Showing 120 of 120on this page. Filters & sort apply to loaded results; URL updates for sharing.120 of 120 on this page
Solved Problem 1. Hyperbolic geometry is new and sometimes | Chegg.com
Geometry art of Problem 1210: Hyperbolic Kaleidoscope | Online math ...
Problem Set On Hyperbolic Function | PDF | Combinatorics | Geometry
Geometric Art: Hyperbolic Kaleidoscope of problem 1386 | Geometry ...
Problem in understanding models of hyperbolic geometry - Mathematics ...
Diagram Of Hyperbolic Geometry
Hyperbolic Geometry What Is The Geometry Of The Universe? | Quanta
PPT - Chapter 7: Hyperbolic Geometry PowerPoint Presentation, free ...
Hyperbolic Geometry | Overview & Applications - Lesson | Study.com
Solved 1 Hyperbolic Geometry The following problems should | Chegg.com
Introduction To Hyperbolic Geometry | PDF
Trigonometry In Hyperbolic Geometry
Hyperbolic geometry – Artofit
Hyperbolic Geometry
PPT - Hyperbolic Geometry PowerPoint Presentation, free download - ID ...
Hyperbolic Geometry | Hyperbolic Geometry | Line (Geometry)
A dynamic visualization of the hyperbolic geometry – GeoGebra
Hyperbolic Geometry Explained at Edward Acosta blog
-The geometry of hyperbolic motion in the two body problem. The ...
Solved 6.4 . Two Models for Hyperbolic Geometry 445 20. | Chegg.com
Solved This is a problem in hyperbolic geometry. | Chegg.com
(PDF) Hyperbolic plane geometry revisited
MATH335 Examples - Area in Hyperbolic Geometry - YouTube
Solved Hyperbolic Geometry: this problem is in the upper | Chegg.com
3.1: Hyperbolic Geometry - Mathematics LibreTexts
Hamilton Lecture explores beauty of hyperbolic geometry – The Irish Times
analytic geometry - How to solve this hyperbolic problem? - Mathematics ...
(PDF) Inverse source problem for a hyperbolic equation by Carleman ...
Hyperbolic geometry Facts for Kids
Basics of Hyperbolic Geometry | PDF | Hyperbolic Geometry | Angle
mobius transformation - Problem understanding p.68-70 of Hyperbolic ...
geometry - Finding angles of hyperbolic triangles - Mathematics Stack ...
Understanding Hyperbolic Geometry | PPT
Hyperbolic geometry | Hyperbolic geometry, Math geometry, Euclidean space
Hyperbolic Kaleidoscope of problem 112 using iPad Apps. Equilateral ...
Using Hyperbolic Geometry to Reveal the Dimensionality of Complex ...
Hyperbolic geometry - YouTube
Solved Problem 6. Let ABC be a hyperbolic triangle in the | Chegg.com
Hyperbolic Geometry - American Mathematical Society / hyperbolic ...
Solutions for Relatively Hyperbolic Groups: Intrinsic Geometry ...
Hyperbolic Geometry - Index. Elearning.
Hyperbolic Geometry (demos)
Hyperbolic geometry
Hyperbolic Geometry | Brilliant Math & Science Wiki
Figure 1 from NOTES ON HYPERBOLIC GEOMETRY | Semantic Scholar
Hyperbolic Groups and The Word Problem | PDF | Group (Mathematics ...
Comparing Hyperbolic and Euclidean Geometry - HITS
PPT - Hyperbolic Geometry Axiom PowerPoint Presentation, free download ...
Solved Hyperbolic distance Do 2 of the following 3 problems | Chegg.com
PPT - Calculus and Analytic Geometry II PowerPoint Presentation, free ...
Hyperbolic lens geometry. | Download Scientific Diagram
book-hyperbolic-geometry | PDF | Geometry | Axiom
Solved This is hyperbolic geometry, specifically Saccheri | Chegg.com
Hyperbolic Trigonometric Functions | Brilliant Math & Science Wiki
5.problems On Inverse Hyperbolic Functions | PDF | Function ...
Hyperbolic Functions Practice Problems with Solution - GeeksforGeeks
Solved 4 Hyperbolic Functions: Problem (1 point)Use | Chegg.com
Solved Derive and verify the three hyperbolic anomaly | Chegg.com
Hyperbolic Geometry, Berkeley Math Circle - Constructive Criticism
I'm struggling to understand the hyperbolic plane and | Chegg.com
Hyperbolic Functions (examples, solutions, videos)
Hyperbola Geometry at Joan Stone blog
Hyperbolic functions,Intermediate first year 1 A chapter 9 problems ...
The Hyperbolic Ptolemy’s Theorem in the Poincaré Ball Model of Analytic ...
SOLVED:This art print is a model of a non-Euclidean geometry called ...
Hyperbolic Identities for Trigonometric Functions
A geodesic in the hyperboloid model of the hyperbolic plane H 2 ...
The Hyperbolic Metric and Geometric Function Theory - DocsLib
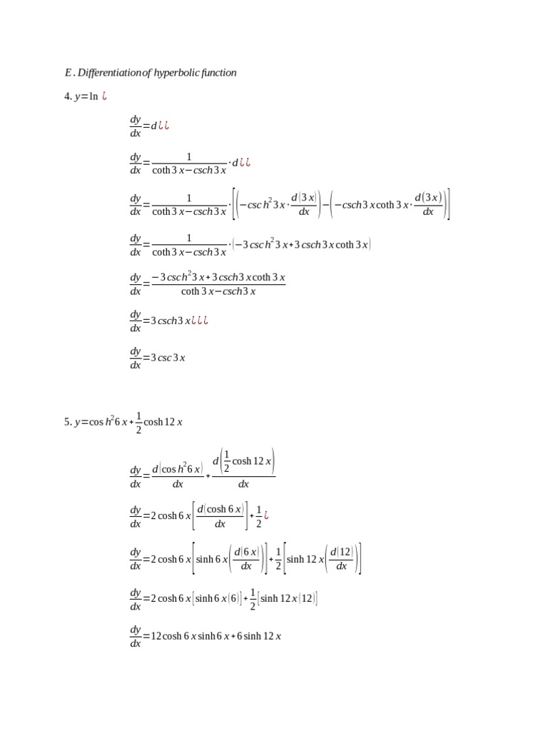
HYPERBOLIC FUNCTION | Problems on Hyperbolic Functions | BS.c math Hons ...
Hyperbolic Equation
4 Hyperbolic Functions and their Inverses - Math 2270 - Studocu
Dive DEEP Into HYPERBOLIC TRIG Functions - Explore NOW!
Derivative of Hyperbolic Functions - Examples and Daigrams
Hyperbolic Functions - Formulas, Identities, Graphs, and Examples
Hyperbolic function-solved problems - Bsc maths - Studocu
Hyperbolic Functions Exercise 9(a) Solutions Inter Maths 1A - MATHS GLOW
Hyperbola - Equation, Properties, Examples | Hyperbola Formula
PPT - hyperbola PowerPoint Presentation, free download - ID:4715628
Figure 2.1 from Complexity of SimpleStretchability and Related ER ...
PPT - Extragalactic Astronomy & Cosmology Lecture GR PowerPoint ...
Non-Euclidean Geometry: The Forgotten Story | by Hemanth | Street ...
PPT - Mathematical Ideas that Shaped the World PowerPoint Presentation ...
11. (Hyperbolic Geometry) In the accompanying figure | Chegg.com
PPT - Physics on the Fringe Institute of Figuring PowerPoint ...