Showing 119 of 119on this page. Filters & sort apply to loaded results; URL updates for sharing.119 of 119 on this page
Ipp Lesson Plan | PDF | Autism | Autism Spectrum
Caiban - Ipp Lesson Plan - Hpe | PDF | Heat | Heat Transfer
1 - Ipp Lesson Plan - With Guide | PDF | Curriculum | Learning
Ipp Lesson Plan Template | PDF
IPP Lesson Plan | PDF
IPP Lesson Plan Example: Limang Tema ng Heograpiya (Grade 7 Araling ...
Pensahan Ipp Lesson Plan Micros | PDF | Differentiated Instruction | Optics
Final IPP Lesson Plan - Filipino IV Review for 4th Grade Students - Studocu
LP 9 - This lesson pan is about kinds of Angles - IPP LESSON PLAN ...
Ipp Lesson Plan Format | PDF | Career & Growth | Art
LP 6 - This lesson plan is about undefined terms in geometry - IPP ...
Internship Teaching Demo Ipp | PDF | Lesson Plan | News
4as and IPP Format Lesson Plan | Download Free PDF | Lesson Plan ...
LP 7 - This lesson plan is about undefined terms in geometry - IPP ...
LP 8 - This lesson plan is about kinds of Angles - IPP LESSON PLAN ...
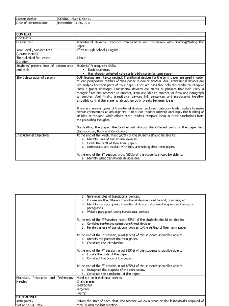
IPP Lesson Plan (Transitional Devices and Writing Term Paper) | PDF ...
Ipp Lesson Plan Midline Theorem | Download Free PDF | Triangle ...
Atomic Structure IPP Lesson Plan (Edited) 2 | PDF | Atoms | Lesson Plan
Revised Ipp | PDF | Equations | Lesson Plan
Educ28 Lesson Plan On IPP | PDF | Saint Timothy | Teachers
Example Of Detailed Lesson Plan In Filipino Grade 1 at Zane Wylde blog
IPP Lesson Plan Guide Mod3 - 73 Corrales Ave. Cagayan de Oro, 9000 ...
EDSS10 IPP: Lesson Plan on the French Revolution and Its Impact - Studocu
Sample IPP Template: Individualized Program Plan | PDF | Cognitive Science
IPP Facilitation Plan Template 2021 - and Name School Year Name of ...
IPED LP - IP LESSON PLAN - I. OBJECTIVES At the end of the lesson the ...
Daily Lesson Plan Format Matatag Curriculum - Printable Free Templates
Sample first year mathematics ipp lesson plans | DOC
Sample first year mathematics ipp lesson plans | DOC | Homework and ...
individual program plan ipp sample Doc Template | pdfFiller
Sample Lesson Plan - Ip Integration | PDF | Education Theory | Cognition
Sample first year mathematics ipp lesson plans | PPT
The Ignatian Pedagogical Paradigm (IPP) : Lesson Plan | PDF
The Ignatian Pedagogical Paradigm (IPP) Lesson Plan | PDF
Lesson Plan Pattern ( Filipino) | DOC
Transcript of IPP Lesson Plan.docx - Transcript of IPP Lesson Plan: The ...
Sample Lesson Plan EPP 6 - Ignatian Pedagogical Paradigm | PDF | Lesson ...
Ignatian pedagogical paradigm lesson plan on special products and ...
PPP Lesson Plan Template - PPP Lesson Plan Template Objective Students ...
IPP - IPP - Injury Prevention Plan (IPP) and Evacuation Procedures VVC ...
Lesson Plan Template: Free Editable Examples
Ipg Lesson Plan | PDF | Lesson Plan | Ideologies
Lesson Plan For Grade 1 Filipino - Printable Free Templates
Ipg Lesson Plan | PDF | Texas | Lesson Plan
Unit Plan Examples For Teachers OFSTED Lesson Plan Template | Teaching
Ignatian Pedagogical Paradigm Lesson Plan for Higher Ed | Lesson Planet
Detailed lesson plan for simple tense of verbs 5 | DOCX
detailed lesson plan | DOCX
Kipp Lesson Plan Template Lesson Plan Template Ideas On Pinterest ...
Ignatian Pedagogical Paradigm Lesson Plan | PPTX
Types Of Lesson Plan In Depedreading Profile Bank
LESSON PLAN Q1 W5 the past tense of the verb | DOCX
Detailed Lesson Plan for English (Language) Grade 6 | DOCX
How To Write A Lesson Plan Template
Group 8 Module 9 EDB - Facilitation Plan - IPP Facilitation Plan ...
Ipg Lesson Plan | PDF
Lesson PLAN IN Gifted AND Talented Learners - Detailed Lesson Plan in ...
44 FREE Lesson Plan Templates [Common Core, Preschool, Weekly]
Blank Unit Lesson Plan Template - Ccalcalanorte.com
Lesson Plan Template | CGP Plus
lesson plan ip theory (3) | PDF | Adolescence | Anxiety
Free Lesson Plan Template – Angel Educators
Ignatian Pedagogical Paradigm (Ipp) Lesson Plan: Ateneo de Zamboanga ...
Simple Present Tense IPP-Lesson PLan | DOCX
IIP template Blank - easy to understabd - Individual Intervention Plan ...
PPT - Individual Program Plan (IPP) PowerPoint Presentation, free ...
Individual Learning Plan Template - Great Professionally Designed Templates
2026 Individual Education Plan - Fillable, Printable PDF & Forms | Handypdf
Individual Education Plan (IEP): Annotated sample - Edit, Fill, Sign ...
New IPP Template Coming Soon : CA Department of Developmental Services
Solved IIンル Sample IPP Template Number of hours of | Chegg.com
Grade 10 Lesson Plan: Simple Tenses of the Verb | DOCX
PPT - IPP Writing: Introduction PowerPoint Presentation, free download ...
Teacher'S Individual Plan For Professional Development (Ippd) | PDF ...
IPPD Teacher Libradilla MARY JOY - TEACHER'S INDIVIDUAL PLAN FOR ...
Unit 4 Lesson 8.pdf - Grade 5 | Unit 4 Lesson 8 Intellectual ...
New Statewide IPP Template - Lanterman Regional Center
Our Process | IPP Financial Planning Group
PPT - The IPP and MyBlueprint PowerPoint Presentation, free download ...
Overview of the New IPP Guides - Lanterman Regional Center
Ipp template: Fill out & sign online | DocHub
Sample-Individual-Education-Plan-for-Children-with-Intellectual ...
Timetables - Teaching Plans Ireland
The Method of Jesuit Education – 25th Anniversary of the Ignatian ...