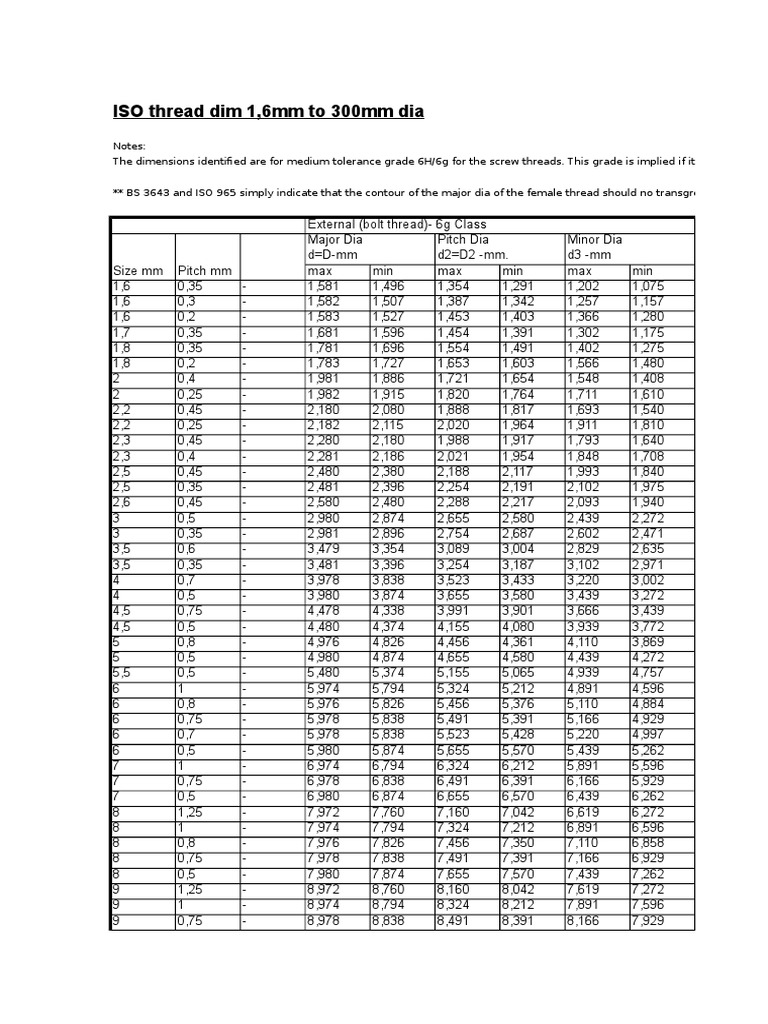
RoyMech - ISO form screw threads 1,6mm to 600mm
Download Bs 3643 Iso Metric Screw Threads - sandtracker
Technical Resources - Cline Tool
Metric ISO-thread DIN 13 - Nominal values - Scholz Mechanik GmbH
Imperial-Threads
Threaded Connection Standards and Specifications - Syveco
Metric Tap Drill Size Chart For Standard Threads at Henry Lawrence blog
Practical Maintenance » Blog Archive » Threads and Threaded Fasteners
Metrics Threads Charts In Pdf
O que são as roscas métricas na engenharia? Um guia detalhado
Types Of Threads:Getting Started Guide | TiRapid Machining
PPT - Comprehensive Guide to Dimensioning Standards: Angles, Arcs ...
U.S. and International Threaded Connection Standards – Dwyer ...