Showing 116 of 116on this page. Filters & sort apply to loaded results; URL updates for sharing.116 of 116 on this page
Humulene - Extraction Magazine
PPT - Quantitative Analysis of Humulene in Beer PowerPoint Presentation ...
Humulene Terepene: Benefits, Effects, and Strains – STIIIZY
Humulene Terpene | Benefits & Humulene Terpene Effects
Fitted extraction curves of α-humulene (IMTC model) as functions of ...
Fitted extraction curves of β-myrcene (IMTC model) as functions of ...
Humulene Terpene Explained
humulene biosynthesis
What Is Humulene and What Are the Benefits of This Cannabis Terpene ...
Humulene Molekul Alfahumulene Atau Αcaryophyllene Ini Adalah Komponen ...
Terpene Tuesdays: Everything You Need to Know About Alpha Humulene ...
What is Humulene Terpene? Strains, Benefits, and Effects
Humulene Terpene Meaning & Definition | Ultimate Cannabis & Marijuana ...
Terpenes Explained: Humulene
Terpene University: Part 4 - Humulene - Omega Equipment & Supply Blog
Humulene Terpene: Effects and Benefits of Humulene
Humulene: What Is Humulene and What Are Its Effects?
Humulene | C15H24 | CID 5281520 - PubChem
Humulene - Wikipedia
The Hoppy Terpene: Humulene — Claybourne Co. Cannabis
Humulene Liquid, For Perfumery at best price in Ghaziabad | ID ...
All About Humulene | Have A Heart
What Is Humulene In Cannabis?
Humulene Terpene: What It Is and How It Shapes Cannabis Aroma – STIIIZY
Terpenes A Closer Look at Humulene - Nutmeg Disrupted
humulene molecular structures, alpha-humulene or alpha-caryophyllene 3d ...
What is Humulene Terpene? Effects & Benefits | RISE Dispensaries
Understanding and Engineering the Stereoselectivity of Humulene ...
Humulene | Weedmaps
Alpha Humulene (Natural) - Kanta Essentials
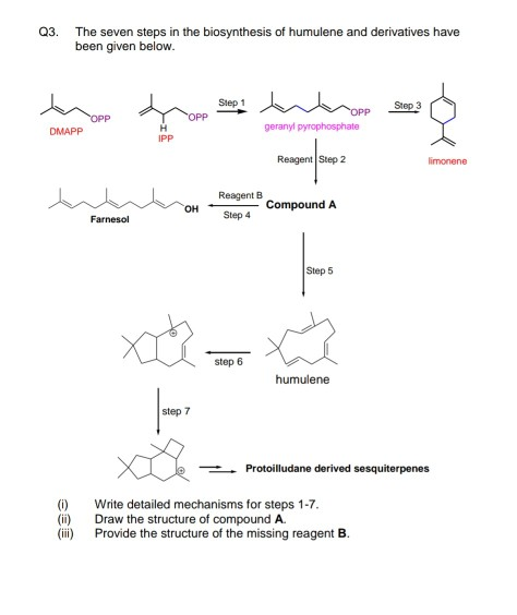
Solved Q3 The seven steps in the biosynthesis of humulene | Chegg.com
Solved Biosynthesis of humulene which serves as a key | Chegg.com
Fluid Naturals Pure Terpene Isolate - Humulene — Head Candy Smoke Shop
Everything you need to know about the terpene Humulene | Trulieve
What Is Humulene In Cannabis? - Zamnesia USA
Humulene
What Is Humulene Terpene? Benefits, Effects, Strains - Siam Green ...
Buy Natural Humulene // Extract Consultants
Terpene Spotlight: Humulene – Benefits, Uses, Cultivars...
What is humulene and what does this cannabis terpene do? | Leafly
Terpene of the Month: Humulene | AusCannaReviews
(PDF) Humulene and its derivatives from Betula pendula buds
Humulene - Vigon
Understanding Humulene Terpene: Strains, Benefits, Effects | DC Collective
Bioproduction of α‐humulene in metabolically engineered Escherichia ...
What Is Humulene? (Benefits, Effects, Top Strains) | NuggMD
Humulene, alpha-humulene or α-caryophyllene molecule. It is component ...
Total Synthesis of the Humulene‐Derived Sesquiterpenoid ...
Biosynthetic route of zerumbone from α-humulene catalyzed by a ...
Humulene, alpha-humulene or ?-caryophyllene molecule. It is component ...
The Wonders of Humulene: A Quick Guide | WeedSociety
Plant Medicine & Cannabis Concentrates Learn Hub | Puffco
PPT - Flow chart for malting and brewing PowerPoint Presentation, free ...
What Is humulene? Benefits, uses, and where to find it
Humulene, alpha-humulene or alpha-caryophyllene molecule. It is ...
α-Humulene production in strain DC-H21D cultivated in different media ...
Rational metabolic engineering to improve α-humulene production ...
What is Humulene? | Cannabis Glossary | Leafly
Biosynthesis of α-humulene in C. tropicalis. a Scheme showing the ...
α-Humulene production of engineered strains and identification of the ...
Production of α-humulene through fed-batch fermentation by strain ...
Chemical structure of α-humulene | Download Scientific Diagram
The Clinical Translation of α -humulene – A Scoping Review - PMC
(PDF) The Clinical Translation of α-humulene – A Scoping Review
What Is Humulene? [Complete Cannabis Terpene Guide]
Influence of differential genes regulation on α-humulene production. A ...
α-Humulene | ALPHA-律草烯 | COX | TNF | TargetMol
Humulene_blog_cover.png?v=1736229727
Feasibility of producing α-humulene with WCO as the sole carbon source ...
organic chemistry - What molecule is this. Pretty sure its not ethanol ...
Chemical structures of β-elemene, α-humulene, and spathulenol ...
Cannabis Terpenes Explained: Effects, Benefits & Types | Dutch Passion
Structure of α-humulene (C15H24) | Download Scientific Diagram
Humulene, ?-humulene or ?-caryophyllene molecule. It is component of ...
The Difference Between Cannabinoids and Terpenes | Technology Networks
Two datasets (set A and set B) demonstrating α-humulene production with ...
What is Humulene? Alpha-Humulene Terpene Effects, Benefits, Strains & More
Learn About Humulene: The Earthy Soothing Cannabis Terpene - RQS Blog
Figure 1 from Where is the Oxygen? Structural Analysis of α-Humulene ...
(PDF) Fermentative α-Humulene Production from Homogenized Grass ...
Synthesis of a Library of Terpenoid Alkaloid–Like Compounds Containing ...
Cloning, Expression and Functional Characterization of a Novel α ...
The chromatogram of β-myrcene and α-humulene by UPC 2... | Download ...
Humulene: What You Need To Know About This Cannabis Terpene
What is humulene? The herbal terpene found in cannabis
The gas-phase ozonolysis of α-humulene - Physical Chemistry Chemical ...
α-Humulene, CAS No. 6753-98-6 | Reference substances for GC | Gas ...
What is Humulene? | Learn About Terpenes with PotAdvisor
Terpenes For Sale | Buy Premium Terpenes 2021 | Industrial Hemp
(PDF) A Stable Rearrangement Product of Humulene-4,5-epoxide
Gram‐scale production of the sesquiterpene α‐humulene with Cupriavidus ...
IdentiWcation of-humulene production in metabolically engineered E ...