Showing 120 of 120on this page. Filters & sort apply to loaded results; URL updates for sharing.120 of 120 on this page
Unlocking IPCW Analysis in R: A Step-by-Step Tutorial (in Finnish ...
IPCW Method for Linear Regression Analysis | PDF | Logistic Regression ...
IPCW CAMPUS TOUR | INDRAPRASTHA COLLEGE FOR WOMEN, DU - YouTube
delhi university | ipcw tour | indraprastha college for women tour ...
Indraprastha college ( IPCW ) - Placement, Cutoff, Campus tour ...
How to Install IPCW Projector Halo Headlights - YouTube
THE REAL IPCW SPHERE : Toxic culture reality, attendance policy, pros ...
IPCW TOUR| NORTH CAMPUS| DELHI UNIVERSITY| COLLEGE LIFE - YouTube
Ipcw estimation: Add small value for numerical stability · Issue #415 ...
Day 2 At IPCW #library #minivlog #ipcw #freshers - YouTube
IPCW | Twitter, Instagram, Facebook | Linktree
DELHI UNIVERSITY 1st year done IPCW Indraprastha college for women 🫶# ...
Estimated L 2 error of the IPCW estimator compared to naive methods for ...
IPCW modelling considerations. | Download Table
Guest Faculty (Physical Education and Sports) Post in IPCW via Walk-In ...
Journey of a Psychology student | IPCW to CHRIST DELHI NCR - YouTube
IPCW AUC and calibration plot for the DPM with time-dependent albumin ...
Timing of (a) IPCW and (b) FMCW waveforms. | Download Scientific Diagram
Sensitivity of the results to the modeling choices to compute the IPCW ...
How to Set Up IPW in NX CAM | NX CAM Tutorial | Swoosh Technologies
Beginner Guitar Tutorial | Percussive Hits | Combining Hits With ...
️Exploring North Campus: IPCW Girls' Day Out 🔥| Delhi University ...
Left panel: IPCW estimates of C 1 (t) for the multiple Fine and Gray ...
Interview With IPCW Indonesia Faculty [video] | ASCO Connection
Login | SmartProf IPCW
Global Youth IPCW Chapter... - Global Youth IPCW Chapter
CUET score😱🔥|| IPCW ||North campus 📍|| Delhi University #ipcw - YouTube
SFI IPCW (@sfi_ipcw) | Twitter
Freshers welcome at IPCW #minivlog #freshers #youtubeshorts #ipcw - YouTube
IPCW 2024 | PCA | People & Culture Association
IPCW College Tour || Delhi University || Anu Dahiya Vlogs || # ...
Full Campus tour of IPCW 😌 ️#campustour #vlog #du #studentlife # ...
a): the sum of F and G's IPCW BS(1) scores is an improper joint ...
CUET Score - Indraprastha college ( IPCW ) North campus # ...
Day 1/100 in IPCW #collegelifestyle #delhiuniversity #ipcw # ...
IPCW students allege saffronisation of college, increased surveillance ...
IPCW girls at DTU Food Festival | 5th Sept | Vlog - YouTube
English Department, IPCW | Delhi
IPCW College to provide counselling to students harassed at fest ...
IPCW Students’ Collective - Medium
CT - 400D Leveling Tutorial - YouTube
Exploring Campus Life & Beyond | IPCW | North Campus | Delhi University ...
IPCW Students Allege Saffronisation of College, Increased Surveillance ...
TUTORIAL POR DENTRO DO SITE WIX - COWORKING! APRENDA AS PRINCIPAIS ...
IPCW to provide counselling for affected students; requests SHO to ...
Hand embroidery, Outline embroidery design tutorial for beginners - YouTube
Alumnae Cell-Department of Economics, IPCW on LinkedIn: #ipcw # ...
100 Years of IPCW 😍 As a proud alumna of IPCW, i thank IPCW @ipcollege ...
Giant Hunter - Gameplay Walkthrough Part 1 Tutorial Giant Blue ...
IPCW #fest23 #dunews #delhiuniversity #ipcw #shorts #delhi # ...
DELHI UNIVERSITY ....1st year done... IPCW Indraprastha college for ...
IPCW_tutorial | PDF | Statistical Analysis | Teaching Mathematics
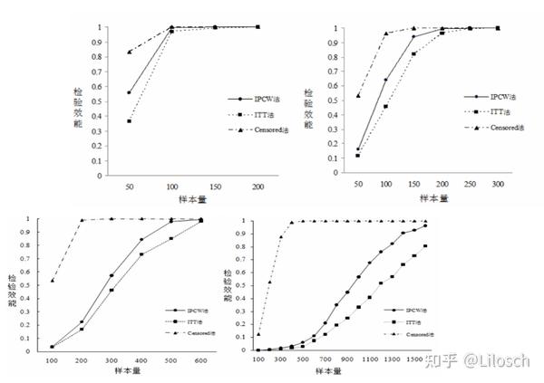
IPCW(逆概率删失加权)方法 - 知乎
【统计分享】IPCW(逆概率删失加权)方法 - 知乎
All You Need To Know About Indraprastha College For Women
IPCW-(克隆-删失-加权法)原文文献精读笔记(1) - 知乎
How I Fell In Love With IPCW! » Univerity Times
Fig A1. Inverse probability of censoring weighted (IPCW) and ...
C-Index-IPCW metrics for several federation configurations ...
PPT - PSI IPC WORKERS ( Community Based Workers) PowerPoint ...
#4 College Vlog~A Day at IPCW, Delhi University 🌸 - YouTube
IPCW'24 Live Session 3 - Transforming Work: Trends, Topics ...
BLR-IPCW-manual-bootstrap • calibmsm
Type 1 diabetes prediction performance (IPCW concordance index [C ...
Home [www.interventionalpain.co.uk]
How To Install LED Headlights Yourself: A Detailed Step-by-Step Guide
IPTW-IPCW weighted Kaplan-Meier survival function estimates without ...
Getting Started with the IPC
Mech-Mind IPC STD User Manual
trtswtich教程(3)-IPCW - 知乎
Freshers at IPCW, where dreams take flight and friendships bloom! ️ ...
Single variable C-IPCW scores of the leading edge genes from Cox-nnet ...
Inverse Probability Censoring Weighting (IPCW) applied to Time-to-Event ...
EV-IPCW-200D-FC Full Color Dual-Light & Dual-Lens Wi-Fi IP Camera ...
𝗧𝗵𝗲 𝗗𝗼𝗼𝗺𝘀𝗱𝗮𝘆 𝗼𝗳 𝗗𝗲𝗹𝗵𝗶 𝗨𝗻𝗶𝘃𝗲𝗿𝘀𝗶𝘁𝘆 𝗶𝘀 𝗡𝗲𝗮𝗿 [𝟭/𝟮] 𝗧𝗵𝗲 𝗦𝗶𝗹𝗲𝗻𝘁 𝗙𝗮𝗹𝗹 𝗼𝗳 𝗜𝗣𝗖𝗪 ...
Freshers'24 ft IPCW, DU #ipcw #delhi #delhiuniversitylife # ...
Comparison of type 1 diabetes prediction performance (IPCW concordance ...
Hydraulic Press - Diagram, Working, Types & Application (PDF) | PDF ...
Weighted (IPCW) trends in unprotected sex and under-reporting of ...
solidworks tutorial.how to make helical - YouTube
Using gamification to increase employee motivation - Using Gamification ...
Monotherapy Analysis: Inverse probability of censoring weighted (IPCW ...
ICPC Basics Training - YouTube
Observed (unweighted, black) and weighted (IPCW- weighted, gray) annual ...
ElevenLabs (Tutorial): Alles was du darüber wissen musst
PPT - Informative Censoring Addressing Bias in Effect Estimates Due to ...
Tutorial-7 (IPC Introduction) | PDF | Process (Computing) | Message Passing
IPCW| IP college campus #DU #delhiuniversity #shorts #IP #ipcw - YouTube
TPN2601 - 2025 - TL101 - 0 - B (Final) | PDF | Teachers | Learning
Scribble Day at College #delhiuniversity #ipcw - YouTube
IPC型番の選択
IPCW的SAS实现 - 知乎
Motorcycle Turn Signal Lights & Components | Bulbs, Lenses, Relays ...
Film: 058/100| Przyjemniejsze Wgrywanie Zdjęć - Improve File Upload ...
Ananta - The Science Society, IPCW-DU on LinkedIn: #delhiuniversity # ...